Viết phương trình đường vuông góc chung của hai đường thẳng chéo nhau
Bài viết Viết phương trình đường vuông góc chung của hai đường thẳng chéo nhau với phương pháp giải chi tiết giúp học sinh ôn tập, biết cách làm bài tập Viết phương trình đường vuông góc chung của hai đường thẳng chéo nhau.
- Cách giải bài tập Viết phương trình đường vuông góc chung của hai đường thẳng chéo nhau
- Ví dụ minh họa Viết phương trình đường vuông góc chung của hai đường thẳng chéo nhau
- Bài tập vận dụng Viết phương trình đường vuông góc chung của hai đường thẳng chéo nhau
- Bài tập tự luyện Viết phương trình đường vuông góc chung của hai đường thẳng chéo nhau
Viết phương trình đường vuông góc chung của hai đường thẳng chéo nhau
(199k) Xem Khóa học Toán 12 KNTTXem Khóa học Toán 12 CDXem Khóa học Toán 12 CTST
Bài giảng: Cách viết phương trình đường thẳng cơ bản - Cô Nguyễn Phương Anh (Giáo viên VietJack)
A. Phương pháp giải
Cách 1:
- Viết PT mặt phẳng (P) chứa d1 và song song với d2 - Viết PT mặt phẳng (Q) chứa d1 và vuông góc với (P) - Tìm giao điểm M = d1 ∩ (Q), pt đường thẳng vuông góc chung là đường thẳng đi qua M và vuông góc với (P)Cách 2:
Gọi M = d ∩ d1; N = d ∩ d2 Vì d là đường vuông góc chung nên
B. Ví dụ minh họa
Ví dụ: 1
Viết phương trình đường vuông góc chung của hai đường thẳng chéo nhau sau:
A.
B.
C.
D. Đáp án khác
Lời giải:
- Mặt phẳng (P) chứa d1 và song song với d2 có
Chọn 1 vectơ pháp tuyến của (P) là (6; 5; -4)
- Mặt phẳng (Q) chứa d1 và vuông góc với (P) có
=>
1 điểm thuộc d1 cũng thuộc (Q) là: (2; -1; 0)
Phương trình mặt phẳng (Q) là:
– 2.(x – 2) + 24.(y + 1) + 27.(z – 0) = 0 hay – 2x + 24y + 27z + 28 = 0
- Giao điểm M = d2 ∩ (Q) có tọa độ là (t; 2t + 1; 4t – 1) thỏa mãn:
– 2.t + 24(2t + 1) + 27(4t – 1) + 28 = 0 ⇔ t = -25/154
=>
Đường thẳng vuông góc chung là đường thẳng d đi qua M và vuông góc với (P) nên có vectơ chỉ phương là vectơ pháp tuyến của (P) : (6; 5; -4)
Chọn B.
Ví dụ: 2
Viết phương trình đường vuông góc chung của hai đường thẳng chéo nhau sau:
A.
B.
C.
D. Đáp án khác
Lời giải:
Gọi d là đường vuông góc chung của hai đường thẳng chéo nhau đã cho
M = d ∩ d1 => M (t; 5-2t; 14-3t)
N = d ∩ d2 => N (9-4t’; 3+t’; -1+5t’)
=>
Ta có :
Chọn 1 vectơ chỉ phương của đường vuông góc chung d là (1; -1; 1)
Vậy phương trình của d là:
Chọn A.
Ví dụ: 3
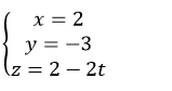
Trong không gian với hệ tọa độ cho hai đường thẳng
. Phương trình đường vuông góc chung của hai
đường thẳng d1; d2 là.
A.
B.
C.
D.
Lời giải:
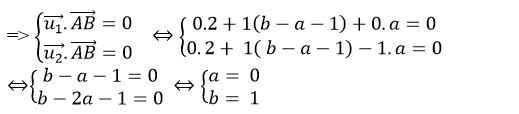
Gọi d là đường thẳng cần tìm
Gọi A = d ∩ d1; B = d ∩ d2
+ Do A thuộc d1 nên A( 2+a; 1- a; 2-a)
+ Do B thuộc d2 nên B( b; 3; - 2+ b)
+ Đường thẳng d1 có vectơ chỉ phương
+ Đường thẳng d2 có vectơ chỉ phương
+ Ta có:
=> A( 2; 1; 2) và B( 3; 3; 1)
+ Đường thẳng d đi qua điểm A ( 2; 1; 2) và có vectơ chỉ phương
Vậy phương trình của d là :
Chọn C.
Ví dụ: 4
Trong không gian với hệ tọa độ Oxyz; cho A( -1;1;0); B( 1;3;3); C( 1; 2; 1) và D( 1; 1; 1) . Đường thẳng d là đường vuông góc chung của AC và BD cắt AC và BD lần lượt tại M và N. Tìm M?
A. ( -3; 0; -1)
B. ( 1; 0; 1)
C. ( -1; 0; 2)
D. Đáp án khác
Lời giải:
+ Đường thẳng AC : Đi qua A( -1 ; 1 ; 0) và nhận vecto
làm vecto chỉ
phương nên có phương trình :
+ Đường thẳng BD : đi qua B( 1 ; 3 ; 3) và nhận vecto
làm vecto chỉ phương nên có phương trình :
+ M thuộc AC nên M( -1+ 2m;1+ m;m)
+ N thuộc BD nên N( 1; 3- 2n; 3- 2n)
+ Ta có đường thẳng MN vuông góc với AC và BD nên :
=> đường thẳng d cắt AC tại M( - 3; 0;-1)
Chọn A.
Ví dụ: 5
Trong không gian với hệ trục tọa độ Oxyz; cho ba điểm A(1; 2; 3); B(0;1 4) và C( - 1; -2; 1) . Gọi d là đường vuông góc chung của AB và OC. Tính độ dài đường vuông góc chung?
A. 2
B. 4
C.
D.
Lời giải:
+ Đường thẳng AB: Đi qua A( 1;2; 3) và nhận vecto
làm vecto chỉ
phương nên phương trình AB:
+ Đường thẳng OC: đi qua O( 0; 0 ; 0) và nhận vecto
làm vecto chỉ
phương nên phương trình OC:
+ Đường thẳng d là đường vuông góc chung của AB và OC. Gọi giao điểm của d với AB và OC lần lượt là M và N
+ Điểm M thuộc AB nên M( 1- m; 2- m; 3+ m)
+ Điểm N thuộc OC nên N(n; 2n; - n)
.
=> Đường thẳng MN vuông góc với hai đường thẳng AB và OC.
Chọn C.
Ví dụ: 6
Trong không gian với hệ trục Oxyz; cho các điểm A( 1; 1; 1) và B( -2; 1; 0). Đường thẳng d là đường thẳng vuông góc và cắt cả hai đường thẳng AB và trục Ox. Tìm một vecto chỉ phương của đường thẳng d?
A. ( 0; 1; 1)
B. ( -2; 0; 1)
C. ( 0;0; 1)
D. ( 0; 1; 0)
Lời giải:
+ Đường thẳng AB có vectoc chỉ phương
+ Trục Ox có vecto chỉ phương là
+ Do đường thẳng d vuông góc với AB và Ox nên một vecto chỉ phương của đường
thẳng d là:
+ Lại có vecto
cùng phương với vecto u→ nên u'→ cũng là một vecto chỉ
phương của d.
Chọn D.
Ví dụ: 7
Trong không gian với hệ tọa độ Oxyz; cho đường thẳng
. Đường thẳng Δ cắt và vuông góc với hai đường thẳng d và trục Oz tại A và B. Tìm tọa độ trung điểm của AB?
A. ( 0;1; - 1)
B. ( 2; -1; 2)
C. ( -2; 1; 0)
D. ( 0; 2; 2)
Lời giải:
+ Trục Oz: đi qua gốc tọa độ O(0; 0; 0) và nhận vecto
làm vecto chỉ
phương
=> Phương trình Oz:
+ Đường thẳng d có vecto chỉ phương
+ Điểm A thuộc d nên A( 1+ a; 2; a) .
+ Điểm B thuộc Oz nên B( 0; 0; b)
+ Đường thẳng Δ đi qua hai điểm A và B nên đường thẳng này nhận vecto
làm vecto chỉ phương
+ Do đường thẳng Δ vuông góc với cả hai đường thẳng d và Oz nên :
=> Tọa độ hai điểm A(0; 2; - 1) và B( 0; 0; -1)
=>Tọa độ trung điểm của AB là M( 0; 1; - 1)
Chọn A.
Ví dụ: 8
Cho hai đường thẳng
. Đường thẳng d cắt và vuông góc với cả hai đường thẳng d1 và d2. Viết phương trình đường thẳng d?
A.
B.
C.
D. Đáp án khác
Lời giải:
+ Đường thẳng d1 và d2 có vecto chỉ phương lần lượt là:
.
+ Gọi giao điểm của d với hai đường thẳng d1 và d2 lần lượt là A và B.
+ Điểm A thuộc d1 nên A( 1; a; 1-a) .
+ Điểm B thuộc d2 nên B( 2+ b; 1- b; 2)
+ Ta có đường thẳng AB vuông góc với cả hai đường thẳng d1 và d2 nên :
=> Phương trình d:
Chọn B.
C. Bài tập vận dụng
Câu 1:
Viết phương trình đường vuông góc chung của hai đường thẳng chéo nhau sau:
A.
B.
C.
D. Tất cả sai
Lời giải:
Gọi d là đường thẳng cần tìm.
+ Hai đường thẳng d1; d2 có vecto chỉ phương lần lượt là :
+ Gọi giao điểm của d với 2 đường thẳng đã cho lần lượt là A và B.
+ Điểm A thuộc d1 nên A( a; - 2a; a)
+ Điểm B thuộc d2 nên B( - 1+ 2b; 1 + 2b; -1+ b)
+ ta có đường thẳng d vuông góc với hai đường thẳng đã cho nên :
=> Phương trình d:
Chọn C.
Câu 2:
Viết phương trình đường vuông góc chung của hai đường thẳng chéo nhau sau:
A.
B.
C.
D. Đáp án khác
Lời giải:
+Gọi d là đường vuông góc chung của hai đường thẳng chéo nhau đã cho
Gọi M = d ∩ d1 => M ( m; - 2; 1- m) và N = d ∩ d2 => N ( 2; -1+n; -1+ n)
+ Hai đường thẳng d1 và d2 có vecto chỉ phương lần lượt là :
Ta có
Chọn 1 vectơ chỉ phương của đường vuông góc chung d là (1; -1; 1)
Vậy phương trình của d là:
Chọn B.
Câu 3:
Trong không gian với hệ tọa độ Oxyz; cho hai đường thẳng
. Đường vuông góc chung của hai đường thẳng d1;
d2 cắt hai đường thẳng d1; d2 lần lượt tại A và B. Biết B( m; n; p). Tính m+ n- p?
A. – 2
B. 4
C. 0
D. - 3
Lời giải:
Gọi d là đường thẳng cần tìm.
Gọi A = d ∩ d1; B = d ∩ d2
+ Do A thuộc d1 nên A( 2a; 1+ a; - a)
+ Do B thuộc d2 nên B( 1- b; - 2; 2- b)
+ Đường thẳng d1 có vectơ chỉ phương
+ Đường thẳng d2 có vectơ chỉ phương
+ Ta có:
Chọn D.
Câu 4:
Trong không gian với hệ tọa độ Oxyz; cho A(- 2; 1; 3); B( 1;2; 1); C(0; 0; 2) và D(2; 3; 1) . Đường thẳng d là đường vuông góc chung của AC và BD cắt AC và BD lần lượt tại M và N. Tìm M?
A.
B.
C.
D. Đáp án khác
Lời giải:
+ Đường thẳng AC : Đi qua A( -2; 1; 3) và nhận vecto
làm vecto chỉ
phương nên có phương trình :
+ Đường thẳng BD : đi qua B( 1; 2; 1) và nhận vecto
làm vecto chỉ phương
nên có phương trình :
+ M thuộc AC nên M( - 2+ 2m; 1-m; 3- m)
+ N thuộc BD nên N( 1+ n; 2+ n; 1)
+ Ta có đường thẳng d vuông góc với AC và BD nên :
Chọn A.
Câu 5:
Trong không gian với hệ trục tọa độ Oxyz; cho ba điểm A(0; -1; 2); B( -1; 0; 1) và C(1;2 ; -1 ) . Gọi d là đường vuông góc chung của AB và OC. Độ dài đường vuông góc chung gần với số nào nhất?
A. 1
B.2
C. 3
D. 4
Lời giải:
+ Đường thẳng AB: Đi qua A( 0; -1; 2) và nhận vecto
làm vecto chỉ
phương nên phương trình AB:
+ Đường thẳng OC: đi qua O( 0; 0 ; 0) và nhận vecto
làm vecto chỉ
phương nên phương trình OC:
+ Đường thẳng d là đường vuông góc chung của AB và OC. Gọi giao điểm của d với AB và OC lần lượt là M và N
+ Điểm M thuộc AB nên M( - m; - 1+ m; 2- m)
+ Điểm N thuộc OC nên N(n; 2n; - n)
.
=> Đường thẳng MN vuông góc với hai đường thẳng AB và OC.
Chọn A.
Câu 6:
Trong không gian với hệ trục Oxyz; cho các điểm A(-1; 0; 1) và B( 0;1;2). Đường thẳng d là đường thẳng vuông góc và cắt cả hai đường thẳng AB và trục Oy. Tìm một vecto chỉ phương của đường thẳng d?
A. ( 0; 1; 1)
B. ( -1; 0; 1)
C. ( 0;0; 1)
D. ( 0; 1; 0)
Lời giải:
+ Đường thẳng AB có vectoc chỉ phương
+ Trục Oy có vecto chỉ phương là
+ Do đường thẳng d vuông góc với AB và Oy nên một vecto chỉ phương của đường
thẳng d là:
Chọn B.
Câu 7:
Trong không gian với hệ tọa độ Oxyz; cho đường thẳng
. Đường thẳng Δ cắt và vuông góc với hai đường thẳng d và trục Oy tại A và B. Tìm tọa độ
trung điểm của AB?
A. ( -1; 1; 0)
B. ( 2; -1; 2)
C. ( -2; 1; 0)
D. ( 0; 2; 2)
Lời giải:
+ Trục Oy: đi qua gốc tọa độ O(0; 0; 0) và nhận vecto
làm vecto chỉ phương
=> Phương trình Oy:
+ Đường thẳng d có vecto chỉ phương
+ Điểm A thuộc d nên A( -2; 1+ a; - a) .
+ Điểm B thuộc Oy nên B( 0;b; 0)
+ Đường thẳng Δ đi qua hai điểm A và B nên đường thẳng này nhận vecto
làm vecto chỉ phương
+ Do đường thẳng Δ vuông góc với cả hai đường thẳng d và Oy nên :
=> Tọa độ hai điểm A( -2; 1; 0) và B( 0; 1; 0)
=>Tọa độ trung điểm của AB là M( -1; 1; 0)
Chọn A.
Câu 8:
Cho hai đường thẳng
Đường thẳng d cắt và
vuông góc với cả hai đường thẳng d1 và d. Viết phương trình đường thẳng d?
A.
B.
C.
D. Đáp án khác
Lời giải:
+ Đường thẳng d1 và d2 có vecto chỉ phương lần lượt là:
.
+ Gọi giao điểm của d với hai đường thẳng d1 và d2 lần lượt là A và B.
+ Điểm A thuộc d1 nên A( a; - 1- a; 2) .
+ Điểm B thuộc d2 nên B( 2; 1+ b; 0)
+ Ta có đường thẳng AB vuông góc với cả hai đường thẳng d1 và d2 nên :
=> Phương trình d:
Chọn C.
D. Bài tập tự luyện
Bài 1. Trong không gian Oxyz, viết phương trình đường vuông góc chung của đường thẳng (d): và (d’): .
Bài 2. Trong không gian Oxyz, viết phương trình đường vuông góc chung của hai đường thẳng chéo nhau d1 và d2 biết: (d1): và (d2): .
Bài 3. Trong không gian Oxyz, cho hai đường thẳng (d1): và (d2): . Viết phương trình đường vuông góc chung của d1 và d2.
Bài 4. Trong không gian với hệ tọa độ Oxyz, phương trình đường vuông góc chung của hai đường thẳng chéo nhau d: và d′: .
Bài 5. Trong không gian với hệ tọa độ Oxyz; cho A(- 2; 1; 3); B( 1;2; 1); C(0; 0; 2) và D(2; 3; 1) . Đường thẳng d là đường vuông góc chung của AC và BD cắt AC và BD lần lượt tại E và F. Tìm E?
Bài 6. Viết phương trình đường vuông góc chung của hai đường thẳng chéo nhau d1 và d2 biết: d1: và d2: .
Bài 7. Viết phương trình đường vuông góc chung của hai đường thẳng chéo nhau d1 và d2 biết d1: và d2: .
Bài 8. Trong không gian Oxyz cho 2 đường thẳng chéo nhau d1: và d2: . Viết phương trình đường thẳng (d) vuông góc với d1 và d2.
Bài 9. Viết phương trình đường vuông góc chung của hai đường thẳng chéo nhau d1 và d2 biết d1: và d2: .
Bài 10. Trong không gian Oxyz, viết phương trình đường vuông góc chung của hai đường thẳng chéo nhau d1: và d2: .
Bài giảng: Cách viết phương trình đường thẳng nâng cao - Cô Nguyễn Phương Anh (Giáo viên VietJack)
(199k) Xem Khóa học Toán 12 KNTTXem Khóa học Toán 12 CDXem Khóa học Toán 12 CTST
Xem thêm các dạng bài tập Toán lớp 12 ôn thi Tốt nghiệp có lời giải hay khác:
- Viết phương trình đường thẳng đi qua 1 điểm, cắt và vuông góc với đường thẳng
- Viết phương trình đường thẳng nằm trong mặt phẳng và cắt hai đường thẳng
- Viết phương trình đường thẳng song song với đường thẳng và cắt 2 đường thẳng
- Viết phương trình đường thẳng là hình chiếu của đường thẳng lên mặt phẳng
- Vị trí tương đối của hai đường thẳng trong không gian
Đã có app VietJack trên điện thoại, giải bài tập SGK, SBT Soạn văn, Văn mẫu, Thi online, Bài giảng....miễn phí. Tải ngay ứng dụng trên Android và iOS.
Theo dõi chúng tôi miễn phí trên mạng xã hội facebook và youtube:Nếu thấy hay, hãy động viên và chia sẻ nhé! Các bình luận không phù hợp với nội quy bình luận trang web sẽ bị cấm bình luận vĩnh viễn.
- Giải Tiếng Anh 12 Global Success
- Giải sgk Tiếng Anh 12 Smart World
- Giải sgk Tiếng Anh 12 Friends Global
- Lớp 12 Kết nối tri thức
- Soạn văn 12 (hay nhất) - KNTT
- Soạn văn 12 (ngắn nhất) - KNTT
- Giải sgk Toán 12 - KNTT
- Giải sgk Vật Lí 12 - KNTT
- Giải sgk Hóa học 12 - KNTT
- Giải sgk Sinh học 12 - KNTT
- Giải sgk Lịch Sử 12 - KNTT
- Giải sgk Địa Lí 12 - KNTT
- Giải sgk Giáo dục KTPL 12 - KNTT
- Giải sgk Tin học 12 - KNTT
- Giải sgk Công nghệ 12 - KNTT
- Giải sgk Hoạt động trải nghiệm 12 - KNTT
- Giải sgk Giáo dục quốc phòng 12 - KNTT
- Giải sgk Âm nhạc 12 - KNTT
- Giải sgk Mĩ thuật 12 - KNTT
- Lớp 12 Chân trời sáng tạo
- Soạn văn 12 (hay nhất) - CTST
- Soạn văn 12 (ngắn nhất) - CTST
- Giải sgk Toán 12 - CTST
- Giải sgk Vật Lí 12 - CTST
- Giải sgk Hóa học 12 - CTST
- Giải sgk Sinh học 12 - CTST
- Giải sgk Lịch Sử 12 - CTST
- Giải sgk Địa Lí 12 - CTST
- Giải sgk Giáo dục KTPL 12 - CTST
- Giải sgk Tin học 12 - CTST
- Giải sgk Hoạt động trải nghiệm 12 - CTST
- Giải sgk Âm nhạc 12 - CTST
- Lớp 12 Cánh diều
- Soạn văn 12 Cánh diều (hay nhất)
- Soạn văn 12 Cánh diều (ngắn nhất)
- Giải sgk Toán 12 Cánh diều
- Giải sgk Vật Lí 12 - Cánh diều
- Giải sgk Hóa học 12 - Cánh diều
- Giải sgk Sinh học 12 - Cánh diều
- Giải sgk Lịch Sử 12 - Cánh diều
- Giải sgk Địa Lí 12 - Cánh diều
- Giải sgk Giáo dục KTPL 12 - Cánh diều
- Giải sgk Tin học 12 - Cánh diều
- Giải sgk Công nghệ 12 - Cánh diều
- Giải sgk Hoạt động trải nghiệm 12 - Cánh diều
- Giải sgk Giáo dục quốc phòng 12 - Cánh diều
- Giải sgk Âm nhạc 12 - Cánh diều


Giải bài tập SGK & SBT
Tài liệu giáo viên
Sách
Khóa học
Thi online
Hỏi đáp

