Viết phương trình đường thẳng là hình chiếu của đường thẳng lên mặt phẳng
Bài viết Viết phương trình đường thẳng là hình chiếu của đường thẳng lên mặt phẳng với phương pháp giải chi tiết giúp học sinh ôn tập, biết cách làm bài tập Viết phương trình đường thẳng là hình chiếu của đường thẳng lên mặt phẳng.
- Cách giải bài tập Viết phương trình đường thẳng là hình chiếu của đường thẳng lên mặt phẳng
- Ví dụ minh họa Viết phương trình đường thẳng là hình chiếu của đường thẳng lên mặt phẳng
- Bài tập vận dụng Viết phương trình đường thẳng là hình chiếu của đường thẳng lên mặt phẳng
- Bài tập tự luyện Viết phương trình đường thẳng là hình chiếu của đường thẳng lên mặt phẳng
Viết phương trình đường thẳng là hình chiếu của đường thẳng lên mặt phẳng
(199k) Xem Khóa học Toán 12 KNTTXem Khóa học Toán 12 CDXem Khóa học Toán 12 CTST
Bài giảng: Cách viết phương trình đường thẳng cơ bản - Cô Nguyễn Phương Anh (Giáo viên VietJack)
A. Phương pháp giải
- Viết phương trình mặt phẳng (Q) chứa d’ và vuông góc với mặt phẳng (P)
- Hình chiếu cần tìm d = (P) ∩ (Q)
B. Ví dụ minh họa
Ví dụ: 1
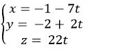
Viết phương trình đường thẳng d là hình chiếu của d’ trên (P) biết:
A.
B.
C.
D.
Lời giải:
+ Đường thẳng d’ có vecto chỉ phương
Mặt phẳng ( P) có vecto pháp tuyến là:
- Mặt phẳng (Q) chứa d’ và vuông góc với (P) có
1 điểm thuộc d’ cũng thuộc (Q) là: (1; 2; -1)
Phương trình mặt phẳng (Q) là:
1.(x – 1) + 0.(y - 2) – 1.(z + 1) = 0 hay x – z – 2 = 0
- Hình chiếu cần tìm d = (P) ∩ (Q)
Tọa độ của điểm M (x; y; z) thuộc d thỏa mãn:
Vậy phương trình của d là:
Chọn A.
Ví dụ: 2
Viết phương trình đường thẳng là hình chiếu của d trên (Oxy) biết :
A.
B.
C.
D. Đáp án khác
Lời giải:
Mỗi điểm M (x; y; z) thuộc d có hình chiếu trên (Oxy) là điểm M’ (x; y; 0) thuộc d’ với d’ là hình chiếu của d trên (Oxy)
Vậy d’ có phương trình tham số là:
Chọn C.
Ví dụ: 3
Trong không gian với hệ tọa độ Oxyz; cho đường thẳng
và mặt thẳng (P): 3x+ 5y – z- 2= 0 . Gọi d’ là hình chiếu của d lên (P). Phương trình tham số của d’ là
A.
B.
C.
D. Đáp án khác
Lời giải:
+ Gọi mặt phẳng (Q) chứa d và vuông góc với (P).
Đường thẳng d đi qua điểm B( 12; 9; 1) và có vectơ chỉ phương
Mặt phẳng (P) có vectơ pháp tuyến
=> Mặt phẳng ( Q) qua B( 12; 9; 1) có vectơ pháp tuyến
=> Phương trình (Q): - 8( x- 12) + 7( y- 9) + 11(z- 1) = 0
Hay – 8x + 7y + 11z + 22= 0
+ Đường thẳng d’ cần tìm là giao tuyến của (P) và (Q).
Tìm một điểm thuộc d’, bằng cách cho y= 0
Ta có hệ :
=> M( 0; 0; - 2)∈ d
+ Đường thẳng d’ đi qua điểm M( 0; 0; - 2) và có vectơ chỉ phương
Vậy phương trình tham số của d’ là:
Chọn B.
Ví dụ: 4
Trong không gian với hệ tọa độ Oxyz; cho hai điểm A( 1; 1; -2) và B(0; 2; -2). Cho mặt phẳng ( P): x+ y- 2z- 6= 0. Viết phương trình đường thẳng d là hình chiếu của đường thẳng AB lên mặt phẳng ( P)?
A.
B.
C.
D. Tất cả sai
Lời giải:
+ Thay tọa độ điểm A và B vào phương trình mặt phẳng ( P) ta được :
1+ 1- 2.(-2) – 6 = 0 ( thỏa mãn).
Và 0+ 2- 2( -2) – 6= 0 ( thỏa mãn) .
=> Hai điểm A và B cùng thuộc mặt phẳng (P).
Suy ra; mặt phẳng (P) chứa đường thẳng AB.
=> Hình chiếu của đường thẳng AB lên mặt phẳng (P) là chính nó.
+ Đường thẳng AB: đi qua A( 1; 1; -2) và nhận vecto
=> Phương trình AB:
Chọn C.
Ví dụ: 5
Trong không gian với hệ tọa độ Oxyz; cho hai điểm A( -1; 2; 0) và B( 0; 1; 1). Mặt phẳng (P): 3x+ y- z + 6= 0. Viết phương trình đường thẳng d là hình chiếu của đường thẳng AB trên mặt phẳng ( P)?
A.
B.
C.
D. Đáp án khác
Lời giải:
+ Gọi mặt phẳng (Q) chứa AB và vuông góc với (P).
Đường thẳng AB đi qua A( -1; 2;0) và có vectơ chỉ phương
.
Mặt phẳng (P) có vectơ pháp tuyến
=> Mặt phẳng ( Q) qua A( - 1; 2; 0) có vectơ pháp tuyến
chọn vecto
=> Phuong trình (Q): 0( x+ 1) + 1( y- 2) + 1( z- 0) = 0 Hay y+ z - 2= 0
+ Đường thẳng d cần tìm là giao tuyến của (P) và (Q). Suy ra mỗi điểm M( x; y; z) thuộc
d thì thỏa mãn :
Tìm một điểm thuộc d, bằng cách cho x= 0
Ta có hệ:
=> M( 0;-2; 4) ∈d
+ Đường thẳng d’ đi qua điểm M( 0; - 2; 4) và có vectơ chỉ phương
Vậy phương trình tham số của d’ là:
Chọn A.
Ví dụ: 6
Trong không gian với hệ tọa độ Oxyz; cho mặt phẳng (P) đi qua ba điểm
A( 1; 0;0); B( 0; 1; 0) và C( 0; 0;1). Đường thẳng
. Gọi đường thẳng Δ là hình chiếu của d lên mặt phẳng (P). Trong các điểm sau điểm nào thuộc Δ?
A. ( 1; 2; -1)
B. ( 2; - 3; - 2)
C. (- 1; 3; -1)
D. ( 0; - 1; 0)
Lời giải:
+ Đường thẳng d có vecto chỉ phương
+ Phương trình mặt phẳng
hay x+ y+ z- 1= 0
+ Gọi (Q) là mặt phẳng chứa đường thẳng d và vuông góc với mặt phẳng (P)
=> Mặt phẳng (Q) đi qua điểm B(0; 1; 0) thuộc d và nhận vecto
làm vecto pháp tuyến chọn
=> Phương trình mặt phẳng ( Q): 1(x- 0) + 0( y- 1) – 1( z- 0) = 0
Hay ( Q): x- z= 0
+ đường thẳng Δ cần tìm là giao tuyến của hai mặt phẳng (P) và (Q). Do đó: với mỗi
điểm M(x;y;z) thuộc Δ phải thỏa mãn:
Đặt x= t =>
=> Phương trình tham số của đường thẳng Δ:
+cho t= - 1 ta được điểm H( -1;3; -1) thuộc đường thẳng Δ.
Chọn C
Ví dụ: 7
Trong không gian với hệ tọa độ Oxyz; cho đường thẳng
; mặt phẳng (P) đi qua H(1;1;1)và song song với mặt phẳng ( Q): x-2y+ z- 2= 0. Viết phương trình đường thẳng Δ là hình chiếu của d lên mặt phẳng (P)?
A.
B.
C.
D.
Lời giải:
+ Mặt phẳng ( P) song song với mặt phẳng ( Q) nên phương trình mặt phẳng ( P) có dạng: x- 2y + z+ D= 0
Mà điểm H( 1; 1; 1) thuộc (P) nên : 1- 2. 1+ 1+ D= 0 ⇔ D= 0
Vậy phương trình (P): x- 2y + z= 0
+ Đường thẳng d đi qua M(1 ;2; 0) và có vecto chỉ phương
+ Gọi ( R) là mặt phẳng chứa d và vuông góc với mặt phẳng (P).
=> (R) qua M( 1; 2; 0) và có vecto pháp tuyến
=> Phương trình ( R): 2( x- 1) + 3( y- 2) + 4( z- 0) = 0 hay 2x + 3y+ 4z – 8= 0
+ Đường thẳng Δ cần tìm là giao tuyến của mặt phẳng (P) và ( R). Do đó; với mỗi điểm N( x;y; z) thuộc đường thẳng Δ thỏa mãn:
Chọn một điểm thuộc Δ bằng cách cho y= 0; thay vào hệ phương trình trên ta được x= -4 và z= 4 => I( - 4; 0; 4) thuộc Δ.
Đường thẳng Δ có vecto chỉ phương
=> Phương trình đường thẳng Δ:
Chọn D.
Ví dụ: 8
Trong không gian với hệ tọa độ Oxyz; cho đường thẳng
và mặt phẳng (P): 2x- y- z+ 4= 0. Gọi Δ là hình chiếu của d lên mặt phẳng (P). Biết phương
trình đường thẳng Δ có dạng:
. Tính a+ b+ c?
A. 3
B. 2
C.– 4
D. 5
Lời giải:
+ Đường thẳng d đi qua A( -2; 1; 0) có vecto chỉ phương
Mặt phẳng (P) có vecto pháp tuyến
.
+ Gọi ( Q) là mặt phẳng chứa d và vuông góc với mặt phẳng (P). Khi đó; mặt phẳng
(Q) chứa A( -2; 1; 0) và nhận vecto
=> Phương trình ( Q): 1( x+ 2) + 1( y- 1) + 1( z-0) = 0 hay x+ y+ z+ 2 = 0
+ Đường thẳng Δ cần tìm là giao tuyến của hai mặt phẳng ( P) và ( Q). Với mỗi điểm
M( x; y; z) thuộc Δ thỏa mãn hệ phương trình:
Chọn một điểm thuộc Δ bằng cách cho y= 0 thay vào hệ ta được x= - 2 và z= 0
=> Điểm B( -2; 0; 0) thuộc Δ và Δ nhận vecto
làm vecto chỉ phương
=> Phương trình đường thẳng Δ:
=> a= 0; b= 0 và c= 3 nên a+ b+c= 3
Chọn A.
C. Bài tập vận dụng
Câu 1:
Viết phương trình đường thẳng d là hình chiếu của d’ trên (P) biết:
A.
B.
C.
D. Đáp án khác
Lời giải:
+ Đường thẳng d’ có vecto chỉ phương
Mặt phẳng ( P) có vecto pháp tuyến là:
- Mặt phẳng (Q) chứa d’ và vuông góc với (P) có
1 điểm thuộc d’ cũng thuộc (Q) là: ( 0; 0; -1)
Phương trình mặt phẳng (Q) là: 1.(x – 0) + 0.(y - 0) – 1.(z + 1) = 0 hay x – z – 1 = 0
- Hình chiếu cần tìm d = (P) ∩ (Q)
Tọa độ của điểm M (x; y; z) thuộc d thỏa mãn:
Vậy phương trình của d là:
Chọn B.
Câu 2:
Viết phương trình đường thẳng d’ là hình chiếu của d trên (Oxz) biết :
A.
B.
C.
D.
Lời giải:
Mặt phẳng (Oxz)có phương trình y= 0.
Mỗi điểm M (x; y; z) thuộc d có hình chiếu trên (Oxz) là điểm M’ (x; 0; z) thuộc d’ với d’ là hình chiếu của d trên (Oxz)
Vậy d’ có phương trình tham số là d':
Chọn A.
Câu 3:
Trong không gian với hệ tọa độ Oxyz; cho đường thẳng
và mặt thẳng (P): -3x+ y – z - 2= 0 . Gọi d’ là hình chiếu của d lên (P). Phương trình tham số của d’ là
A.
B.
C.
D. Đáp án khác
Lời giải:
+ Gọi mặt phẳng (Q) chứa d và vuông góc với (P).
Đường thẳng d đi qua điểm B( 1;0; 1) và có vectơ chỉ phương
.
Mặt phẳng (P) có vectơ pháp tuyến
=> Mặt phẳng ( Q) qua B( 1; 0; 1) có vectơ pháp tuyến
=> Phuong trình (Q): 1( x- 1) - 1( y- 0) - 4(z- 1) = 0 hay x - y - 4z + 3= 0
+ Đường thẳng d’ cần tìm là giao tuyến của (P) và (Q).
Tìm một điểm thuộc d’, bằng cách cho z= 0
Ta có hệ:
=> M(1/2; 7/2;0) ∈d'
+ Đường thẳng d’ đi qua điểm M và có vectơ chỉ phương
Vậy phương trình tham số của d’ là:
Chọn B.
Câu 4:
Trong không gian với hệ tọa độ Oxyz; cho hai điểm A(- 2; 3; 0) và B(0; 3; 1). Cho mặt phẳng ( P): x+ 2y- 2z- 4= 0. Viết phương trình đường thẳng d là hình chiếu của đường thẳng AB lên mặt phẳng ( P)?
A.
B.
C.
D. Tất cả sai
Lời giải:
+ Thay tọa độ điểm A và B vào phương trình mặt phẳng ( P) ta được :
- 2+ 2.3- 2.0 - 4= 0 ( thỏa mãn).
Và 0+ 2.3 – 2. 1- 4 = 0 ( thỏa mãn) .
=> Hai điểm A và B cùng thuộc mặt phẳng (P).
Suy ra; mặt phẳng (P) chứa đường thẳng AB.
=> Hình chiếu của đường thẳng AB lên mặt phẳng (P) là chính nó.
+ Đường thẳng AB: đi qua A(- 2; 3; 0) và nhận vecto
=> Phương trình AB:
Chọn C.
Câu 5:
Trong không gian với hệ tọa độ Oxyz; cho hai điểm A( -2; - 1; - 3) và B( 0; 1; -2). Mặt phẳng (P): x+ 2y- z + 6= 0. Viết phương trình đường thẳng d là hình chiếu của đường thẳng AB trên mặt phẳng ( P)?
A.
B.
C.
D.
Lời giải:
+ Gọi mặt phẳng (Q) chứa AB và vuông góc với (P).
Đường thẳng AB đi qua B( 0; 1; - 2) và có vectơ chỉ phương
.
Mặt phẳng (P) có vectơ pháp tuyến
=> Mặt phẳng ( Q) qua B( 0; 1; -2) có vectơ pháp tuyến
.
=> Phuong trình (Q): - 4( x- 0) + 3( y- 1) + 2( z+ 2) = 0 Hay - 4x + 3y+ 2z + 1= 0
+ Đường thẳng d cần tìm là giao tuyến của (P) và (Q). Suy ra mỗi điểm M( x; y; z) thuộc
d thì thỏa mãn :
Tìm một điểm thuộc d, bằng cách cho y= 1
Ta có hệ :
=> M( 10; 1; 18) ∈d
+ Đường thẳng d’ đi qua điểm (10; 1; 18) và có vectơ chỉ phương
Vậy phương trình tham số của d’ là:
Chọn D.
Câu 6:
Trong không gian với hệ tọa độ Oxyz; cho mặt phẳng (P) đi qua ba điểm
A( 2; 0;0); B( 0; -3; 0) và C( 0; 0;-2). Đường thẳng
. Gọi đường thẳng Δ là hình chiếu của d lên mặt phẳng (P). Trong các vecto sau vecto nào là vecto chỉ phương của Δ?
A. ( 1; 2; -1)
B. ( 2; - 3; - 2)
C. (1; 3; -1)
D. ( 3; - 1; 0)
Lời giải:
+ Đường thẳng d đi qua I (1; 0; 0) có vecto chỉ phương
+ Phương trình mặt phẳng hay 3x – 2y – 3z - 6= 0
+ Gọi (Q) là mặt phẳng chứa đường thẳng d và vuông góc với mặt phẳng (P)
=> Mặt phẳng (Q) đi qua điểm I(1; 0 ;0) thuộc d và nhận vecto
làm vecto pháp tuyến chọn
=> Phương trình mặt phẳng ( Q): 1(x- 1) + 0( y- 0) + 1( z- 0) = 0
Hay ( Q): x+ z- 1= 0
+ đường thẳng Δ cần tìm là giao tuyến của hai mặt phẳng (P) và (Q). Do đó; với mõi
điểm M(x;y;z) thuộc Δ phải thỏa mãn:
Đặt x= t =>
=> Phương trình tham số của đường thẳng Δ:
Vậy một vec to chỉ phương của Δ là ( 1;3; - 1)
Chọn C
Câu 7:
Trong không gian với hệ tọa độ Oxyz; cho đường thẳng
; mặt phẳng (P) gốc tọa độ và song song với mặt phẳng ( Q): x+ y+ z- 3= 0. Viết phương trình đường thẳng Δ là hình chiếu của d lên mặt phẳng (P)?
A.
B.
C.
D.
Lời giải:
+ Mặt phẳng ( P) song song với mặt phẳng ( Q) nên phương trình mặt phẳng ( P) có dạng: x + y + z+ D= 0
Mà điểm O(0; 0; 0) thuộc (P) nên : 0+ 0+ 0+ D = 0 ⇔ D= 0. Vậy phương trình (P): x+ y + z= 0
+ Đường thẳng d đi qua M(- 3;1; -2) và có vecto chỉ phương
+ Gọi ( R) là mặt phẳng chứa d và vuông góc với mặt phẳng (P).
=> (R) qua M(- 3; 1; -2) và có vecto pháp tuyến
=> Phương trình ( R): 2( x+ 3) - 1( y- 1) - 1( z+ 2) = 0 hay 2x – y- z+ 5= 0
+ Đường thẳng Δ cần tìm là giao tuyến của mặt phẳng (P) và ( R). Do đó; với mỗi điểm N( x;y; z) thuộc đường thẳng Δ thỏa mãn:
Chọn một điểm thuộc Δ bằng cách cho y= 0; thay vào hệ phương trình trên ta được
thuộc Δ.
Đường thẳng Δ có vecto chỉ phương
=> Phương trình đường thẳng Δ:
và đường thẳng Δ không có phương trình chính tắc.
Chọn D.
Câu 8:
Trong không gian với hệ tọa độ Oxyz; cho đường thẳng
và mặt phẳng (P): 2x – y + z+ 2= 0. Gọi Δ là hình chiếu của d lên mặt phẳng (P). Tìm một vecto chỉ phương của đường thẳng Δ ?
A. (3; 6; 0)
B. ( 1; - 2; 0 )
C. ( 6; 0; 12)
D. (0; 1; 2)
Lời giải:
+ Đường thẳng d đi qua A( 0; - 2; - 3) có vecto chỉ phương
Mặt phẳng (P) có vecto pháp tuyến
.
+ Gọi ( Q) là mặt phẳng chứa d và vuông góc với mặt phẳng (P). Khi đó; mặt phẳng
(Q) chứa A(0; -2; - 3) và nhận vecto
làm vecto pháp tuyến
=> Phương trình ( Q): - 2( x- 0) + 1( y+ 2) + 5( z+ 3) = 0 hay – 2x + y+ 5z + 17 = 0
+ Đường thẳng Δ cần tìm là giao tuyến của hai mặt phẳng ( P) và ( Q). Với mỗi điểm
M( x; y; z) thuộc Δ thỏa mãn hệ phương trình:
=> Δ nhận vecto
làm vecto chỉ phương
=> đường thẳng Δ cũng nhận vecto ( 3; 6; 0) làm vecto chỉ phương
Chọn A.
D. Bài tập tự luyện
Bài 1. Trong không gian với hệ toạ độ Oxyz, cho đường thẳng d: . Viết phương trình của hình chiếu vuông góc của d lên mặt phẳng x + 3 = 0?
Bài 2. Trong không gian Oxyz, cho đường thẳng d: và mặt phẳng (P): x + 2y + z – 4 = 0. Hình chiếu vuông góc của d trên (P) là đường thẳng có phương trình là gì?
Bài 3. Trong không gian Oxyz, cho đường thẳng d: , Δ: . Biết rằng Δ là hình chiếu vuông góc của d trên mặt phẳng (P). Viết phương trình của (P)?
Bài 4. Trong không gian toạ độ Oxyz, viết phương trình hình chiếu vuông góc của đường thẳng d: trên mặt phẳng (P): x - 2y + z + 5 = 0.
Bài 5. Trong không gian với hệ toạ độ Oxyz, viết phương trình hình chiếu vuông góc của đường thẳng d: lên mặt phẳng (P): x - 3y + z - 4 = 0.
Bài giảng: Cách viết phương trình đường thẳng nâng cao - Cô Nguyễn Phương Anh (Giáo viên VietJack)
(199k) Xem Khóa học Toán 12 KNTTXem Khóa học Toán 12 CDXem Khóa học Toán 12 CTST
Xem thêm các dạng bài tập Toán lớp 12 ôn thi Tốt nghiệp có lời giải hay khác:
- Viết phương trình đường thẳng đi qua 1 điểm, cắt và vuông góc với đường thẳng
- Viết phương trình đường thẳng nằm trong mặt phẳng và cắt hai đường thẳng
- Viết phương trình đường thẳng song song với đường thẳng và cắt 2 đường thẳng
- Viết phương trình đường vuông góc chung của hai đường thẳng chéo nhau
- Vị trí tương đối của hai đường thẳng trong không gian
Đã có app VietJack trên điện thoại, giải bài tập SGK, SBT Soạn văn, Văn mẫu, Thi online, Bài giảng....miễn phí. Tải ngay ứng dụng trên Android và iOS.
Theo dõi chúng tôi miễn phí trên mạng xã hội facebook và youtube:Nếu thấy hay, hãy động viên và chia sẻ nhé! Các bình luận không phù hợp với nội quy bình luận trang web sẽ bị cấm bình luận vĩnh viễn.
- Giải Tiếng Anh 12 Global Success
- Giải sgk Tiếng Anh 12 Smart World
- Giải sgk Tiếng Anh 12 Friends Global
- Lớp 12 Kết nối tri thức
- Soạn văn 12 (hay nhất) - KNTT
- Soạn văn 12 (ngắn nhất) - KNTT
- Giải sgk Toán 12 - KNTT
- Giải sgk Vật Lí 12 - KNTT
- Giải sgk Hóa học 12 - KNTT
- Giải sgk Sinh học 12 - KNTT
- Giải sgk Lịch Sử 12 - KNTT
- Giải sgk Địa Lí 12 - KNTT
- Giải sgk Giáo dục KTPL 12 - KNTT
- Giải sgk Tin học 12 - KNTT
- Giải sgk Công nghệ 12 - KNTT
- Giải sgk Hoạt động trải nghiệm 12 - KNTT
- Giải sgk Giáo dục quốc phòng 12 - KNTT
- Giải sgk Âm nhạc 12 - KNTT
- Giải sgk Mĩ thuật 12 - KNTT
- Lớp 12 Chân trời sáng tạo
- Soạn văn 12 (hay nhất) - CTST
- Soạn văn 12 (ngắn nhất) - CTST
- Giải sgk Toán 12 - CTST
- Giải sgk Vật Lí 12 - CTST
- Giải sgk Hóa học 12 - CTST
- Giải sgk Sinh học 12 - CTST
- Giải sgk Lịch Sử 12 - CTST
- Giải sgk Địa Lí 12 - CTST
- Giải sgk Giáo dục KTPL 12 - CTST
- Giải sgk Tin học 12 - CTST
- Giải sgk Hoạt động trải nghiệm 12 - CTST
- Giải sgk Âm nhạc 12 - CTST
- Lớp 12 Cánh diều
- Soạn văn 12 Cánh diều (hay nhất)
- Soạn văn 12 Cánh diều (ngắn nhất)
- Giải sgk Toán 12 Cánh diều
- Giải sgk Vật Lí 12 - Cánh diều
- Giải sgk Hóa học 12 - Cánh diều
- Giải sgk Sinh học 12 - Cánh diều
- Giải sgk Lịch Sử 12 - Cánh diều
- Giải sgk Địa Lí 12 - Cánh diều
- Giải sgk Giáo dục KTPL 12 - Cánh diều
- Giải sgk Tin học 12 - Cánh diều
- Giải sgk Công nghệ 12 - Cánh diều
- Giải sgk Hoạt động trải nghiệm 12 - Cánh diều
- Giải sgk Giáo dục quốc phòng 12 - Cánh diều
- Giải sgk Âm nhạc 12 - Cánh diều


Giải bài tập SGK & SBT
Tài liệu giáo viên
Sách
Khóa học
Thi online
Hỏi đáp

