Tìm nguyên hàm của hàm phân thức bằng phương pháp đổi biến số (cực hay)
Bài viết Tìm nguyên hàm của hàm phân thức bằng phương pháp đổi biến số với phương pháp giải chi tiết giúp học sinh ôn tập, biết cách làm bài tập Tìm nguyên hàm của hàm phân thức bằng phương pháp đổi biến số.
Tìm nguyên hàm của hàm phân thức bằng phương pháp đổi biến số (cực hay)
(199k) Xem Khóa học Toán 12 KNTTXem Khóa học Toán 12 CDXem Khóa học Toán 12 CTST
Bài giảng: Cách tìm nguyên hàm, tích phân bằng phương pháp đổi biến - Cô Nguyễn Phương Anh (Giáo viên VietJack)
A. Phương pháp giải
Cho hàm số u = u(x) có đạo hàm liên tục trên K và hàm số y = f(u) liên tục sao cho f[u(x)] xác định trên K. Khi đó nếu F là một nguyên hàm của f thì:
B. Ví dụ minh họa
Ví dụ 1. Tính
Lời giải
Ta có:
Đặt u = 5x - 2 ta có:
Chọn B.
Ví dụ 2. Tính
A. 2ln|x2 - x| + C.
B. xln|x2 - x| + C.
C. ln|x2 - x| + C.
D. Đáp án khác.
Lời giải
Ta có:
Đặt u = x2 - x khi đó:
Chọn C.
Ví dụ 3. Tính
Lời giải
Chọn C.
Ví dụ 4. Tính
Lời giải
Ta có:
Chọn A.
Ví dụ 5. Tính
Lời giải
Ta có:
Chọn A.
Ví dụ 6. Tính
Lời giải
Chọn A.
Ví dụ 7. Tính
Lời giải
Ta có:
Chọn A.
Ví dụ 8. Tính
Lời giải
Đặt t = x + 3 ⇒ x = t - 3 và dx = dt.
Khi đó:
Chọn A.
Ví dụ 9. Tính
Lời giải
Chọn D.
Ví dụ 10. Tính
A. 2x - 2ln|x+1| + c.
B. x2 + 2ln|x+1| + c.
C. x2 - 2ln|x+1| + c.
D. Tất cả sai.
Lời giải
Ta có:
Chọn C.
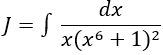
Ví dụ 11. Tính
Lời giải
Chọn D.
Ví dụ 12. Tính
Lời giải
Ta có: x3 + x2 - 2x = x(x - 1)(x + 2)
Giả sử:
⇔ 2x2 - 5x - 3 = A(x - 1).(x + 2) + B.x.(x + 2) + Cx.(x - 1) (*)
* Phương pháp gán các giá trị đặc biệt vào (*)
Thay x = 0 vào (*) suy ra: 2A = 3 ⇒ A = 3/2
Thay x = 1 vào (*) suy ra: 3B = -6 ⇒ B = -2
Thay x = -2n vào (*) suy ra: 6C = 15 ⇒ C = 5/2
Chọn A.
Ví dụ 13. Tính
Lời giải
Ta có:
Chọn B.
C. Bài tập vận dụng
Câu 1: Tính
Lời giải:
Chọn C.
Câu 2: Tính
Lời giải:
Ta có:
Chọn A.
Câu 3: Tính
Lời giải:
Đặt t = x3 ⇒ dt = 3x2 dx
Ta có:
Chọn B.
Câu 4: Tính
Lời giải:
Chọn B.
Câu 5: Tính
Lời giải:
Ta có:
Đặt u = x3 - 3x khi đó:
Chọn C.
Câu 6: Tính
Lời giải:
Ta có:
Chọn C.
Câu 7: Tìm nguyên hàm:
Lời giải:
Chọn A.
Câu 8: Một nguyên hàm của hàm số là:
Lời giải:
Ta có:
Cho C = 0 ta được một nguyên hàm của hàm số f(x) là:
Chọn A.
Câu 9: Tính
Lời giải:
Ta có:
Do đó:
Chọn D.
Câu 10: Tìm nguyên hàm của hàm số
Lời giải:
Ta có:
Chọn D.
Câu 11: Tìm nguyên hàm của hàm số
Lời giải:
Ta có:
Chọn B.
Câu 12: Tính
Lời giải:
Ta có: x3 - 5x2 + 6x = x.(x - 2).(x - 3)
+ Giả sử:
⇔ 5x2 - 6x + 1 = A(x - 2)(x - 3) + Bx.(x - 3) + Cx(x - 2) (*)
Thay x = 0 vào (*) ta được: 1 = 6A ⇒ A = 1/6
Thay x = 2 vào (*) ta được: 9 = -2B ⇒ B = -9/2
Thay x = 3 vào(*) ta được: 28 = 3C ⇒ C = 28/3
Chọn D.
Câu 13: Tính
Lời giải:
Ta có: x3 - 3x + 2 = (x - 1)2(x + 2)
Giả sử:
⇒ 3x2 + 3x + 3 = A(x + 2)+ B(x - 1).(x + 2) + C(x - 1)2 (*)
+ Gán các giá trị đặc biệt vào (*):
Cho x = 1 ⇒ 3A = 9 nên A = 3
Cho x = -2 ⇒ 9C = 9 nên C = 1
Cho x = 0 ⇒ 3 = 2A - 2B + C ⇒ B = 2
Vậy:
Chọn A.
Bài giảng: Cách làm bài tập nguyên hàm và phương pháp tìm nguyên hàm của hàm số cực nhanh - Cô Nguyễn Phương Anh (Giáo viên VietJack)
(199k) Xem Khóa học Toán 12 KNTTXem Khóa học Toán 12 CDXem Khóa học Toán 12 CTST
Xem thêm các dạng bài tập Toán lớp 12 ôn thi Tốt nghiệp có lời giải hay khác:
- Bảng công thức nguyên hàm đầy đủ
- Nguyên hàm của hàm đa thức, hàm phân thức
- Nguyên hàm của hàm số mũ, hàm số logarit
- Nguyên hàm của hàm số lượng giác
- Tìm nguyên hàm của hàm đa thức bằng phương pháp đổi biến số
- Tìm nguyên hàm của hàm số mũ, logarit bằng phương pháp đổi biến số
- Tìm nguyên hàm của hàm số lượng giác bằng phương pháp đổi biến số
- Tìm nguyên hàm của hàm chứa căn thức bằng phương pháp đổi biến số
- Tìm nguyên hàm của hàm lượng giác bằng phương pháp nguyên hàm từng phần
- Tìm nguyên hàm của hàm số mũ, logarit bằng phương pháp nguyên hàm từng phần
Đã có app VietJack trên điện thoại, giải bài tập SGK, SBT Soạn văn, Văn mẫu, Thi online, Bài giảng....miễn phí. Tải ngay ứng dụng trên Android và iOS.
Theo dõi chúng tôi miễn phí trên mạng xã hội facebook và youtube:Nếu thấy hay, hãy động viên và chia sẻ nhé! Các bình luận không phù hợp với nội quy bình luận trang web sẽ bị cấm bình luận vĩnh viễn.
- Giải Tiếng Anh 12 Global Success
- Giải sgk Tiếng Anh 12 Smart World
- Giải sgk Tiếng Anh 12 Friends Global
- Lớp 12 Kết nối tri thức
- Soạn văn 12 (hay nhất) - KNTT
- Soạn văn 12 (ngắn nhất) - KNTT
- Giải sgk Toán 12 - KNTT
- Giải sgk Vật Lí 12 - KNTT
- Giải sgk Hóa học 12 - KNTT
- Giải sgk Sinh học 12 - KNTT
- Giải sgk Lịch Sử 12 - KNTT
- Giải sgk Địa Lí 12 - KNTT
- Giải sgk Giáo dục KTPL 12 - KNTT
- Giải sgk Tin học 12 - KNTT
- Giải sgk Công nghệ 12 - KNTT
- Giải sgk Hoạt động trải nghiệm 12 - KNTT
- Giải sgk Giáo dục quốc phòng 12 - KNTT
- Giải sgk Âm nhạc 12 - KNTT
- Giải sgk Mĩ thuật 12 - KNTT
- Lớp 12 Chân trời sáng tạo
- Soạn văn 12 (hay nhất) - CTST
- Soạn văn 12 (ngắn nhất) - CTST
- Giải sgk Toán 12 - CTST
- Giải sgk Vật Lí 12 - CTST
- Giải sgk Hóa học 12 - CTST
- Giải sgk Sinh học 12 - CTST
- Giải sgk Lịch Sử 12 - CTST
- Giải sgk Địa Lí 12 - CTST
- Giải sgk Giáo dục KTPL 12 - CTST
- Giải sgk Tin học 12 - CTST
- Giải sgk Hoạt động trải nghiệm 12 - CTST
- Giải sgk Âm nhạc 12 - CTST
- Lớp 12 Cánh diều
- Soạn văn 12 Cánh diều (hay nhất)
- Soạn văn 12 Cánh diều (ngắn nhất)
- Giải sgk Toán 12 Cánh diều
- Giải sgk Vật Lí 12 - Cánh diều
- Giải sgk Hóa học 12 - Cánh diều
- Giải sgk Sinh học 12 - Cánh diều
- Giải sgk Lịch Sử 12 - Cánh diều
- Giải sgk Địa Lí 12 - Cánh diều
- Giải sgk Giáo dục KTPL 12 - Cánh diều
- Giải sgk Tin học 12 - Cánh diều
- Giải sgk Công nghệ 12 - Cánh diều
- Giải sgk Hoạt động trải nghiệm 12 - Cánh diều
- Giải sgk Giáo dục quốc phòng 12 - Cánh diều
- Giải sgk Âm nhạc 12 - Cánh diều


Giải bài tập SGK & SBT
Tài liệu giáo viên
Sách
Khóa học
Thi online
Hỏi đáp

