Viết phương trình đường thẳng nằm trong mặt phẳng và cắt hai đường thẳng
Bài viết Viết phương trình đường thẳng nằm trong mặt phẳng và cắt hai đường thẳng với phương pháp giải chi tiết giúp học sinh ôn tập, biết cách làm bài tập Viết phương trình đường thẳng nằm trong mặt phẳng và cắt hai đường thẳng.
Viết phương trình đường thẳng nằm trong mặt phẳng và cắt hai đường thẳng
(199k) Xem Khóa học Toán 12 KNTTXem Khóa học Toán 12 CDXem Khóa học Toán 12 CTST
Bài giảng: Cách viết phương trình đường thẳng cơ bản - Cô Nguyễn Phương Anh (Giáo viên VietJack)
A. Phương pháp giải
- Tìm giao điểm A = d1 ∩ (P); B = d2 ∩ (P)
- d là đường thẳng đi qua 2 điểm A và B
B. Ví dụ minh họa
Ví dụ 1: Viết phương trình của đường thẳng d nằm trong mặt phẳng (P): y + 2z = 0 và
cắt hai đường thẳng
A.
B.
C.
D. Đáp án khác
Lời giải:
- Giao điểm A của d1 và (P) có tọa độ (1 – t; t; 4t)
Thay vào phương trình mặt phẳng (P) có: t + 2. 4t = 0 ⇔ t = 0 => A (1; 0; 0)
- Giao điểm B của d2 và (P) có tọa độ ( 2 – t’; 4 + 2t’; 4)
Thay vào phương trình mặt phẳng (P) có: (4 + 2t’) + 2.4 = 0 ⇔ t = - 6 => B (8; -8; 4)
- Ta có:
Vậy phương trình của d là :
Chọn B.
Ví dụ 2: Viết phương trình của đường thẳng d nằm trong mặt phẳng (P): x – y – 2z + 3 =
0 và cắt hai đường thẳng
A.
B.
C.
D. Đáp án khác
Lời giải:
- Giao điểm A của d1 và (P) có tọa độ (2t-1;-t+1;t+1)
Thay tọa độ A vào phương trình (P) có:
(2t-1)-( -t+1)-2(t+1)+3 = 0 ⇔ 2t- 1 + t – 1- 2t- 2+ 3= 0
⇔ t- 1= 0 nên t=1 => A (1; 0; 2)
- Giao điểm B của d2 và (P) có tọa độ (t+1;t+2;2t-1)
Thay tọa độ điểm B vào phương trình (P) Có: (t+1)-(t+2)-2(2t-1)+3 = 0 ⇔-4t+4=0 nên t=1 => B (2; 3; 1)
-Ta có
Vậy phương trình của d là :
Chọn A
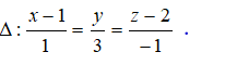
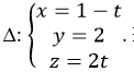
Ví dụ 3. Trong không gian với hệ tọa độ Oxyz; cho hai đường thẳng
. Đường thẳng d nằm trong (P): x+2y- 3z – 2= 0 và cắt hai đường thẳng d1; d2 lần lượt tại A và B. Tính AB?
A. 8
B.
C.
D.
Lời giải:
+ Gọi A là giao điểm của d1 và( P)
Tọa độ A( 2- t; 1+ 3t; 1+ 2t). Thay tọa độ điểm A vào phương trình (P) ta được: 2- t + 2( 1+ 3t) – 3( 1+ 2t) = 0 ⇔ 2- t + 2+ 6t – 3 – 6t= 0 ⇔ - t + 1= 0 ⇔ t= 1 nên A( 1; 4; 3)
+ Gọi B là giao điểm của d2 và( P)
Tọa độ B( 1-3t; - 2+ t; - 1- t). Thay tọa độ điểm B vào phương trình (P) ta được:
1- 3t + 2( - 2+ t) – 3( - 1- t) - 2 = 0
⇔ 1- 3t – 4 + 2t + 3+ 3t – 2= 0
⇔ 2t – 2= 0 ⇔ t= 1 nên B ( -2; - 1; -2)
=>
Chọn D.
Ví dụ 4: Trong không gian với hệ toạ độ Oxyz, cho hai đường thẳng
; và mặt phẳng (P): x- y - 2z + 3= 0. Biết
đường thẳng Δ nằm trên mặt phẳng (P) và cắt hai đường thẳng d1; d2 . Phương trình Δ là
A.
B.
C.
D.
Lời giải:
Gọi A; B lần lượt là giao điểm của Δ với d1; d2
Do Δ⊂(P)⇒A,B cũng chính là giao điểm của (P) với
Khi đó :
Suy ra phương trình
Chọn A.
Ví dụ 5. Trong không gian với hệ tọa độ Oxyz; cho hai đường thẳng
. Đường thẳng d nằm trong (P): x+2y- z + 1= 0 và cắt
hai đường thẳng d1; d2 . Tìm một vecto chỉ phương của đường thẳng d?
A.(9;-8; -7)
B. ( 9; 1; 4)
C. ( 6; 9; -2)
D. (-2; 1; -2)
Lời giải:
+ Gọi A là giao điểm của d1 và( P)
Tọa độ A( 2t; 3; 1- t). Thay tọa độ điểm A vào phương trình (P) ta được: 2t + 2.3 – ( 1- t) + 1= 0 ⇔ 3t + 6= 0 ⇔ t= - 2 nên A( - 4; 3; 3)
+ Gọi B là giao điểm của d2 và( P)
Tọa độ B( 1- t; -2+ 2t; - t). Thay tọa độ điểm B vào phương trình (P) ta được:
1- t + 2( - 2+ 2t) + t + 1= 0
⇔ 4t - 2= 0 ⇔ t= 1/2
=>
+ Đường thẳng d nhận vecto
làm vecto chỉ phương
Chọn A.
Ví dụ 6. Trong không gian với hệ tọa độ Oxyz; cho hai điểm M( 1; 2; 1); N( 0;1; 2) và
đường thẳng
. Viết phương trình đường thẳng Δ nằm trong mặt phẳng
(P): x- 2y+ z = 0 cắt đường thẳng d và MN?
A.
B.
C.
D. Đáp án khác
Lời giải:
+ Phương trình đường thẳng MN:
Đường thẳng MN đi qua M( 1; 2; 1) và có vecto chỉ phương
nên có
phương trình:
+ Gọi A là giao điểm của d và( P)
Tọa độ A(- 1+ 2t; - 2t; 1+ t). Thay tọa độ điểm A vào phương trình (P) ta được: - 1+ 2t – 2( - 2t)+ 1+ t = 0 ⇔ 7t = 0 ⇔ t= 0 nên A( -1; 0; 1)
+ Gọi B là giao điểm của MN và( P)
Tọa độ B( 1-t; 2- t; 1+ t). Thay tọa độ điểm B vào phương trình (P) ta được:
1- t – 2( 2- t) + 1+ t= 0 ⇔ 2t – 2= 0
⇔ t= 1 nên B( 0; 1; 2)
+ Đường thẳng Δ chính là đường thẳng AB: đi qua A( -1; 0;1) và nhận vecto
làm vecto chỉ phương nên phương trình Δ:
Chọn A.
Ví dụ 7. Trong không gian với hệ tọa độ Oxyz; cho các điểm A( 1; 1;1); B(0;1; 2); C( 2; 1; 2). Viết phương trình đường thẳng d nằm trong mặt phẳng (P): x+ y- 2z- 3= 0 đồng thời cắt hai đường thẳng AB và OC?
A.
B.
C.
D. Không có phương trình chính tắc
Lời giải:
+ Phương trình đường thẳng AB: đi qua A( 1; 1; 1) vecto chỉ phương
=> Phương trình AB:
+ gọi giao điểm của AB và mặt phẳng (P) là M( 1-t; 1; 1+ t) thay vào phương trình mặt phẳng (P) ta được: 1- t + 1- 2( 1+ t) – 3= 0 ⇔ 1- t + 1- 2- 2t- 3= 0 ⇔ - 3t – 3= 0 ⇔ t= -1
Suy ra M( 2; 1; 0).
+ Phương trình đường thẳng OC : đi qua O(0; 0;0) và có vecto chỉ phương
nên phương trình OC là:
+ gọi giao điểm của OC và ( P) là N( 2t; t; 2t) thay vào phương trình (P) ta được : 2t + t – 2.2t – 3= 0 ⇔ - t- 3= 0 ⇔ t= - 3 nên N( -6; -3; - 6)
+ Đường thẳng d cần tìm chính là đường thẳng MN đi qua M( 2; 1; 0) và nhận vecto
làm vecto chỉ phương
=> Phương trình đường thẳng d là:
Chọn A.
Ví dụ 8: Trong không gian với hệ tọa độ Oxyz; cho điểm A( 1; 2; 4); B(-3; -2; 2) và
C( 1; -2; -1). Đường thẳng d nằm trong mặt phẳng (P): - 2x+ y+z-5= 0 đồng thời cắt đường thẳng AB và CO tại M và N . Tìm tọa độ vecto
?
A. ( 1; 2; - 3)
B. ( 0; 2; -2)
C. (0; -2; 2)
D. Đáp án khác
Lời giải:
+ Viết phương trình đường thẳng AB: đi qua A( 1; 2; 4) và nhận vecto
làm vecto chỉ phương
=> Phương trình AB:
Gọi giao điểm của đường thẳng AB và mặt phẳng (P) là M( 1+ 2t; 2+ 2t; 4+t).
Thay tọa độ điểm M vào phương trình ( P) ta được :
- 2( 1+ 2t) + 2+ 2t+ 4+ t – 5= 0
⇔ - 2- 4t + 2+ 2t +4+ t- 5= 0
⇔ - t – 1= 0 ⇔ t= -1 nên M( - 1; 0; 3) .
+ Viết phương trình đường thẳng OC: đi qua O(0; 0; 0) và nhận vecto
làm vecto chỉ phương
=> Phương trình đường thẳng OC:
Gọi giao điểm của đường thẳng OC và (P) là N( t; - 2t; - t) thay vào phương trình (P) ta được : - 2t+ (-2t)+ (-t) – 5= 0 ⇔ - 5t – 5= 0 ⇔ t= - 1 nên N( -1; 2; 1)
=>
Chọn B.
C. Bài tập vận dụng
Câu 1:
Viết phương trình của đường thẳng d nằm trong mặt phẳng (P):x- 2y = 0 và cắt
hai đường thẳng
A.
B.
C.
D. Đáp án khác
Lời giải:
- Giao điểm A của d1 và (P) có tọa độ ( t; t; 2- t)
Thay vào phương trình mặt phẳng (P) có: t- 2t = 0 ⇔ t = 0 => A ( 0; 0; 2)
- Giao điểm B của d2 và (P) có tọa độ ( 2 – t’; 3; 2t)
Thay vào phương trình mặt phẳng (P) có: 2- t’- 2.3 = 0 ⇔ t’ = - 4 => B (6; 3; - 8)
- Ta có:
Vậy phương trình của d là :
Chọn C.
Câu 2:
Viết phương trình của đường thẳng d nằm trong mặt phẳng (P): x +2y – 2z + 3 =
0 và cắt hai đường thẳng
A.
B.
C.
D.
Lời giải:
- Giao điểm A của d1 và (P) có tọa độ (- t; -1+2t;1+t)
Thay tọa độ A vào phương trình (P) có: - t+ 2( - 1+ 2t) – 2( 1+ t)+ 3= 0 ⇔ - t- 2 + 4t – 2- 2t + 3= 0 ⇔ t – 1= 0 ⇔ t= 1 nên A ( - 1; 1; 2).
- Giao điểm B của d2 và (P) có tọa độ (-t;t; -1-2t)
Thay tọa độ điểm B vào phương trình (P) Có:
- t+ 2t – 2( -1- 2t) + 3= 0
⇔ - t + 2t + 2+ 4t + 3= 0
⇔ 5t + 5= 0 ⇔ t= -1 nên B(1; -1; 1)
-Ta có
Vậy phương trình của d là :
Chọn D
Câu 3:
Trong không gian với hệ tọa độ Oxyz; cho hai đường thẳng
. Mặt phẳng ( P) cắt các trục tọa độ lần lượt tại
A(1; 0; 0); B( 0; 2; 0) và C( 0; 0; 2). Đường thẳng d nằm trong (P)và cắt hai đường thẳng d1; d2 lần lượt tại M và N. Tính MN?
A. 8
B.
C.
D.
Lời giải:
+Phương trình đoạn chắn của mặt phẳng (P) là:
⇔ (P): 2x+ y + z- 2= 0
+ Gọi M là giao điểm của d1 và( P)
Tọa độ M( -t; 1- t; 1+ 2t). Thay tọa độ điểm M vào phương trình (P) ta được:
2( -t) + ( 1- t) + ( 1+ 2t) – 2= 0
⇔ - 2t + 1- t + 1+ 2t – 2= 0
⇔ - t = 0 ⇔ t= 0 nên M( 0; 1; 1) .
+ Gọi N là giao điểm của d2 và( P)
Tọa độ N( 1; 3+ t; -2- 2t). Thay tọa độ điểm N vào phương trình (P) ta được:
2. 1+ 3+ t – 2- 2t – 2= 0
⇔ -t + 1= 0 ⇔ t= 1 nên N( 1; 4;- 4)
=> Độ dài
Chọn B
Câu 4:
Trong không gian với hệ toạ độ Oxyz, cho hai đường thẳng
. Biết đường thẳng Δ nằm trên mặt phẳng (Oxy)
và cắt hai đường thẳng d1; d2. Phương trình Δ là
A.
B.
C.
D.
Lời giải:
+ Mặt phẳng ( Oxy) có phương trình z= 0
+ Gọi giao điểm của d1 và mp( Oxy) là A( 2t; - 2- t; t) thay vào phương trình (Oxy) ta được : t= 0
=> tọa độ A( 0; - 2; 0) .
+ Gọi giao điểm của d2 và mp( Oxy) là B( 2- 2t; t; -2- 2t) thay vào phương trình ( Oxy) ta được : - 2- 2t= 0 ⇔ t= - 1 nên B( 4; - 1; 0)
+ Đường thẳng cần tìm chính là đường thẳng AB: đi qua A( 0; -2; 0) và nhận vecto
làm vecto chỉ phương
=> Phương trình đường thẳng AB:
Chọn C.
Câu 5:
Trong không gian với hệ tọa độ Oxyz; cho hai đường thẳng
. Mặt phẳng (P) song song với mp( Q): x- 2y- 2z= 0
và đi qua điểm
I( 1; 1; 1). Đường thẳng d nằm trong (P) và cắt hai đường thẳng d1; d2 .Tìm một vecto chỉ phương của đường thẳng d?
A.(- 4; -15;13)
B. ( - 4; 12; - 13)
C. ( 4;- 13; 15)
D. (- 2; 4; - 7)
Lời giải:
+ Viết phương trình mặt phẳng (P):
Do mp(P) song song với mặt phẳng (Q) nên phương trình mặt phẳng (P) có dạng: x- 2y- 2z + D= 0
Do điểm I( 1; 1; 1) thuộc mặt phẳng ( P) nên thay tọa độ điểm I vào ta được : 1- 2.1- 2. 1+ D= 0 ⇔ D= 3
Vậy phương trình mp (P): x- 2y - 2z + 3= 0
+ Gọi A là giao điểm của d2 và( P)
Tọa độ A( 1- t; - 2t; t). Thay tọa độ điểm A vào phương trình (P) ta được: 1- t – 2(-2t ) - 2t + 3 =0 ⇔ t= -4
=> Tọa độ A( 5; 8; - 4)
+ Gọi B là giao điểm của d1 và( P)
Tọa độ B( 1; -2+ t; -1- 2t). Thay tọa độ điểm B vào phương trình (P) ta được:
1 - 2( - 2+ t) – 2( - 1- 2t) + 3= 0
⇔ 1+ 4- 2t + 2+ 4t + 3= 0
⇔ 2t + 10= 0 ⇔ t= - 5
=> Tọa độ B( 1; - 7; 9 )
+ Đường thẳng d nhận vecto
làm vecto chỉ phương
Chọn A.
Câu 6:
Trong không gian với hệ tọa độ Oxyz; cho hai điểm M(1; 1; 1); N(2; -3;1) và
đường thẳng
Viết phương trình đường thẳng Δ nằm trong mặt phẳng
(P): 2x+y+ 2 z = 0 cắt đường thẳng d và MN?
A.
B.
C.
D. Đáp án khác
Lời giải:
+ Phương trình đường thẳng MN:
Đường thẳng MN đi qua M(1; 1;1) và có vecto chỉ phương
nên có phương
trình:
+ Gọi A là giao điểm của d và( P)
Tọa độ A ( - t; 2t; 1+ t). Thay tọa độ điểm A vào phương trình (P) ta được:
2( - t) + 2t +2( 1+ t) = 0
⇔ - 2t + 2t + 2+ 2t= 0
⇔ t= - 1 nên A( 1; - 2; 0)
+ Gọi B là giao điểm của MN và( P)
Tọa độ B( 1+ t;1- 4t;1 ). Thay tọa độ điểm B vào phương trình (P) ta được:
2( 1+ t) + ( 1- 4t) + 2= 0
⇔
+ Đường thẳng Δ chính là đường thẳng AB: đi qua A(1; -2; 0) và nhận vecto
làm vecto chỉ phương nên phương trình
Chọn A.
Câu 7:
Trong không gian với hệ tọa độ Oxyz; cho các điểm A( 2; 1; 1); B( 2; 1; 0); C(1; 0; - 2). Viết phương trình đường thẳng d nằm trong mặt phẳng (P): x+ y+ z- 2= 0 đồng thời cắt hai đường thẳng AB và OC?
A.
B.
C.
D.
Lời giải:
+ Phương trình đường thẳng AB: đi qua A(2;1;1) vecto chỉ phương
=> Phương trình AB:
+ gọi giao điểm của AB và mặt phẳng (P) là M(2;1; 1- t) thay vào phương trình mặt phẳng (P) ta được: 2+ 1+1- t – 2= 0 ⇔ t= 2
=> Tọa độ M(2;1; -1)
+ Phương trình đường thẳng OC: đi qua O(0; 0;0) và có vecto chỉ phương
nên phương trình OC là:
+ gọi giao điểm của OC và ( P) là N(t; 0; -2t) thay vào phương trình (P) ta được : t+ 0 + (-2t) – 2 = 0 ⇔ t= - 2
=> tọa độ N( - 2; 0; 4)
+ Đường thẳng d cần tìm chính là đường thẳng MN đi qua M( 2; 1; - 1) và nhận vecto
làm vecto chỉ phương
=> Phương trình đường thẳng d là:
Chọn D .
Câu 8:
Trong không gian với hệ tọa độ Oxyz; cho điểm A( - 2; 0; 1); B( - 1; 1; 2) và
Đường thẳng
. Đường thẳng d nằm trong mặt phẳng (P): - 3x+ y+ z- 1= 0
đồng thời cắt đường thẳng AB và Δ tại M và N . Tìm tọa độ vecto
?
A.
B.
C. (0; 2;- 4)
D. Đáp án khác
Lời giải:
+ Viết phương trình đường thẳng AB: đi qua A( - 2; 0; 1) và nhận vecto
làm vecto chỉ phương
=> Phương trình AB:
Gọi giao điểm của đường thẳng AB và mặt phẳng (P) là M( - 2+ t; t; 1+ t).
Thay tọa độ điểm M vào phương trình ( P) ta được :
- 3( - 2+ t) + t + 1+ t – 1= 0
⇔ t= 6 nên M( 4; 6; 7)
+ Gọi giao điểm của đường thẳng d và (P) là N(1- t;2; 2t ) thay vào phương trình (P) ta được : - 3( 1- t) + t + 1+ t – 1= 0
⇔ - 3+ 3t + 2t= 0
⇔
=>
Chọn B.
Bài giảng: Cách viết phương trình đường thẳng nâng cao - Cô Nguyễn Phương Anh (Giáo viên VietJack)
(199k) Xem Khóa học Toán 12 KNTTXem Khóa học Toán 12 CDXem Khóa học Toán 12 CTST
Xem thêm các dạng bài tập Toán lớp 12 ôn thi Tốt nghiệp có lời giải hay khác:
- Viết phương trình đường thẳng đi qua 1 điểm, cắt và vuông góc với đường thẳng
- Viết phương trình đường thẳng song song với đường thẳng và cắt 2 đường thẳng
- Viết phương trình đường vuông góc chung của hai đường thẳng chéo nhau
- Viết phương trình đường thẳng là hình chiếu của đường thẳng lên mặt phẳng
- Vị trí tương đối của hai đường thẳng trong không gian
Đã có app VietJack trên điện thoại, giải bài tập SGK, SBT Soạn văn, Văn mẫu, Thi online, Bài giảng....miễn phí. Tải ngay ứng dụng trên Android và iOS.
Theo dõi chúng tôi miễn phí trên mạng xã hội facebook và youtube:Nếu thấy hay, hãy động viên và chia sẻ nhé! Các bình luận không phù hợp với nội quy bình luận trang web sẽ bị cấm bình luận vĩnh viễn.
- Giải Tiếng Anh 12 Global Success
- Giải sgk Tiếng Anh 12 Smart World
- Giải sgk Tiếng Anh 12 Friends Global
- Lớp 12 Kết nối tri thức
- Soạn văn 12 (hay nhất) - KNTT
- Soạn văn 12 (ngắn nhất) - KNTT
- Giải sgk Toán 12 - KNTT
- Giải sgk Vật Lí 12 - KNTT
- Giải sgk Hóa học 12 - KNTT
- Giải sgk Sinh học 12 - KNTT
- Giải sgk Lịch Sử 12 - KNTT
- Giải sgk Địa Lí 12 - KNTT
- Giải sgk Giáo dục KTPL 12 - KNTT
- Giải sgk Tin học 12 - KNTT
- Giải sgk Công nghệ 12 - KNTT
- Giải sgk Hoạt động trải nghiệm 12 - KNTT
- Giải sgk Giáo dục quốc phòng 12 - KNTT
- Giải sgk Âm nhạc 12 - KNTT
- Giải sgk Mĩ thuật 12 - KNTT
- Lớp 12 Chân trời sáng tạo
- Soạn văn 12 (hay nhất) - CTST
- Soạn văn 12 (ngắn nhất) - CTST
- Giải sgk Toán 12 - CTST
- Giải sgk Vật Lí 12 - CTST
- Giải sgk Hóa học 12 - CTST
- Giải sgk Sinh học 12 - CTST
- Giải sgk Lịch Sử 12 - CTST
- Giải sgk Địa Lí 12 - CTST
- Giải sgk Giáo dục KTPL 12 - CTST
- Giải sgk Tin học 12 - CTST
- Giải sgk Hoạt động trải nghiệm 12 - CTST
- Giải sgk Âm nhạc 12 - CTST
- Lớp 12 Cánh diều
- Soạn văn 12 Cánh diều (hay nhất)
- Soạn văn 12 Cánh diều (ngắn nhất)
- Giải sgk Toán 12 Cánh diều
- Giải sgk Vật Lí 12 - Cánh diều
- Giải sgk Hóa học 12 - Cánh diều
- Giải sgk Sinh học 12 - Cánh diều
- Giải sgk Lịch Sử 12 - Cánh diều
- Giải sgk Địa Lí 12 - Cánh diều
- Giải sgk Giáo dục KTPL 12 - Cánh diều
- Giải sgk Tin học 12 - Cánh diều
- Giải sgk Công nghệ 12 - Cánh diều
- Giải sgk Hoạt động trải nghiệm 12 - Cánh diều
- Giải sgk Giáo dục quốc phòng 12 - Cánh diều
- Giải sgk Âm nhạc 12 - Cánh diều


Giải bài tập SGK & SBT
Tài liệu giáo viên
Sách
Khóa học
Thi online
Hỏi đáp

