Cách tìm nguyên hàm của hàm số lượng giác (cực hay)
Bài viết Cách tìm nguyên hàm của hàm số lượng giác với phương pháp giải chi tiết giúp học sinh ôn tập, biết cách làm bài tập Cách tìm nguyên hàm của hàm số lượng giác.
Cách tìm nguyên hàm của hàm số lượng giác (cực hay)
(199k) Xem Khóa học Toán 12 KNTTXem Khóa học Toán 12 CDXem Khóa học Toán 12 CTST
Bài giảng: Cách làm bài tập nguyên hàm và phương pháp tìm nguyên hàm của hàm số cực nhanh - Cô Nguyễn Phương Anh (Giáo viên VietJack)
A. Phương pháp giải
Ta có bảng nguyên hàm của các hàm số cơ bản hay gặp
B. Ví dụ minh họa
Ví dụ 1. Nguyên hàm của hàm số: y = 7sinx?
A. 7sinx + C.
B. 7cosx + C.
C. –7cosx + C.
D. Tất cả sai.
Lời giải
Ta có: ∫7sinx dx = 7∫sinx dx = -7cosx + C.
Chọn C.
Ví dụ 2. Nguyên hàm của hàm số: y = 6sinx + 8cosx là:
A. –6cosx - 8sinx + C.
B. 6cosx + 8sinx + C.
C. –6cosx + 8sinx + C.
D. 6cosx - 8sinx + C.
Lời giải
Nguyên hàm của hàm số đã cho là:
∫(6sinx + 8cosx)dx = 6∫sinx dx + 8∫cosx dx = -6cosx + 8sinx + C.
Chọn C.
Ví dụ 3. Tìm nguyên hàm của hàm số y = 8sinx - 8cosx
A. 8cosx - 8sinx.
B. -8cosx - 8sinx.
C. 8cosx + 8sinx.
D. Tất cả sai.
Lời giải
Ta có: ∫(8sinx - 8cosx)dx = 8∫sinx dx - 8∫cosx dx = -8cosx – 8sinx
Chọn B.
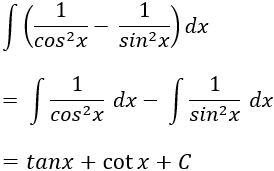
Ví dụ 4. Tìm nguyên hàm của hàm số:
A. tanx + cotx + C.
B. tanx - cotx + C.
C. – tanx + cotx + C.
D. – cotx - tanx + C.
Lời giải
Nguyên hàm của hàm số đã cho là:
Chọn A.
Ví dụ 5. Tìm nguyên hàm của hàm số y = x + tan2x
Lời giải
Ta có:
Chọn B.
Ví dụ 6. Tìm nguyên hàm của hàm số y = sin7x - 7cos2x + lne
Lời giải
Ta có lne = 1 nên nguyên hàm của hàm số đã cho là:
Chọn A.
Ví dụ 7. Tìm nguyên hàm F(x) của hàm số: y = sin2x – cos3x biết tại x = 0 thì F(x) = 1?
Lời giải
Nguyên hàm của hàm số đã cho là:
Do tại x = 0 ta có F(x) = 1 nên:
Vậy nguyên hàm cần tìm là:
Chọn C.
Ví dụ 8. Nguyên hàm của hàm số y = 2cos6x - 3sin4x có dạng F(x) = a.sin6x + b.cos4x. Tính 3a + 4b?
A. –4. B. 4. C. 2. D. -2.
Lời giải
Ta có nguyên hàm của hàm số đã cho là:
Chọn B.
Ví dụ 9. Tìm nguyên hàm của hàm số:
Lời giải
Nguyên hàm của hàm số đã cho là:
Chọn B.
Ví dụ 10. Tìm nguyên hàm của hàm số sau: y = tan2x + 3
A. cot2x + 2x + C.
B. tanx + x + C.
C. tanx + 2x + C.
D. cotx + x + C.
Lời giải
Ta có:
⇒ Nguyên hàm của hàm số đã cho là:
Chọn C.
Ví dụ 11. Tìm nguyên hàm của hàm số: y = 3.sin2x + 5cos2x?
Lời giải
Ta có: 3sin2x + 5cos2x = 3(sin2x + cos2x) + 2cos2x - 1 + 1
= 3.1 + cos2x + 1 = 4 + cos2x
⇒ Nguyên hàm của hàm số là:
Chọn C.
Ví dụ 12. Tìm nguyên hàm của hàm số: y = cos4x
Lời giải
Nguyên hàm của hàm số đã cho là:
Chọn A.
Ví dụ 13. Tính I = ∫sin2x.cos4x dx
Lời giải
Ta có:
Chọn B.
C. Bài tập vận dụng
Câu 1: Gọi F(x) là nguyên hàm của hàm số: y = 2sin2x - 3cos3x; biết F(0) = 2. Tìm F(x)
A. –2cos2x - 3sin 3x + C.
B. -cos2x – sin3x + C.
C. -cos2x + sin3x + C.
D. Tất cả sai.
Lời giải:
Ta có:
∫(2sin2x - 3cos3x)dx = 2∫sin2x dx - 3∫cos3x dx = -cos2x + sin3x + C.
Do F(0) = 2 nên ta có: F(0) = -1 + 0 + C = 2 ⇔ C = 3.
Vậy F(x) cần tìm là: F(x) = -cos2x + sin3x + C.
Chọn C.
Câu 2: Nguyên hàm của hàm số: y = 6sinx.sin5x - 6cosx.cos5x là:
A. –cos6x + C.
B. 6sin6x + C.
C. –6sinx + C.
D. –sin6x + C.
Lời giải:
Ta có: 6.sinx.sin5x - 6cosx.cos5x = -6(-sinx.sin5x + cosx.cos5x) = -6.cos6x.
Nguyên hàm của hàm số đã cho là:
Chọn D.
Câu 3: Tìm nguyên hàm của hàm số y = -20.sin3x.cos3x + 8sin2x
Lời giải:
Ta có: -20sin3x.cos3x = -10.(2.sin3x.cos3x) = -10.sin6x
⇒ Nguyên hàm của hàm số đã cho là:
Chọn B.
Câu 4: Tìm nguyên hàm của hàm số: y = 2tan2x + 3cot2x?
A. 2tanx - 3cotx + C.
B. –2tanx + 3cotx + C.
C. tanx + cotx - 5x + C.
D. 2tanx – 3cotx – 5x + C.
Lời giải:
Ta có:
Nguyên hàm của hàm số đã cho là:
Chọn D.
Câu 5: Tìm nguyên hàm của hàm số y = x3 + 2tan2x
Lời giải:
Ta có:
⇒ Nguyên hàm của hàm số đã cho là:
Chọn B.
Câu 6: Tìm nguyên hàm của hàm số:
Lời giải:
Ta có:
⇒ Nguyên hàm của hàm số đã cho là:
Chọn B.
Câu 7: Tìm nguyên hàm F(x) của hàm số: y = 3sin6x – 4cos8x biết tại x = 0 thì F(x) = 1?
Lời giải:
Nguyên hàm của hàm số đã cho là:
Do tại x = 0 ta có F(x) = 1 nên:
Vậy nguyên hàm cần tìm là:
Chọn C.
Câu 8: Nguyên hàm của hàm số y = 4.cos(-2x) + 4sin(-4x) có dạng F(x) = a.sin2x + b.cos4x. Tính a + b?
A. –1. B. 3. C. 2. D. -2.
Lời giải:
Ta có nguyên hàm của hàm số đã cho là:
Chọn B.
Câu 9: Tìm nguyên hàm của hàm số:
Lời giải:
Ta có:
Nguyên hàm của hàm số đã cho là:
Chọn B.
Câu 10: Tìm nguyên hàm của hàm số sau:
Lời giải:
Ta có:
⇒ Nguyên hàm của hàm số đã cho là:
Chọn A.
Câu 11: Tìm nguyên hàm của hàm số y = tan8x.dx
Lời giải:
Ta có nguyên hàm của hàm số đã cho là:
∫tan8x dx = ∫[tan6x.(1 + tan2x) - tan4(1 + tan2x) + tan2x.(1 + tan2x) - (1 + tan2x) + 1]dx
= ∫(tan6x - tan4x + tan2 - 1)dtanx + ∫dx.
Chọn D.
Câu 12: Tìm nguyên hàm của hàm số y = cosx.cos3x.cos2x
Lời giải:
Ta có:
Do đó, nguyên hàm của hàm số đã cho là:
Chọn A.
D. Bài tập tự luyện
Bài 1. Tìm nguyên hàm của hàm số: y = 6sinx + 8cosx.
Bài 2. Tìm nguyên hàm của hàm số: y = 5cosx – 4sinx.
Bài 3. Tìm nguyên hàm của hàm số: y = x + cot2x.
Bài 4. Tìm nguyên hàm của hàm số: y = 7sin2x – cos5x + lne.
Bài 5.Tìm nguyên hàm của hàm số: y = tan2x + 3.
(199k) Xem Khóa học Toán 12 KNTTXem Khóa học Toán 12 CDXem Khóa học Toán 12 CTST
Xem thêm các dạng bài tập Toán lớp 12 ôn thi Tốt nghiệp có lời giải hay khác:
- Bảng công thức nguyên hàm đầy đủ
- Nguyên hàm của hàm đa thức, hàm phân thức
- Nguyên hàm của hàm số mũ, hàm số logarit
- Tìm nguyên hàm của hàm đa thức bằng phương pháp đổi biến số
- Tìm nguyên hàm của hàm phân thức bằng phương pháp đổi biến số
- Tìm nguyên hàm của hàm số mũ, logarit bằng phương pháp đổi biến số
- Tìm nguyên hàm của hàm số lượng giác bằng phương pháp đổi biến số
- Tìm nguyên hàm của hàm chứa căn thức bằng phương pháp đổi biến số
- Tìm nguyên hàm của hàm lượng giác bằng phương pháp nguyên hàm từng phần
- Tìm nguyên hàm của hàm số mũ, logarit bằng phương pháp nguyên hàm từng phần
Đã có app VietJack trên điện thoại, giải bài tập SGK, SBT Soạn văn, Văn mẫu, Thi online, Bài giảng....miễn phí. Tải ngay ứng dụng trên Android và iOS.
Theo dõi chúng tôi miễn phí trên mạng xã hội facebook và youtube:Nếu thấy hay, hãy động viên và chia sẻ nhé! Các bình luận không phù hợp với nội quy bình luận trang web sẽ bị cấm bình luận vĩnh viễn.
- Giải Tiếng Anh 12 Global Success
- Giải sgk Tiếng Anh 12 Smart World
- Giải sgk Tiếng Anh 12 Friends Global
- Lớp 12 Kết nối tri thức
- Soạn văn 12 (hay nhất) - KNTT
- Soạn văn 12 (ngắn nhất) - KNTT
- Giải sgk Toán 12 - KNTT
- Giải sgk Vật Lí 12 - KNTT
- Giải sgk Hóa học 12 - KNTT
- Giải sgk Sinh học 12 - KNTT
- Giải sgk Lịch Sử 12 - KNTT
- Giải sgk Địa Lí 12 - KNTT
- Giải sgk Giáo dục KTPL 12 - KNTT
- Giải sgk Tin học 12 - KNTT
- Giải sgk Công nghệ 12 - KNTT
- Giải sgk Hoạt động trải nghiệm 12 - KNTT
- Giải sgk Giáo dục quốc phòng 12 - KNTT
- Giải sgk Âm nhạc 12 - KNTT
- Giải sgk Mĩ thuật 12 - KNTT
- Lớp 12 Chân trời sáng tạo
- Soạn văn 12 (hay nhất) - CTST
- Soạn văn 12 (ngắn nhất) - CTST
- Giải sgk Toán 12 - CTST
- Giải sgk Vật Lí 12 - CTST
- Giải sgk Hóa học 12 - CTST
- Giải sgk Sinh học 12 - CTST
- Giải sgk Lịch Sử 12 - CTST
- Giải sgk Địa Lí 12 - CTST
- Giải sgk Giáo dục KTPL 12 - CTST
- Giải sgk Tin học 12 - CTST
- Giải sgk Hoạt động trải nghiệm 12 - CTST
- Giải sgk Âm nhạc 12 - CTST
- Lớp 12 Cánh diều
- Soạn văn 12 Cánh diều (hay nhất)
- Soạn văn 12 Cánh diều (ngắn nhất)
- Giải sgk Toán 12 Cánh diều
- Giải sgk Vật Lí 12 - Cánh diều
- Giải sgk Hóa học 12 - Cánh diều
- Giải sgk Sinh học 12 - Cánh diều
- Giải sgk Lịch Sử 12 - Cánh diều
- Giải sgk Địa Lí 12 - Cánh diều
- Giải sgk Giáo dục KTPL 12 - Cánh diều
- Giải sgk Tin học 12 - Cánh diều
- Giải sgk Công nghệ 12 - Cánh diều
- Giải sgk Hoạt động trải nghiệm 12 - Cánh diều
- Giải sgk Giáo dục quốc phòng 12 - Cánh diều
- Giải sgk Âm nhạc 12 - Cánh diều


Giải bài tập SGK & SBT
Tài liệu giáo viên
Sách
Khóa học
Thi online
Hỏi đáp

