135 bài tập trắc nghiệm Số phức có lời giải (cơ bản - phần 1)
Với 135 bài tập trắc nghiệm Số phức có lời giải chi tiết sẽ giúp học sinh ôn tập, biết cách làm bài tập trắc nghiệm Số phức.
135 bài tập trắc nghiệm Số phức có lời giải (cơ bản - phần 1)
(199k) Học Toán 12 KNTTHọc Toán 12 CDHọc Toán 12 CTST
Bài 1:
Cho hai số phức z1=3i-2;z2 =5+3i. Tìm số phức z=z1 +z2.
A. 3+6i B. 9-i C.-1+10i D. 4+3i
Lời giải:
Ta có; z=z1 +z2=(-2+ 3i)+(5+3i)=(-2+5)+(3+3)i=3+6i
Chọn A.
Bài 2:
Cho số phức z=a+bi và . Mệnh đề sau đây là đúng?
A. w là một số thực B .w=2
C. wlà một số thuần ảo. D.w=i
Lời giải:
Chọn A.
Bài 3:
Cho hai số phức z1 =2-3i; z2= 4i-10 số phức z=z1 –z2.
A. z=3+3i . B. z=12 - 7i. C. z=2-3i. D. z=3-i.
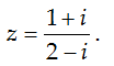
Lời giải:
Ta có z=z1 –z1.=(2-3i)-(4i-10)=(2+10)+(-3-4)i=12- 7i
Chọn B.
Bài 4:
Cho hai số phức z=a+bi và z'=a'+b'i . Tìm điều kiện giữa a;b;a';b' để z+z' là một số thuần ảo
Lời giải:
Ta có: z+z'=(a+a')+(b+b')i là số thuần ảo
Chọn D.
Bài 5:
Tìm số phức z thỏa mãn 3z- 3i=6- 9i
A. z=-1+2i B. z=-3+2i C. Z= 1+ i D. Z= 2-2i
Lời giải:
Ta có 3z- 3i= 6-9i
Suy ra : 3z= 6-9i+ 3i
Hay 3z=6+(-9+ 3)i= 6 – 6i
Do đó; z= 2- 2i
Chọn D
Bài 6:
Cho số phức z=10i- 8 Tìm phần thực, phần ảo của số phức w=z-i
A. Phần thực bằng -8và phần ảo bằng -8i B. Phần thực bằng -2 và phần ảo bằng -3
C. Phần thực bằng 8 và phần ảo bằng 10i D. Phần thực bằng – 8 và phần ảo bằng 9
Lời giải:
Ta có w= z-i=(10i-8) -i= - 8+ 9i
w có phần thực bằng -8 và phần ảo bằng 9
Chọn D.
Bài 7:
Cho hai số phức z1=3i- 4; z2 =3-i. Tìm số phức z=z1 –z2.
A. 6- 5i B. 7+4i C. 4+ 4i D. -7+ 4i
Lời giải:
Ta có z_1-z_2=(-4+3i)-(3-i)=-7+4i
Chọn D
Bài 8:
Cho hai số phức z=i. Tìm số phức w=z5
A. w=i B.w=-1. C. w=1 D. w=-i.
Lời giải:
Ta có w=z5=i5=i4.i=1.i=i
Chọn A.
Bài 9:
Cho hai số phức z1=1+ i; z2.=1-2i Tìm số phức z=z1 .z2.
A.z=1 . B.z=3-i C.z=-1+i. D.z= -2+i
Lời giải:
Ta có z= z1.z2.=(1+ i) .(1-2i)=1-2i+ i-2i2=3-i
Chọn B.
Bài 10:
Cho 2 số phức z1=2+ 2i; z2 = 4- 5i .Tìm phần ảo của số phức w= z1.z2
A. 4 B. -1 C. -2 D. 18
Lời giải:
Ta có w=(2+2i)(4-5i)=8-10i+8i-10i2= 18-2i
Vậy phần ảo của số phức w là -2.
Chọn C.
Bài 11:
Cho hai số phức z1=1- i; z2= 5-2i . Tìm phần ảo b của số phức z=z12- z22 .
A.b=-4 B. b= 8 C.b=0 D.b=-21
Lời giải:
Ta có z=(1-i)2-(5-2i)2.=1-2i+ i2-( 25-10i+ 4i2) =-21+ 8i
Chọn B.
Bài 12:
Cho hai số phức z1=1+i; z2=4-i. Tim số phức z= z12.z2
A. Z=2+8i B. z= 2-8i C. z=5+3i D.z=3+3i
Lời giải:
Ta có z=(1+i)2 (4-i)=(1+2i+i2 )(4-i)=2i.(4-i)=8i-2i2 =2+8i
Chọn A.
Bài 13:
Tìm phần thực của số phức
A. 3/ 5 B. 8/5 C. 6/5 D. Đáp án khác
Lời giải:
Chọn C.
Bài 14:
. Tìm số phức
Lời giải:
Chọn A.
Bài 15:
Tìm số phức z thỏa mãn
Lời giải:
Ta có
Bài 16:
Tìm số phức
Lời giải:
Chọn D.
Bài 17:
Cho số phức z=6- 8i . Tìm số phức
A.w=-3+2i. B.w=2+ 2i. C.w =-2-2i. D. w=2-2i
Lời giải:
Chọn D.
Bài 18:
Câu 18. Cho số phức z− =3+2i. Tìm số phức w=2iz−+z
A. w= -1+4i B. w=9-2i C. w=4+7i D. w=4-7i
Lời giải:
Ta có z−=3+2i nên z=3-2i
Chọn A.
Bài 19:
Tìm số phức z thỏa mãn .
A. z=3-i. B. z= -3-i. C. z=3+i. D. z=-3+i.
Lời giải:
Chọn A.
Bài 20:
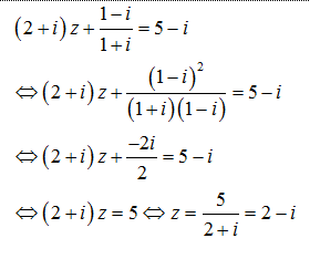
Tìm số phức z thỏa mãn (1+i)z+(2-3i)(1+2i)=7+3i.
Lời giải:
Ta có: (2-3i).(1+2i)=2+ 4i-3i-6i2= 8+i
Từ giả thiết : (1+i)z+(2-3i)(1+2i)=7+3i nên
(1+i)z+(8+i)=7+3i hay (1+i)z= -1+2i
Chọn B.
Bài 21:
Tìm phần thực a của số phức z thỏa mãn (1+ i) 2( 2-i) z= 8+ i+ (1+ 2i) z.
A.a=2 B.a= -3 C.a=-2. D.a=3
Lời giải:
Ta có: (1+ i) 2( 2-i) z= 8+ i+ (1+ 2i) z.
Suy ra: (2+4i)z-(1+2i)z=8=i
Vậy phần thực của z bằng 2.
Chọn A.
Bài 22:
Tìm số phức z= ( 2-i) 3- ( 2i+ 1) 2
A. z= -5+15i B.z= 5- 15i. C.z=3-8i. D.z=3+8i.
Lời giải:
Ta có: z= ( 2-i) 3- ( 2i+ 1) 2
Hay z= 8-12i + 6i2- i3-( 4i2+ 4i+ 1)
Z= 8-12i-6+i + 4-4i-1= 5-15i
Chọn B.
Bài 23:
Cho số phức z=( 1-i) ( 2i-8) . Tìm số phức .
A. w=10-10i. B. w=-3-3i. C.w=16-16i. D.w=- 16-16i.
Lời giải:
+ Do z= ( 1-i) ( 2i- 8) = 2i+ 2- 8+ 8i hay z= -6 + 10i
Khi đó; z ̅=-6-10i và iz= -10 -6i
Khi đó; w= ( -10- 6i) + ( -6-10i) = -16- 16i
Chọn D.
Bài 24:
Cho số phức z= ( 2+ i) ( 3-i) Tìm phần thực a và phần ảo b của số phức X−
A. a=7 ; b= 1 B. a=7 ; b= -1 C.a= - 7; b=1 D.a=-7; b= - 1
Lời giải:
Ta có: z= ( 2+ i) ( 3-i) = 6-2i+ 3i- i2= 7+ i
Nên z ̅=7-i vậy phần thực bằng a= 7 và phần ảo b = -1
Chọn B.
Bài 25:
Tìm số phức liên hợp của số phức
Lời giải:
Bài 26:
Cho số phức z thỏa mãn
A. z=-3-i. B. z= -2-i. C. z=2-i . D.z=2+i.
Lời giải:
Gọi z=a+bi
Từ giả thiết ta suy ra: a+ bi -2a+ 2bi-3ai-3b= 1-9i
Vậy z=2-i
Chọn C.
Bài 27:
Cho số phức Tìm phần thực a và phần ảo b của số phức X−
A.a=2; b=6 B. a=-2; b= -6 C.a=-2; b=6 D. a=2; b= -3
Lời giải:
Bài 28:
Tìm số phức liên hợp của số phức
Lời giải:
Chọn C
Bài 29:
Tìm tổng phần thực và phần ảo của số phức z thỏa mãn
A.13 B. – 3 C.10 D. -10
Lời giải:
Đặt z=x+yi
Tổng phần thực và phần ảo của số phức z là -3+ 13= 10
Chọn C
Bài 30:
Tìm các số phức z thỏa mãn
A.z1=-1+i; z2=1-i B. z1=1+i;z2=-1-i
C. z1=-1+i;z2=-1-i D.z1=1+i;z2=1-i
Lời giải:
Theo giải thiết ta có:
Chọn D.
Bài 31:
Cho số phức z ( 3-2i) ( 1+ i) 2 . Môđun của w=iz+z− là
Lời giải:
Chọn B.
Bài 32:
Cho số phức thỏa mãn điều kiện
A. 10. B.-10 . C. 100. D.-100 .
Lời giải:
Suy ra w= 1+ 2z+ z2= ( 1+ z) 2= ( 3-i) 2= 8-6i nên modul của w=10.
Chọn A.
Bài 33:
Cho số phức z=-3+2i. Tính
Lời giải:
ta có: z+ 1-i= -3+ 2i+ 1+ i= -2- i
Chọn C.
Bài 34:
Cho hai số phức z1=3-2i; z2=-2+i Tính
Lời giải:
Ta có: z1+z2=(3-2i)+(-2+i)=1-i
Chọn B.
Bài 35:
Cho hai số phức z1=3+i; z2=2-i. Tính
A.P=10 B.P=50 C.P=5 D.P=85
Lời giải:
Ta có
+ z1z2= ( 3+ i) (2-i) = 6- 3i+ 2i- i2= 7- i
+ z1+ z1z2= (3+ i) + ( 7-i) =10
Chọn A.
Bài 36:
Cho số phức z thỏa mãn điều kiện:(1+i) z−-1-3i=0. Phần ảo của số phức
w=1-iz+z là
A. 1. B. -3 . C.-2 . D. -1 .
Lời giải:
Vậy z= 2-i và w= 1-iz+ z= 1- i( 2-i) + 2-i= 2-3i
Phần ảo của w là -3
Chọn B.
Bài 38:
Tìm phần thực, phần ảo của số phức z thỏa ( z/2 – 1) ( 1-i) = ( 1+ i) 3979
A. Phần thực là 21990 và phần ảo là 2.
B. Phần thực là - 21990 và phần ảo là 2.
C. Phần thực là -21989 và phần ảo là 1.
D. Phần thực là 21989 và phần ảo là 1
Lời giải:
Ta có
Chọn B.
Bài 39:
Cho số phức z thỏa z= 1+ i+ i2+ i3+...+ i2016. Khi đó phần thực và phần ảo của z lần lượt là
A.0 và . B. 0 và 1. C. 1 và 1. D. 1 và 0
Lời giải:
Số phức z là tổng của cấp số nhân với số hạng đầu là 1 và công bội q=i .
Do đó :
Chọn D.
Bài 40:
Giá trị của biểu thức S= 1+ i2+ i4+ ...+ i4k là
A. 1. B. 0. C.2 D.ik
Lời giải:
Ta có nhận xét sau :
I2n+ i2n+ 2= i2n(1+ i2) =0 .
Áp dụng tính được
S= 1+ (i2+ i4) + ( i6+ i8) + ...+ ( i4k-2+ i4k) =1+0+0+0+...+0=1
Chọn A.
(199k) Học Toán 12 KNTTHọc Toán 12 CDHọc Toán 12 CTST
Xem thêm các dạng bài tập Toán lớp 12 có trong đề thi Tốt nghiệp THPT khác:
- 135 bài tập trắc nghiệm Số phức có lời giải (cơ bản - phần 2)
- 135 bài tập trắc nghiệm Số phức có lời giải (cơ bản - phần 3)
- 135 bài tập trắc nghiệm Số phức có lời giải (cơ bản - phần 4)
- 100 bài tập trắc nghiệm Số phức có lời giải (nâng cao - phần 1)
- 100 bài tập trắc nghiệm Số phức có lời giải (nâng cao - phần 2)
- 100 bài tập trắc nghiệm Số phức có lời giải (nâng cao - phần 3)
Đã có app VietJack trên điện thoại, giải bài tập SGK, SBT Soạn văn, Văn mẫu, Thi online, Bài giảng....miễn phí. Tải ngay ứng dụng trên Android và iOS.
Theo dõi chúng tôi miễn phí trên mạng xã hội facebook và youtube:Nếu thấy hay, hãy động viên và chia sẻ nhé! Các bình luận không phù hợp với nội quy bình luận trang web sẽ bị cấm bình luận vĩnh viễn.
- Giải Tiếng Anh 12 Global Success
- Giải sgk Tiếng Anh 12 Smart World
- Giải sgk Tiếng Anh 12 Friends Global
- Lớp 12 Kết nối tri thức
- Soạn văn 12 (hay nhất) - KNTT
- Soạn văn 12 (ngắn nhất) - KNTT
- Giải sgk Toán 12 - KNTT
- Giải sgk Vật Lí 12 - KNTT
- Giải sgk Hóa học 12 - KNTT
- Giải sgk Sinh học 12 - KNTT
- Giải sgk Lịch Sử 12 - KNTT
- Giải sgk Địa Lí 12 - KNTT
- Giải sgk Giáo dục KTPL 12 - KNTT
- Giải sgk Tin học 12 - KNTT
- Giải sgk Công nghệ 12 - KNTT
- Giải sgk Hoạt động trải nghiệm 12 - KNTT
- Giải sgk Giáo dục quốc phòng 12 - KNTT
- Giải sgk Âm nhạc 12 - KNTT
- Giải sgk Mĩ thuật 12 - KNTT
- Lớp 12 Chân trời sáng tạo
- Soạn văn 12 (hay nhất) - CTST
- Soạn văn 12 (ngắn nhất) - CTST
- Giải sgk Toán 12 - CTST
- Giải sgk Vật Lí 12 - CTST
- Giải sgk Hóa học 12 - CTST
- Giải sgk Sinh học 12 - CTST
- Giải sgk Lịch Sử 12 - CTST
- Giải sgk Địa Lí 12 - CTST
- Giải sgk Giáo dục KTPL 12 - CTST
- Giải sgk Tin học 12 - CTST
- Giải sgk Hoạt động trải nghiệm 12 - CTST
- Giải sgk Âm nhạc 12 - CTST
- Lớp 12 Cánh diều
- Soạn văn 12 Cánh diều (hay nhất)
- Soạn văn 12 Cánh diều (ngắn nhất)
- Giải sgk Toán 12 Cánh diều
- Giải sgk Vật Lí 12 - Cánh diều
- Giải sgk Hóa học 12 - Cánh diều
- Giải sgk Sinh học 12 - Cánh diều
- Giải sgk Lịch Sử 12 - Cánh diều
- Giải sgk Địa Lí 12 - Cánh diều
- Giải sgk Giáo dục KTPL 12 - Cánh diều
- Giải sgk Tin học 12 - Cánh diều
- Giải sgk Công nghệ 12 - Cánh diều
- Giải sgk Hoạt động trải nghiệm 12 - Cánh diều
- Giải sgk Giáo dục quốc phòng 12 - Cánh diều
- Giải sgk Âm nhạc 12 - Cánh diều


Giải bài tập SGK & SBT
Tài liệu giáo viên
Sách
Khóa học
Thi online
Hỏi đáp

