Cách tìm nguyên hàm của hàm đa thức, hàm phân thức (cực hay)
Bài viết Cách tìm nguyên hàm của hàm đa thức, hàm phân thức với phương pháp giải chi tiết giúp học sinh ôn tập, biết cách làm bài tập Cách tìm nguyên hàm của hàm đa thức, hàm phân thức.
Cách tìm nguyên hàm của hàm đa thức, hàm phân thức (cực hay)
(199k) Xem Khóa học Toán 12 KNTTXem Khóa học Toán 12 CDXem Khóa học Toán 12 CTST
Bài giảng: Cách làm bài tập nguyên hàm và phương pháp tìm nguyên hàm của hàm số cực nhanh - Cô Nguyễn Phương Anh (Giáo viên VietJack)
A. Phương pháp giải
Ta có bảng nguyên hàm của các hàm số cơ bản hay gặp
B. Ví dụ minh họa
Ví dụ 1. Nguyên hàm của hàm số y = 7x6 là:
A. x7 + C.
B. x6 + C.
C. 42x5 + C.
D. 42x7 + C.
Hướng dẫn giải:
Nguyên hàm của hàm số đã cho là:
∫7x6 dx = x7 + C.
Chọn A.
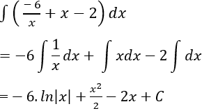
Ví dụ 2. Tính nguyên hàm của hàm số:
Hướng dẫn giải:
Nguyên hàm của hàm số là:
Chọn B.
Ví dụ 3. Nguyên hàm của hàm số f(x) = 2x + 4 là hàm số nào trong các hàm số sau?
A. x2 + 4x + C.
B. 2x2 + 4x + C.
C. 2x2 + 4 + C.
D. x2 + 4 + C.
Hướng dẫn giải:
Ta có: ∫(2x + 4)dx = 2.∫xdx + 4.∫dx = x2 + 4x + C.
Chọn A.
Ví dụ 4. Hàm số F(x) = 2x3 + 5x2 - 6x + 10 là họ nguyên hàm của hàm số nào sau đây?
Hướng dẫn giải:
Lấy đạo hàm của hàm số F(x) ta được:
F'(x) = 6x2 + 10x - 6
⇒ hàm số F(x) là họ nguyên hàm của hàm số: F'(x) = 6x2 + 10x - 6
Chọn C.
Ví dụ 5. Họ nguyên hàm của hàm số: là:
Hướng dẫn giải:
Ta có:
Chọn D.
Ví dụ 6. Tìm nguyên hàm của hàm số f(x) = (x + 2).(2x - 3)
Hướng dẫn giải:
Ta có: (x + 2).(2x - 3) = 2x2 - 3x + 4x – 6 = 2x2 + x - 6
⇒ Nguyên hàm của hàm số f(x) là:
Chọn B.
Ví dụ 7. Tính ?
Hướng dẫn giải:
Ta có:
Chọn B.
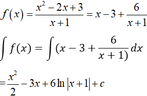
Ví dụ 8. Cho hàm số:
Gọi F(x) là một nguyên hàm của hàm số f(x) biết F(0) = 10. Tìm hàm F(x).
Hướng dẫn giải:
Điều kiện xác định: x ≠ 1.
Với x ≠ 1 ta có:
Nguyên hàm của hàm số f(x) là:
⇒ Hàm số F(x) cần tìm có dạng với C là hằng số.
Lại có F(0) = 10 ⇒ C = 10.
Vậy hàm số F(x) cần tìm là:
Chọn D.
Ví dụ 9. Biết một nguyên hàm của hàm số y = f(x) là F(x) = 3x2 + 7x - 10. Khi đó, giá trị của hàm số y = f(x) tại x = 1 là:
A. 10. B. 13. C. –9. D. -11.
Hướng dẫn giải:
Do F(x) là một nguyên hàm của hàm số y = f(x) nên ta có:
f(x) = F'(x) = 6x + 7
⇒ f(1) = 13.
Chọn B.
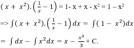
Ví dụ 10. Cho hàm số . Tìm nguyên hàm của hàm số đã cho.
Hướng dẫn giải:
Nguyên hàm của hàm số đã cho là:
Chọn C.
Ví dụ 11. Tìm nguyên hàm của hàm số: ?
Hướng dẫn giải:
Điều kiện x > 0.
Nguyên hàm của hàm số đã cho là:
Chọn A.
Ví dụ 12. Tìm nguyên hàm của hàm số:
Hướng dẫn giải:
Ta có:
Chọn A.
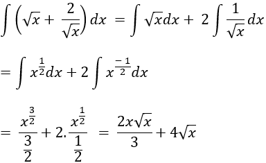
Ví dụ 13. Tìm nguyên hàm của hàm số:
A. ln|x| + 2.√x + C.
B. ln|x| - √x + C.
C. ln|x| + 2.x√x + C.
D. Đáp án khác.
Hướng dẫn giải:
Điều kiện: x > 0.
Ta có:
⇒ Nguyên hàm của hàm số đã cho là:
Chọn A.
Ví dụ 14. Nguyên hàm của hàm số là:
Hướng dẫn giải:
Ta có:
Chọn A.
Ví dụ 15. Một nguyên hàm của hàm số là:
Hướng dẫn giải:
Cho c = 5.
Chọn D.
Ví dụ 16. Kết quả tính bằng:
Hướng dẫn giải:
Ta có:
Nên:
Chọn D.
Ví dụ 17. Họ nguyên hàm của hàm số là:
Hướng dẫn giải:
Chọn A.
C. Bài tập vận dụng
Câu 1: Nguyên hàm của hàm số y = 4x3 là:
A. x5 + C.
B. x4 + C.
C. 12x2 + C.
D. 4x2 + C.
Lời giải:
Nguyên hàm của hàm số đã cho là:
Chọn B.
Câu 2: Tính nguyên hàm của hàm số:
Lời giải:
Nguyên hàm của hàm số là:
Chọn B.
Câu 3: Nguyên hàm của hàm số f(x) = -4x + 4 là hàm số nào trong các hàm số sau?
A. -4x2 + 4x + C.
B. 2x2 + 4x + C.
C. -2x2 + 4x + C.
D. x2 + 4 + C.
Lời giải:
Ta có: ∫(-4x + 4)dx = -4.∫xdx + 4.∫dx = -2x2 + 4x + C.
Chọn C.
Câu 4: Hàm số F(x) = -4x3 + 2x2 + 10x + 8 là họ nguyên hàm của hàm số nào sau đây?
Lời giải:
Lấy đạo hàm của hàm số F(x) ta được:
F'(x) = -12x2 + 4x + 10
⇒ Hàm số F(x) là họ nguyên hàm của hàm số: F'(x) = -12x2 + 4x + 10
Chọn C.
Câu 5: Họ nguyên hàm của hàm số là:
Lời giải:
Ta có:
Chọn D.
Câu 6: Tìm nguyên hàm của hàm số f(x) = (2x - 1)(2x + 1)
Lời giải:
Ta có: (2x - 1).(2x + 1) = 4x2 - 1
⇒ Nguyên hàm của hàm số f(x) là:
Chọn C.
Câu 7: Tính ?
Lời giải:
Ta có:
Chọn A.
Câu 8: Cho hàm số:
Gọi F(x) là một nguyên hàm của hàm số f(x) biết F(0) = 8. Tìm hàm F(x).
Lời giải:
Điều kiện xác định: x ≠ 2 và x ≠ 3.
Với x ≠ 2; 3 ta có:
Nguyên hàm của hàm số f(x) là:
⇒ Hàm số F(x) cần tìm có dạng:
với C là hằng số.
Lại có F(0) = 8 ⇒ C = 8.
Vậy hàm số F(x) cần tìm là:
Chọn D.
Câu 9: Biết một nguyên hàm của hàm số y = f(x) là F(x) = 4x6 + 7x2 - 10x. Khi đó, giá trị của hàm số y = f(x) tại x = -1 là:
A. 36.
B. 48.
C. –48.
D. -36.
Lời giải:
Do F(x) là một nguyên hàm của hàm số y = f(x) nên ta có:
f(x) = F'(x) = 24x5 + 14x - 10
⇒ f(-1) = -48.
Chọn C.
Câu 10: Cho hàm số . Tìm nguyên hàm của hàm số đã cho.
Lời giải:
Điều kiện: x ≠ 0.
Ta có:
Nguyên hàm của hàm số đã cho là:
Chọn C.
Câu 11: Tìm nguyên hàm của hàm số ?
Lời giải:
Điều kiện: x > 0.
Ta có:
Nguyên hàm của hàm số đã cho là:
Chọn A.
Câu 12: Tìm nguyên hàm của hàm số:
Lời giải:
Ta có:
Chọn A.
Câu 13: Tìm nguyên hàm của hàm số:
Lời giải:
Điều kiện: x > 0.
Ta có:
⇒ Nguyên hàm của hàm số đã cho là:
Chọn A.
Câu 14: Tìm nguyên hàm của hàm số:
Lời giải:
Ta có:
Suy ra:
Chọn A.
Câu 15: Tìm nguyên hàm của hàm số
Lời giải:
Ta có:
Suy ra:
Chọn D.
D. Bài tập tự luyện
Bài 1. Tính nguyên hàm: .
Bài 2. Tính nguyên hàm: .
Bài 3. Tính nguyên hàm: .
Bài 4. Tính nguyên hàm: .
Bài 5. Tính nguyên hàm: .
(199k) Xem Khóa học Toán 12 KNTTXem Khóa học Toán 12 CDXem Khóa học Toán 12 CTST
Xem thêm các dạng bài tập Toán lớp 12 ôn thi Tốt nghiệp có lời giải hay khác:
- Bảng công thức nguyên hàm đầy đủ
- Nguyên hàm của hàm số mũ, hàm số logarit
- Nguyên hàm của hàm số lượng giác
- Tìm nguyên hàm của hàm đa thức bằng phương pháp đổi biến số
- Tìm nguyên hàm của hàm phân thức bằng phương pháp đổi biến số
- Tìm nguyên hàm của hàm số mũ, logarit bằng phương pháp đổi biến số
- Tìm nguyên hàm của hàm số lượng giác bằng phương pháp đổi biến số
- Tìm nguyên hàm của hàm chứa căn thức bằng phương pháp đổi biến số
- Tìm nguyên hàm của hàm lượng giác bằng phương pháp nguyên hàm từng phần
- Tìm nguyên hàm của hàm số mũ, logarit bằng phương pháp nguyên hàm từng phần
Đã có app VietJack trên điện thoại, giải bài tập SGK, SBT Soạn văn, Văn mẫu, Thi online, Bài giảng....miễn phí. Tải ngay ứng dụng trên Android và iOS.
Theo dõi chúng tôi miễn phí trên mạng xã hội facebook và youtube:Nếu thấy hay, hãy động viên và chia sẻ nhé! Các bình luận không phù hợp với nội quy bình luận trang web sẽ bị cấm bình luận vĩnh viễn.
- Giải Tiếng Anh 12 Global Success
- Giải sgk Tiếng Anh 12 Smart World
- Giải sgk Tiếng Anh 12 Friends Global
- Lớp 12 Kết nối tri thức
- Soạn văn 12 (hay nhất) - KNTT
- Soạn văn 12 (ngắn nhất) - KNTT
- Giải sgk Toán 12 - KNTT
- Giải sgk Vật Lí 12 - KNTT
- Giải sgk Hóa học 12 - KNTT
- Giải sgk Sinh học 12 - KNTT
- Giải sgk Lịch Sử 12 - KNTT
- Giải sgk Địa Lí 12 - KNTT
- Giải sgk Giáo dục KTPL 12 - KNTT
- Giải sgk Tin học 12 - KNTT
- Giải sgk Công nghệ 12 - KNTT
- Giải sgk Hoạt động trải nghiệm 12 - KNTT
- Giải sgk Giáo dục quốc phòng 12 - KNTT
- Giải sgk Âm nhạc 12 - KNTT
- Giải sgk Mĩ thuật 12 - KNTT
- Lớp 12 Chân trời sáng tạo
- Soạn văn 12 (hay nhất) - CTST
- Soạn văn 12 (ngắn nhất) - CTST
- Giải sgk Toán 12 - CTST
- Giải sgk Vật Lí 12 - CTST
- Giải sgk Hóa học 12 - CTST
- Giải sgk Sinh học 12 - CTST
- Giải sgk Lịch Sử 12 - CTST
- Giải sgk Địa Lí 12 - CTST
- Giải sgk Giáo dục KTPL 12 - CTST
- Giải sgk Tin học 12 - CTST
- Giải sgk Hoạt động trải nghiệm 12 - CTST
- Giải sgk Âm nhạc 12 - CTST
- Lớp 12 Cánh diều
- Soạn văn 12 Cánh diều (hay nhất)
- Soạn văn 12 Cánh diều (ngắn nhất)
- Giải sgk Toán 12 Cánh diều
- Giải sgk Vật Lí 12 - Cánh diều
- Giải sgk Hóa học 12 - Cánh diều
- Giải sgk Sinh học 12 - Cánh diều
- Giải sgk Lịch Sử 12 - Cánh diều
- Giải sgk Địa Lí 12 - Cánh diều
- Giải sgk Giáo dục KTPL 12 - Cánh diều
- Giải sgk Tin học 12 - Cánh diều
- Giải sgk Công nghệ 12 - Cánh diều
- Giải sgk Hoạt động trải nghiệm 12 - Cánh diều
- Giải sgk Giáo dục quốc phòng 12 - Cánh diều
- Giải sgk Âm nhạc 12 - Cánh diều


Giải bài tập SGK & SBT
Tài liệu giáo viên
Sách
Khóa học
Thi online
Hỏi đáp

