Viết phương trình đường thẳng đi qua 1 điểm, cắt và vuông góc với đường thẳng
Bài viết Viết phương trình đường thẳng đi qua 1 điểm, cắt và vuông góc với đường thẳng với phương pháp giải chi tiết giúp học sinh ôn tập, biết cách làm bài tập Viết phương trình đường thẳng đi qua 1 điểm, cắt và vuông góc với đường thẳng.
- Cách giải bài tập Viết phương trình đường thẳng đi qua 1 điểm, cắt và vuông góc với đường thẳng
- Ví dụ minh họa Viết phương trình đường thẳng đi qua 1 điểm, cắt và vuông góc với đường thẳng
- Bài tập vận dụng Viết phương trình đường thẳng đi qua 1 điểm, cắt và vuông góc với đường thẳng
- Bài tập tự luyện Viết phương trình đường thẳng đi qua 1 điểm, cắt và vuông góc với đường thẳng
Viết phương trình đường thẳng đi qua 1 điểm, cắt và vuông góc với đường thẳng
(199k) Xem Khóa học Toán 12 KNTTXem Khóa học Toán 12 CDXem Khóa học Toán 12 CTST
Bài giảng: Cách viết phương trình đường thẳng cơ bản - Cô Nguyễn Phương Anh (Giáo viên VietJack)
A. Phương pháp giải
Gọi giao điểm của đường thẳng d và d1 là B.
+ Vì B thuộc đường thẳng d1 nên tọa độ B có dạng... ( theo tham số t).
=> Tọa độ AB→
+ Xác định vecto chỉ phương u1→ của đường thẳng d1.
+ Do đường thẳng d vuông góc với đường thẳng d1 nên
=>
=>Phương trình ẩn t ....=> t= ...
=> Tọa độ điểm B.
+ Viết phương trình đường thẳng d đi qua hai điểm A và B.
B. Ví dụ minh họa
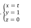
Ví dụ 1. Cho đường thẳng d1 có phương trình tham số:
và điểm A(0;1; 0).
Phương trình tham số đường thẳng d đi qua điểm A đồng thời vuông góc và cắt đường thẳng d1 là:
A.
B.
C.
D. Đáp án khác
Lời giải:
+Đường thẳng d1 có vecto chỉ phương là:
Gọi giao điểm của đường thẳng d và d1 là B.
+ Vì B thuộc đường thẳng d1 nên tọa độ B có dạng B( -3;1-t;2t)
=>
Vì đường thẳng d vuông góc với đường thẳng d1 nên ta có:
⇔
⇔ 0. (-3) – 1( - t) + 2.2t= 0 ⇔ 5t= 0 ⇔ t= 0
Suy ra tọa độ B( - 3; 1; 0)
+ Đường thẳng cần tìm chính là đường thẳng AB: đi qua A( 0;1; 0) và có vecto chỉ phương:
Vậy phương trình tham số của đường thẳng d là:
Chọn A.
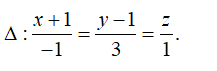
Ví dụ 2. Cho điểm A( -1; -2; 3) và đường thẳng d:
. Đường thẳng Δ đi qua cắt và vuông góc với đường thẳng d. Tìm một vecto chỉ phương của đường thẳng Δ
A . ( 4; 4; 0)
B. (2; -2; 1)
C. ( 2;4; 1)
D. ( 3; -3;0)
Lời giải:
Gọi giao điểm của đường thẳng d và Δ là M
Khi đó :
Đường thẳng d có vecto chỉ phương là:
Khi đó :
⇔ 1. 2t+ 1( 3+ 2t) – 2( - 4t- 3) =0
⇔ 2t+ 3+ 2t+ 8t+ 6 = 0⇔ 12t + 9= 0
⇔ t= (-3)/4
Suy ra
là một vecto chỉ phương của đường thẳng d.
Chọn D.
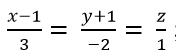
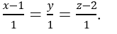
Ví dụ 3. Trong không gian với hệ toạ độ Oxyz,cho điểm A(1; 0;2) và đường thẳng d có phương trình
. Viết phương trình đường thẳng Δ đi qua A vuông góc và cắt d
A.
B.
C.
D.
Lời giải:
Ta có
là một vecto chỉ phương của đường thẳng d.
Gọi :
Do
⇔t+t+2(2t-3)=0⇔6t-6=0 nên t=1⇒
Đường thẳng Δ đi qua A và nhận
làm vectơ chỉ phương nên có phương
trình
Chọn B.
Ví dụ 4. Cho đường thẳng Δ có phương trình chính tắc:
; điểm A(-1;2; 0) . Đường thẳng d đi qua điểm A đồng thời vuông góc và cắt đường thẳng Δ tại điểm có tọa độ là?
A.
B.
C.
D.
Lời giải:
+ Ta có đường thẳng Δ có vecto chỉ phương
Gọi giao điểm của đường thẳng d và Δ là B.
+ Vì B thuộc đường thẳng Δ nên tọa độ B có dạng B( 1+3t; -1-2t; t)
=>
+ Do
⇔ 3( 2+ 3t) – 2( - 3 -2t) + 1. t= 0
⇔ 6+ 9t + 6 + 4t + t= 0
⇔ 14t+ 12= 0 ⇔ t= (- 6)/7
=> Tọa độ giao điểm của d và Δ là
Chọn A.
Ví dụ 5: Trong không gian với hệ tọa độ Oxyz; cho điểm M( 1;1;1) và đường thẳng d đi qua hai điểm A(1; 2;0) và B(-1;3;3). Gọi Δ là đưởng thẳng qua M vuông góc và cắt d. Biết rằng đường thẳng d và Δ cắt nhau tại
. Tính a+ b ?
A. 16
B. – 10
C. 18
D. -8
Lời giải:
+ Đường thẳng d đi qua hai điểm A( 1;2;0) và B( -1; 3;3) nên đường thẳng này nhận vecto
làm vecto chỉ phương
=> Phương trình đường thẳng d:
+ Gọi N là giao điểm của Δ và d.
Do N thuộc đường thẳng d nên tọa độ N( 1- 2t; 2+ t; 3t)
=>
+ Do
⇔ - 2. (-2t) + 1. ( 1+ t) + 3( 3t-1) = 0 ⇔ 4t+ 1+ t+ 9t – 3 = 0⇔ 14t - 2= 0 ⇔ t= 1/7
=> Tọa độ điểm
=> a= 15 và b= 3 nên a+ b= 18
Chon C.
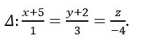
Ví dụ 6: Cho điểm A (-4; -2; 4) và đường thẳng
. Viết phương trình đường thẳng d đi qua A, cắt và vuông góc với đường thẳng d1
A.
B.
C.
D.
Lời giải:
Chọn A
Cách 1:
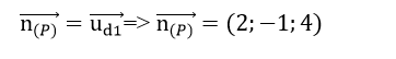
- Mặt phẳng (P) đi qua điểm A và vuông góc với đường thẳng d1 có vectơ pháp tuyến là
Phương trình mặt phẳng (P) là: 2.(x + 4) – 1 . (y + 2) + 4. (z – 4) = 0 hay 2x – y + 4z – 10 = 0
- Gọi giao điểm của ( P) và d1 là B( -3+ 2t; 1- t; - 1+ 4t) .
Thay tọa độ điểm B vào phương trình mặt phẳng ( P) ta được: 2( -3+ 2t)- ( 1-t)+ 4(- 1+4t) – 10= 0 ⇔ - 6+ 4t – 1+ t – 4+ 16t – 10=0 ⇔ 21t – 21= 0 ⇔ t= 1 => B (-1; 0; 3)
- Đường thẳng cần tìm là đường thẳng đi qua 2 điểm A, B
Vectơ chỉ phương của d là:
Vậy phương trình đường thẳng d là:
Cách 2:
Vecto chỉ phương của đường thẳng d1 là:
Gọi B là giao điểm của d và d1, vì d vuông góc với d1 nên
Tọa độ của B (-3+2t; 1-t;-1+4t)
=>
⇔2(1+2t)-(3-t)+4(-5+4t)=0
⇔t=1
=>
Vậy phương trình của d là :
Ví dụ 7: Cho điểm A (2; 3; -1) và đường thẳng
. Đường thẳng d đi qua A, cắt và vuông góc với đường thẳng d1. Trong các vecto sau vecto nào không là vecto chỉ phương của đường thẳng d?
A ( 6; 5; -32)
B. ( 6; -5; 16)
C. ( - 12; -10; 64)
D. ( -18; -15; 96)
Lời giải:
+ Đường thẳng d1 có vecto chỉ phương
+ Gọi B là giao điểm của d và d1, vì d vuông góc với d1 nên
Tọa độ của B (2t; 4t;3+t)
=>
+
⇔t=4/7
=>
+ Ta thấy các vecto trong các phương án A; C; D cùng phương với vecto AB→ nên các vecto trong các phương án A; C và D cũng là vecto chỉ phương của đường thẳng d.
Chọn B.
Ví dụ 8:Trong không gian với hệ tọa độ Oxyz; cho đường thẳng d đi qua hai điểm O và M( 1; 2; -1). Phương trình chính tắc của đường thẳng đi qua điểm A(-1;2;-1), cắt và vuông góc với d là:
A.
B.
C.
D.
Lời giải:
+ Gọi Δ là đường thẳng cần tìm. Gọi giao điểm của d và Δ là B.
+ Đường thẳng d đi qua hai điểm O và M (1; 2; -1) nên đường thẳng này nhận vecto
làm vecto chỉ phương.
=> Phương trình đường thẳng d:
+ Do B thuộc d nên tọa độ B( t; 2t; - t) =>
+ Đường thẳng d có vectơ chỉ phương
+ Do
⇔ t+ 1 + 4t – 4- 1+ t= 0 ⇔ 6t – 4= 0 nên t= 2/3
+ Đường thẳng Δ đi qua điểm A( -1;2; -1) và có vectơ chỉ phương
Vậy phương trình của Δ là:
Chọn D.
Ví dụ 9: Trong không gian với hệ tọa độ Oxyz, đường thẳng Δ nằm trong mặt phẳng (P): 2x+ y- z -1= 0. Biết Δ vuông góc và cắt đường thẳng . Phương trình đường thẳng Δ là:
A.
B.
C.
D.
Lời giải:
Gọi
Thay tọa độ điểm M vào phương trình ( P) ta được: ⇒2t-2+t-(2-2t)-1=0⇔5t-5=0 ⇔ t=1⇒M(1;-1;0)∈Δ.
Ta có Vecto pháp tuyến của (P) là :
Vecto chỉ phương của đường thẳng d là
Khi đó
⇒
.
Chọn C.
C. Bài tập vận dụng
Câu 1:
Cho đường thẳng d1 có phương trình tham số:
và điểm A(0; 1; 2). Phương trình tham số đường thẳng d đi qua điểm A đồng thời vuông góc và cắt đường thẳng d1 là:
A.
B.
C.
D. Đáp án khác
Lời giải:
+Đường thẳng d1 có vecto chỉ phương là:
Gọi giao điểm của đường thẳng d và d1 là B.
+ Vì B thuộc đường thẳng d1 nên tọa độ B có dạng B(-t; 2t; -1-t)
=>
Vì đường thẳng d vuông góc với đường thẳng d1 nên ta có:
⇔
⇔ - 1( - t) + 2( 2t- 1) – 1( - 3- t) = 0
⇔ t+ 4t- 2+ 3+ t= 0 ⇔ 6t+ 1= 0 ⇔ t= (- 1)/6
Suy ra tọa độ
+ Đường thẳng cần tìm chính là đường thẳng AB: đi qua A( 0;1; 2) và có vecto chỉ
phương:
Vậy phương trình tham số của đường thẳng d là:
Chọn B.
Câu 2:
Cho điểm A( -3; 1; 2) và đường thẳng
. Đường thẳng Δ đi qua cắt và vuông góc với đường thẳng d. Gọi giao điểm của đường thẳng d và Δ là M . Tính AM?
A . 6
B. 8
C.
D.
Lời giải:
Khi đó
Đường thẳng d có vecto chỉ phương là:
Khi đó
⇔ - 2( - 4- 2t) + 1( t- 1) + 1(t- 1)= 0
⇔ 8+ 4t + t- 1+ t- 1= 0 ⇔ 6t + 6= 0
⇔ t= - 1
Suy ra
=>
Chọn D.
Câu 3:
Trong không gian với hệ toạ độ Oxyz,cho điểm A( - 3;1; -2); B ( 1; 3;0) và
đường thẳng d có phương trình
. Gọi M là trung điểm AB. Viết phương
trình đường thẳng Δ đi qua M vuông góc và cắt d
A.
B.
C.
D.
Lời giải:
Do M là trung điểm AB nên tọa độ M( - 1; 2; -1).
Ta có
là một vecto chỉ phương của đường thẳng d.
Gọi
Do
⇔
⇒
Đường thẳng Δ đi qua M và nhận
làm vectơ chỉ phương nên có phương
trình Δ:
Chọn B.
Câu 4:
Cho đường thẳng Δ có phương trình
điểm A( -3; -2; 0) . Đường thẳng d đi qua điểm A đồng thời vuông góc và cắt đường thẳng Δ tại điểm có tọa độ là?
A. ( 0; -1; 2)
B. ( -2; -3; 2)
C. (1; 0;2)
D. ( 2; 3; 2)
Lời giải:
+ Ta có đường thẳng Δ có vecto chỉ phương
Gọi giao điểm của đường thẳng d và Δ là B.
+ Vì B thuộc đường thẳng Δ nên tọa độ B có dạng B( -2t; -1-2t; 2)
=>
Do
=0
⇔ - 2( -2t+ 3) – 2( 1-2t) + 0.2 = 0
⇔ 4t – 6 – 2 + 4t+ 0 = 0
⇔ 8t- 8= 0 ⇔ t= 1
=> Tọa độ giao điểm của d và Δ là B ( -2; - 3; 2)
Chọn B.
Câu 5:
Trong không gian với hệ tọa độ Oxyz; cho điểm M(2; 0;2) và đường thẳng d đi qua hai điểm A(-1; 2;-2) và B(0; -1; 2). Gọi Δ là đường thẳng qua M vuông góc và cắt d. Biết rằng đường thẳng d và Δ cắt nhau tại N . Tìm hoành độ điểm N?
A.(-1)/28
B.(- 1)/18
C. (- 1)/26
D.3/2
Lời giải:
+ Đường thẳng d đi qua hai điểm A và B nên đường thẳng này nhận vecto
làm vecto chỉ phương
=> Phương trình đường thẳng d:
+ Gọi N là giao điểm của Δ và d.
Do N thuộc đường thẳng d nên tọa độ N(-1+ t; 2- 3t; -2+ 4t)
=>
Do
⇔ 1( -3+ t) – 3( 2- 3t) + 4( - 4+ 4t)= 0
⇔ - 3+ t – 6 +9t – 16 + 16t = 0 ⇔ 26t - 25= 0
⇔ t= 25/26
=> Hoành độ điểm N:
Chon C.
Câu 6:
Cho điểm A ( 2;1; 0); B( -1; 2; -1) và C( -2; 0;0). Viết phương trình đường thẳng d đi qua A, cắt và vuông góc với đường thẳng BC?
A.
B.
C.
D.
Lời giải:
+ Vecto chỉ phương của đường thẳng BC là:
=> Phương trình đường thẳng BC:
+ Gọi D là giao điểm của d và BC, vì d vuông góc với BC nên
Tọa độ của D (-2-t;-2t;t)
=>
Do
⇔ 4+ t + 4t+ 2 + t= 0 ⇔6t+ 6= 0
⇔t=-1
=>
Vậy phương trình của d là :
Chọn B.
Câu 7:
Cho điểm A (-2; 1; 4) và đường thẳng
. Đường thẳng d đi qua A, cắt và vuông góc với đường thẳng d1. Trong các vecto sau vecto nào là vecto chỉ phương của đường thẳng d?
A ( 6; - 12; -12)
B. ( 7; - 6; -6)
C. ( 14; -9; -9)
D. (- 6; 9; 9)
Lời giải:
+ Đường thẳng d1 có vecto chỉ phương
+ Gọi B là giao điểm của d và d1, vì d vuông góc với d1 nên
Tọa độ của B (- 2+2t; -t;3-t)
=>
+ Do
⇔ -4 + t – 3+ t= 0 ⇔ 2t- 7= 0
⇔ t=7/2
+ Ta thấy vecto
cùng phương với vecto AB→ nên vecto này cũng là vecto chỉ phương của đường thẳng d
Chọn C.
Câu 8:
Trong không gian với hệ tọa độ Oxyz; cho đường thẳng d đi qua hai điểm O và M(2;1; 4). Phương trình chính tắc của đường thẳng đi qua điểm A(-3; -2; -1), cắt và vuông góc với d là:
A.
B.
C.
D.
Lời giải:
+ Gọi Δ là đường thẳng cần tìm. Gọi giao điểm của d và Δ là B.
+ Đường thẳng d đi qua hai điểm O và M (2;1;4) nên đường thẳng này nhận vecto
làm vecto chỉ phương.
=> Phương trình đường thẳng d:
+ Do B thuộc d nên tọa độ B( 2t; t; 4t) =>
+ Đường thẳng d có vectơ chỉ phương
+ Do
⇔ 4t+ 6 + t+ 2+ 16t + 4= 0
⇔ 21t + 12= 0 nên t= (-4)/7
+ Đường thẳng Δ đi qua điểm A( - 3; -2; -1) và có vectơ chỉ phương
Vậy phương trình của Δ là:
Chọn D.
Câu 9:
Trong không gian với hệ tọa độ Oxyz, đường thẳng Δ nằm trong mặt phẳng (P):
x- y + z -1= 0. Biết Δ vuông góc và cắt đường thẳng
. Phương trình đường thẳng Δ là:
A.
B.
C.
D.
Lời giải:
Gọi :
Thay tọa độ điểm M vào phương trình ( P) ta được:
⇒1+2t-t+2-2t-1=0⇔-t+2=0
⇔ t=2⇒M( 5;2; -2)∈Δ.
Ta có Vecto pháp tuyến của (P) là :
Vecto chỉ phương của đường thẳng d là
Khi đó
⇒
Chọn A.
D. Bài tập tự luyện
Bài 1. Trong không gian tọa độ Oxyz, cho điểm M(2; 1; 0) và đường thẳng Δ: . Lập phương trình đường thẳng d đi qua M, cắt và vuông góc với ∆.
Bài 2. Cho điểm A(1; 2; −1) và đường thẳng d: . Viết phương trình đường thẳng qua A cắt và vuông góc với d.
Bài 3. Trong không gian tọa độ, cho điểm A(1; 2; 3) và đường thẳng d: . Viết phương trình đường thẳng qua A, vuông góc với d và cắt Ox.
Bài 4. Cho đường thẳng d: . Viết phương trình đường thẳng Δ đi qua A(1;0;2) vuông góc và cắt d.
Bài 5. Trong không gian với hệ tọa độ Oxyz, cho điểm M(2;1;0) và đường thẳng Δ: . Viết phương trình tham số của đường thẳng d đi qua điểm M, cắt và vuông góc với Δ.
Bài giảng: Cách viết phương trình đường thẳng nâng cao - Cô Nguyễn Phương Anh (Giáo viên VietJack)
(199k) Xem Khóa học Toán 12 KNTTXem Khóa học Toán 12 CDXem Khóa học Toán 12 CTST
Xem thêm các dạng bài tập Toán lớp 12 ôn thi Tốt nghiệp có lời giải hay khác:
- Viết phương trình đường thẳng nằm trong mặt phẳng và cắt hai đường thẳng
- Viết phương trình đường thẳng song song với đường thẳng và cắt 2 đường thẳng
- Viết phương trình đường vuông góc chung của hai đường thẳng chéo nhau
- Viết phương trình đường thẳng là hình chiếu của đường thẳng lên mặt phẳng
- Vị trí tương đối của hai đường thẳng trong không gian
Đã có app VietJack trên điện thoại, giải bài tập SGK, SBT Soạn văn, Văn mẫu, Thi online, Bài giảng....miễn phí. Tải ngay ứng dụng trên Android và iOS.
Theo dõi chúng tôi miễn phí trên mạng xã hội facebook và youtube:Nếu thấy hay, hãy động viên và chia sẻ nhé! Các bình luận không phù hợp với nội quy bình luận trang web sẽ bị cấm bình luận vĩnh viễn.
- Giải Tiếng Anh 12 Global Success
- Giải sgk Tiếng Anh 12 Smart World
- Giải sgk Tiếng Anh 12 Friends Global
- Lớp 12 Kết nối tri thức
- Soạn văn 12 (hay nhất) - KNTT
- Soạn văn 12 (ngắn nhất) - KNTT
- Giải sgk Toán 12 - KNTT
- Giải sgk Vật Lí 12 - KNTT
- Giải sgk Hóa học 12 - KNTT
- Giải sgk Sinh học 12 - KNTT
- Giải sgk Lịch Sử 12 - KNTT
- Giải sgk Địa Lí 12 - KNTT
- Giải sgk Giáo dục KTPL 12 - KNTT
- Giải sgk Tin học 12 - KNTT
- Giải sgk Công nghệ 12 - KNTT
- Giải sgk Hoạt động trải nghiệm 12 - KNTT
- Giải sgk Giáo dục quốc phòng 12 - KNTT
- Giải sgk Âm nhạc 12 - KNTT
- Giải sgk Mĩ thuật 12 - KNTT
- Lớp 12 Chân trời sáng tạo
- Soạn văn 12 (hay nhất) - CTST
- Soạn văn 12 (ngắn nhất) - CTST
- Giải sgk Toán 12 - CTST
- Giải sgk Vật Lí 12 - CTST
- Giải sgk Hóa học 12 - CTST
- Giải sgk Sinh học 12 - CTST
- Giải sgk Lịch Sử 12 - CTST
- Giải sgk Địa Lí 12 - CTST
- Giải sgk Giáo dục KTPL 12 - CTST
- Giải sgk Tin học 12 - CTST
- Giải sgk Hoạt động trải nghiệm 12 - CTST
- Giải sgk Âm nhạc 12 - CTST
- Lớp 12 Cánh diều
- Soạn văn 12 Cánh diều (hay nhất)
- Soạn văn 12 Cánh diều (ngắn nhất)
- Giải sgk Toán 12 Cánh diều
- Giải sgk Vật Lí 12 - Cánh diều
- Giải sgk Hóa học 12 - Cánh diều
- Giải sgk Sinh học 12 - Cánh diều
- Giải sgk Lịch Sử 12 - Cánh diều
- Giải sgk Địa Lí 12 - Cánh diều
- Giải sgk Giáo dục KTPL 12 - Cánh diều
- Giải sgk Tin học 12 - Cánh diều
- Giải sgk Công nghệ 12 - Cánh diều
- Giải sgk Hoạt động trải nghiệm 12 - Cánh diều
- Giải sgk Giáo dục quốc phòng 12 - Cánh diều
- Giải sgk Âm nhạc 12 - Cánh diều


Giải bài tập SGK & SBT
Tài liệu giáo viên
Sách
Khóa học
Thi online
Hỏi đáp

