Viết phương trình đường thẳng song song với đường thẳng và cắt 2 đường thẳng
Bài viết Viết phương trình đường thẳng song song với đường thẳng và cắt 2 đường thẳng với phương pháp giải chi tiết giúp học sinh ôn tập, biết cách làm bài tập Viết phương trình đường thẳng song song với đường thẳng và cắt 2 đường thẳng.
Viết phương trình đường thẳng song song với đường thẳng và cắt 2 đường thẳng
(199k) Xem Khóa học Toán 12 KNTTXem Khóa học Toán 12 CDXem Khóa học Toán 12 CTST
Bài giảng: Cách viết phương trình đường thẳng cơ bản - Cô Nguyễn Phương Anh (Giáo viên VietJack)
A. Phương pháp giải
Cách 1:
- Viết phương trình mặt phẳng (P) song song với d’ và chứa d1
- Viết phương trinh mặt phẳng (Q) song song với d’ và chứa d2
- Đường thẳng cần tìm d = (P) ∩ (Q)
Cách 2:
M = d ∩ d1; N = d ∩ d2
Vì d // d’ nên
và
cùng phương hay
B. Ví dụ minh họa
Ví dụ: 1
Viết phương trình của đường thẳng d cắt hai đường thẳng d1, d2 và song song với d3 biết:
A.
B.
C.
D.
Lời giải:
+ Vecto chỉ phương của ba đường thẳng d1, d2 và song song với d3 lần lượt là
- Mặt phẳng (P) chứa d1 và song song với d3
Ta có vectơ pháp tuyến của (P) là
=>
Hay chọn 1 vectơ pháp tuyến của (P) là
Một điểm thuộc d1 là điểm thuộc (P) là : (2; -2; 1)
Phương trình mặt phẳng (P) là: 1.(x – 2) – 1.(y + 2) + 1. (z – 1) = 0 hay x – y + z – 5 = 0
- Mặt phẳng (Q) chứa d2 và song song với d3
Ta có vectơ pháp tuyến của (Q) là
=>
Hay chọn 1 vectơ pháp tuyến của (Q) là
Một điểm thuộc d2 là điểm thuộc (Q) là : (7; 3; 9)
Phương trình mặt phẳng (Q) là: 0.(x – 7) + 1.(y – 3) + 2. (z – 9) = 0 hay y + 2z – 21 = 0
- Đường thẳng cần tìm d = (P) ∩ (Q) nên
Điểm M (x; y; z) ∈ d khi tọa độ của M là nghiệm của hệ phương trình:
Đặt z = t, ta có:
Vậy phương trình tham số của d là:
Chọn A.
Ví dụ: 2
Viết phương trình đường thẳng d song song với trục Ox và cắt hai đường thẳng
A.
B.
C.
D. Đáp án khác
Lời giải:
+ Đường thẳng d1 và d2 có vecto chỉ phương là :
Trục Ox có vecto chi phương
- Mặt phẳng (P) chứa d1 và song song với Ox
Ta có vectơ pháp tuyến của (P) là
=>
Một điểm thuộc d1 là điểm thuộc (P) là : (0; 0; 1)
Phương trình mặt phẳng (P) là: 0.(x – 0) + 3.(y – 0) – 2 . (z – 1) = 0 hay 3y – 2z + 2 = 0
- Mặt phẳng (Q) chứa d2 và song song với Ox
Ta có vectơ pháp tuyến của (Q) là
=>
Một điểm thuộc d2 là 1 điểm thuộc (Q) là : (2; -1; -1)
Phương trình mặt phẳng (Q) là: 0.(x – 2) + 2.(y + 1) – 3 . (z + 1) = 0 hay 2y – 3z – 1 = 0
- Đường thẳng cần tìm d = (P) ∩ (Q) nên
Điểm M (x; y; z) ∈ d khi tọa độ của M là nghiệm của hệ phương trình:
Vậy phương trình tham số của d là:
Cách 2:
M = d ∩ d1 => M (t; 2t; 1+ 3t)
N = d ∩ d2 => N (2-t’; -1+3t’; -1+2t’)
Ox có 1 vectơ chỉ phương là
cùng phương với
=>
=>
d//Ox nên
Vậy phương trình của d là:
Chọn C.
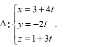
Ví dụ: 3
Trong không gian với hệ tọa độ Oxyz; cho hai đường thẳng
. Phương trình đường thẳng song song với d:
và cắt hai đường thẳng d1; d2 là:
A .
B.
C.
D.
Lời giải:
Gọi Δ là đường thẳng cần tìm
Gọi giao điểm của Δ với d1 và d2 lần lượt là A và B.
Do A thuộc d1 nên tọa độ A (- 1+ 3a; 2+ a; 1+ 2a)
Do B thuộc d2 nên tọa độ B ( 1+ b; 2b; - 1+ 3b)
Vecto
là một vecto chỉ phương của Δ.
+ Đường thẳng d có vectơ chỉ phương
.
+ Do đường thẳng d//Δ nên haii vecto
cùng phương
=> có một số k thỏa mãn
=> Tọa độ A( 2; 3; 3) và B(2; 2; 2)
+ Đường thẳng Δ đi qua điểm A( 2; 3; 3) và có vectơ chỉ phương
Vậy phương trình của Δ là:
Chọn D.
Ví dụ: 4
Trong không gian với hệ tọa độ Oxyz; cho hai đường thẳng
. Cho hai điểm M( 1;1;1 ) và N(0; -2 ; 3) . Viết
phương trình đường thẳng d cắt hai đường thẳng d1 và d2; song song với đường thẳng MN.
A.
B.
C.
D. Đáp án khác
Lời giải:
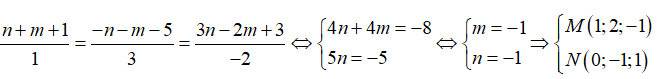
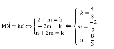
+ Gọi giao điểm của đường thẳng d với 2 đường thẳng d1 và d2 lần lượt là A và B.
+ Điểm A thuộc d1 nên A( a; 3- 2a; 1- a)
+ Điểm B thuộc d2 nên B( 1- b;2+ 2b; - 2) .
=> Vecto
là một vecto chỉ phươn của đường thẳng d
+ Đường thẳng MN nhận vecto
làm vecto chỉ phương
+ Do đường thẳng d// MN nên 1 vecto chỉ phương của đường thẳng d là
=> Hai vecto
cùng phương nên tồn tại số thực k khác 0 sao cho:
⇔
=> Tọa độ của
Đường thẳng d đi qua A và nhận vecto
làm vecto chỉ phương
=> Phương trình đường thẳng d:
Chọn B
Ví dụ: 5
Trong không gian với hệ tọa độ Oxyz; cho đường thẳng
. Viết phương trình đường thẳng d cắt đường thẳng d1 và trục Ox;
song song trục Oz?
A.
B.
C.
D. Đáp án khác
Lời giải:
+ Trục Ox: đi qua O (0; 0; 0)và nhận vecto
làm vecto chỉ phương
=> phương trình trục Ox:
.
+ Gọi giao điểm của đường thẳng d với đường thẳng d1 và trục Ox lần lượt là A và B.
+ Do A thuộc d1 nên tọa độ A( 1+ a; - 3+ 3a; - 2a)
+ Do B thuộc trục Ox nên tọa độ B( b; 0; 0) .
=> Vecto
là một vecto chỉ phương của đường thẳng d
+ Trục Oz có vecto chỉ phương là:
.
Lại có đường thẳng d// Oz nên đường thẳng d nhận vecto
làm vecto chỉ phương
=> Hai vecto
cùng phương nên tồn tại số thực t khác 0 thỏa mãn:
⇔
=> tọa độ A( 2;0; - 2) và B( 2; 0; 0 )
+ Đường thẳng d cần tìm chính là đường thẳng AB: đi qua A( 2; 0; -2) và có vecto chỉ phương là :
=> Phương trình đường thẳng d:
Chọn A.
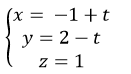
Ví dụ: 6
Trong không gian với hệ tọa độ Oxyz; cho đường thẳng
; cho hai điểm A( 1; 0; -2) và B( -1; 2; 4). Đường thẳng d cắt hai đường thẳng d1 và AB; song song với đường thẳng OM trong đó M là trung điểm AB. Tìm tọa độ giao điểm của đường thẳng d và d1
A.
B.
C.
D. Tất cả sai
Lời giải:
+ Do M là trung điểm của AB nên tọa độ M( 0; 1;1) .
+ Đường thẳng AB đi qua A (1; 0; -2) và nhận vecto
làm vecto chỉ phương
=> Phương trình đường thẳng AB:
+ Gọi giao điểm của d với 2 đường thẳng d1 và AB lần lượt là H và K
+ Do H thuộc d1 nên H ( - a; - 1+ 2a; 3+ a)
+ Do K thuộc AB nên K( 1- b; b; - 2+ 3b)
Đường thẳng d nhận vecto
làm vecto chỉ phương
+ Lại có d song song với OM nên d cũng nhận vecto
làm vecto chỉ phương
=> Hai vecto
cùng phương nên tồn tại số thực k khác 0 sao cho:
=> Tọa độ
Chọn C.
Ví dụ: 7
Trong không gian với hệ tọa độ Oxyz; cho đường thẳng
và cho hai điểm A(-1; 2; 1); B( 1; 0; 1). Đường thẳng d cắt hai đường thẳng d1 và AB; song song với trục Oy. Trong các điểm sau điểm nào thuộc đường thẳng d?
A. ( -1; 2; 0)
B. (0; -2; - 3)
C. (2; 3; 1)
D. Tất cả sai
Lời giải:
+ Đường thẳng AB: Đi qua A( -1; 2; 1) và hận vecto
làm vecto chỉ phương
=> PHương trình đường thẳng AB:
+Gọi giao điểm của đường thẳng d với d1 và AB lần lượt tại M và N .
+ Do M thuộc d1 nên M( - 2; 1+ m; 2)
+ Do N thuộc AB nên N( -1+ n; 2- n; 1)
=> Đường thẳng d nhận vecto
làm vecto chỉ phương
Lại có; d song song trục Oy nên một vecto chỉ phương của d là
=> 2 vecto
cùng phương nên tồn tại số thực k khác 0 sao cho:
=> Không tồn tại đường thẳng d thỏa mãn đầu bài.
Chọn D
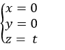
Ví dụ: 8
Trong không gian với hệ tọa độ Oxyz, cho mặt phẳng (P): x+ 3y – 2z + 1= 0 và
hai đường thẳng
, . Đường thẳng Δ vuông góc
với mặt phẳng (P) và cắt hai đường thẳng d1; d2 có phương trình là:
A.
B.
C.
D.
Lời giải:
Gọi
Do
cùng phương
⇔
Đường thẳng Δ đi qua N( 0; -1; 1) và có vectơ chỉ phương
⇒Δ:
Chọn C.
Ví dụ: 9
Trong không gian với hệ tọa độ Oxyz; cho hai đường thẳng
và mặt phẳng (P): x+ y- 2z + 3= 0 . Gọi Δ là
đường thẳng song song với (P) và cắt d1; d2 lần lượt tại hai điểm A; B sao cho
. Phương trình tham số của đường thẳng Δ là
A.
B.
C.
D.
Lời giải:
Điểm A thuộc d1 nên A( 1+ 2a; - 1+ a;a)
Điểm B thuộc d2 nên B( 1+ b; 2+ 2b; b)
=> Đường thẳng Δ có vectơ chỉ phương
Mặt phẳng (P) có vectơ pháp tuyến
Vì Δ// mp (P) nên
=>
⇔ 1( b- 2a) + 1( 3+ 2b- a) – 2( b- a) = 0
⇔ b- 2a + 3 + 2b – a – 2b + 2a= 0
⇔ b – a+ 3= 0 ⇔ b= a- 3
Khi đó
nên
Theo đề bài:
⇔ 2a2+ 27 = 29 ⇔ a2= 1
⇔
Vậy có hai đường thẳng Δ thỏa mãn là
Chọn A.
C. Bài tập vận dụng
Câu 1:
Đường thẳng d cắt hai đường thẳng d1, d2 và song song với d3 biết
. Tìm tọa độ giao điểm của d và d2?
A.
B.
C.
D.
Lời giải:
+ Gọi giao điểm của d với 2 đường thẳng d1; d2lần lượt là A và B
+ Do A thuộc d1 nên tọa độ A( 2a; -2+ a; -1)
+ Do B thuộc d2 nên tọa độ B( b; 0; b)
=> Đường thẳng d nhận vecto
làm vecto chỉ phương
+ đường thẳng d3 có vecto chỉ phương
. Mà d// d3 nên đường thẳng d cũng nhận vecto
làm vecto chỉ phương
=> Hai vecto
cùng phương nên tồn tại số thực k khác 0 sao cho:
⇔
=> Tọa độ giao điểm của d và d2 là:
Chọn A.
Câu 2:
Cho 2 đường thẳng
. Đường thẳng d cắt d1 và Oz; song song với d2. Tìm tọa độ giao điềm của d và trục Oz
A. N(0;0;-3)
B.
C.
D. Đáp án khác
Lời giải:
Gọi M = d ∩ d1 => M ( - 2- m; 2m; - 2m)
Gọi N = d ∩ Oz => N ( 0; 0; n)
Vecto
là một vecto chỉ phương của đường thẳng d.
Đường thẳng d2 có 1 vectơ chỉ phương là
.
Lại có đường thẳng d// d2 nên đường thẳng d nhận vecto u→ làm vecto chỉ phương
=> Vecto u→ cùng phương với
=>
=>
là giao điểm của d và Oz
Chọn B.
Câu 3:
Trong không gian với hệ tọa độ Oxyz; cho hai đường thẳng
. Phương trình đường thẳng song song với d:
và cắt hai đường thẳng d1; d2 là:
A .
B.
C.
D.
Lời giải:
Gọi Δ là đường thẳng cần tìm
Gọi giao điểm của Δ với d1 và d2 lần lượt là A và B.
Do A thuộc d1 nên tọa độ A ( -2a; 1+3a; 1+ 2a)
Do B thuộc d2 nên tọa độ B ( - 2b; 1+ b; - 1+ b)
Vecto
là một vecto chỉ phương của Δ.
+ Đường thẳng d có vectơ chỉ phương
.
+ Do đường thẳng d//Δ nên đường thẳng Δ nhận vecto ud→ làm vecto chỉ phương
=> hai vecto
cùng phương nên có một số k thực thỏa mãn
=> Tọa độ A( - 2; 4; 3) và B( - 6; 4; 2)
+ Đường thẳng Δ đi qua điểm A( - 2; 4; 3) và có vectơ chỉ phương
Vậy phương trình của Δ là:
Chọn D.
Câu 4:
Trong không gian với hệ tọa độ Oxyz; cho hai đường thẳng
. Cho hai điểm M(2; 1; -2) và N( 3; 2; 1) . Viết
phương trình đường thẳng d cắt hai đường thẳng d1 và d2; song song với đường thẳng MN.
A.
B.
C.
D. Đáp án khác
Lời giải:
+ Gọi giao điểm của đường thẳng d với 2 đường thẳng d1 và d2 lần lượt là A và B.
+ Điểm A thuộc d1 nên A( 1; 2a; 1-a)
+ Điểm B thuộc d2 nên B( - b; 2; -2+ b) .
=> Vecto
là một vecto chỉ phương của đường thẳng d
+ Đường thẳng MN nhận vecto
làm vecto chỉ phương
+ Do đường thẳng d// MN nên 1 vecto chỉ phương của đường thẳng d là
=> Hai vecto
cùng phương nên tồn tại số thực k khác 0 sao cho:
=> Tọa độ của
Đường thẳng d đi qua A và nhận vecto
làm vecto chỉ
phương
=> Phương trình đường thẳng d:
Chọn B
Câu 5:
Trong không gian với hệ tọa độ Oxyz; cho đường thẳng
. Viết
phương trình đường thẳng d cắt đường thẳng d1 và trục Oy; song song trục Oz?
A.
B.
C.
D. Đáp án khác
Lời giải:
+ Trục Oy: đi qua O (0; 0; 0)và nhận vecto
làm vecto chỉ phương
=> phương trình trục Oy:
.
+ Gọi giao điểm của đường thẳng d với đường thẳng d1 và trục Oy lần lượt là A và B.
+ Do A thuộc d1 nên tọa độ A( 1+ a; -a; -2)
+ Do B thuộc trục Oy nên tọa độ B(0; b; 0) .
=> Vecto
là một vecto chỉ phương của đường thẳng d
+ Trục Oz có vecto chỉ phương là:
.
Lại có đường thẳng d// Oz nên đường thẳng d nhận vecto
làm vecto chỉ phương
=> Hai vecto
cùng phương nên tồn tại số thực t khác 0 thỏa mãn:
=> tọa độ A(0; 1; - 2) và B( 0; 1; 0 )
+ Đường thẳng d cần tìm chính là đường thẳng AB: đi qua B( 0; 1; 0) và có vecto chỉ phương là :
=> Phương trình đường thẳng d:
Chọn A.
Câu 6:
Trong không gian với hệ tọa độ Oxyz; cho đường thẳng
; cho hai điểm A(-2; 1; -3) và B( - 2; 1; -1). Đường thẳng d cắt hai đường thẳng d1 và AB; song song với đường thẳng OM trong đó M là trung điểm AB. Tìm tọa độ giao điểm của đường thẳng d và AB
A.(-2;1;0)
B. ( -2; 1; 2)
C. (-2; 1; -4)
D. Tất cả sai
Lời giải:
+ Do M là trung điểm của AB nên tọa độ M(-2; 1; -2) .
+ Đường thẳng AB đi qua A (-2; 1; -3) và nhận vecto
làm vecto chỉ phương
=> Phương trình đường thẳng AB:
+ Gọi giao điểm của d với 2 đường thẳng d1 và AB lần lượt là H và K
+ Do H thuộc d1 nên H ( 1+ a; 2a; -1+ a )
+ Do K thuộc AB nên K( - 2; 1; - 3+ b)
Đường thẳng d nhận vecto
làm vecto chỉ phương
+ Lại có d song song với OM nên d cũng nhận vecto
làm vecto chỉ phương
=> Hai vecto
cùng phương nên tồn tại số thực k khác 0 sao cho:
=> Tọa độ K( - 2; 1; - 4)
Chọn C.
Câu 7:
Trong không gian với hệ tọa độ Oxyz; cho đường thẳng
và cho hai điểm A(0; 1; 2); B(2; 2; 2). Viết phương trình đường thẳng d cắt hai đường thẳng d1 và AB; song song với trục Oz.
A.
B.
C.
D. Tất cả sai
Lời giải:
+ Đường thẳng AB: Đi qua A(0;1;2) và hận vecto
làm vecto chỉ phương
=> Phương trình đường thẳng AB:
+Gọi giao điểm của đường thẳng d với d1 và AB lần lượt tại M và N .
+ Do M thuộc d1 nên M( 1+ m; 1- m; - 1)
+ Do N thuộc AB nên N( 2n; 1+ n; 2)
=> Đường thẳng d nhận vecto
làm vecto chỉ phương
+ Lại có; d song song trục Oz nên một vecto chỉ phương của d là
=> 2 vecto
cùng phương nên tồn tại số thực t khác 0 sao cho:
=>
+ Đường thẳng d cần tìm chính là đường thẳng MN đi qua N( 2/3; 4/3;2) và có vecto chỉ phương
.
=> Phương trình d:
Chọn C.
Câu 8:
Trong không gian với hệ tọa độ Oxyz; cho hai đường thẳng
. Gọi Δ là đường thẳng song song với (P):
x+ y + z- 7= 0 và cắt d1; d2 lần lượt tại hai điểm A; B sao cho AB ngắn nhất. Phương trình của đường thẳng Δ là.
A.
B.
C.
D.
Lời giải:
+ Điểm A thuộc d1 nên A( 1+ 2a; a; - 2- a)
Điểm B thuộc d2 nên B( 1+b; -2+ 3b; 2- 2b)
+ Đường thẳng Δ có vectơ chỉ phương
+ Mặt phẳng ( P) có vectơ pháp tuyến
+ Vì đường thẳng Δ// ( P) nên
=>
⇔ 1( b- 2a) + 1( 3b- a- 2) + 1( - 2b+ a+ 4) = 0
⇔ b- 2a + 3b – a- 2 – 2b + a+ 4= 0 ⇔ 2b – 2a + 2= 0 ⇔ 2b= 2a- 2 ⇔ b= a- 1
=>
Khi đó :
Dấu “=” xảy ra khi
Đường thẳng Δ đi qua điểm A và vec tơ chỉ phương
Vậy phương trình của Δ là:
Chọn B.
Câu 9:
Trong không gian với hệ tọa độ Oxyz; cho đường thẳng
mặt cầu (S): ( x-1)2 + (y+3)2+ (z+ 1)2 = 29 và A( 1; -2; 1). Đường thẳng Δ cắt d và (S) lần
lượt tại M và N sao cho A là trung điểm của đoạn thẳng MN. Phương trình đường thẳng Δ là
A.
B.
C.
D.
Lời giải:
+Điểm M thuộc đường thẳng d nên M( 2+ t; 1+ 2t;1- t)
+ Do A là trung điểm MN nên tọa độ N( -t; - 5- 2t;1+ t) .
+ Đường thẳng Δ đi qua điểm A(1; -2; 1) và có vectơ chỉ phương
=> Có hai đường thẳng thỏa mãn đề bài là:
Chọn C.
Bài giảng: Cách viết phương trình đường thẳng nâng cao - Cô Nguyễn Phương Anh (Giáo viên VietJack)
(199k) Xem Khóa học Toán 12 KNTTXem Khóa học Toán 12 CDXem Khóa học Toán 12 CTST
Xem thêm các dạng bài tập Toán lớp 12 ôn thi Tốt nghiệp có lời giải hay khác:
- Viết phương trình đường thẳng đi qua 1 điểm, cắt và vuông góc với đường thẳng
- Viết phương trình đường thẳng nằm trong mặt phẳng và cắt hai đường thẳng
- Viết phương trình đường vuông góc chung của hai đường thẳng chéo nhau
- Viết phương trình đường thẳng là hình chiếu của đường thẳng lên mặt phẳng
- Vị trí tương đối của hai đường thẳng trong không gian
Đã có app VietJack trên điện thoại, giải bài tập SGK, SBT Soạn văn, Văn mẫu, Thi online, Bài giảng....miễn phí. Tải ngay ứng dụng trên Android và iOS.
Theo dõi chúng tôi miễn phí trên mạng xã hội facebook và youtube:Nếu thấy hay, hãy động viên và chia sẻ nhé! Các bình luận không phù hợp với nội quy bình luận trang web sẽ bị cấm bình luận vĩnh viễn.
- Giải Tiếng Anh 12 Global Success
- Giải sgk Tiếng Anh 12 Smart World
- Giải sgk Tiếng Anh 12 Friends Global
- Lớp 12 Kết nối tri thức
- Soạn văn 12 (hay nhất) - KNTT
- Soạn văn 12 (ngắn nhất) - KNTT
- Giải sgk Toán 12 - KNTT
- Giải sgk Vật Lí 12 - KNTT
- Giải sgk Hóa học 12 - KNTT
- Giải sgk Sinh học 12 - KNTT
- Giải sgk Lịch Sử 12 - KNTT
- Giải sgk Địa Lí 12 - KNTT
- Giải sgk Giáo dục KTPL 12 - KNTT
- Giải sgk Tin học 12 - KNTT
- Giải sgk Công nghệ 12 - KNTT
- Giải sgk Hoạt động trải nghiệm 12 - KNTT
- Giải sgk Giáo dục quốc phòng 12 - KNTT
- Giải sgk Âm nhạc 12 - KNTT
- Giải sgk Mĩ thuật 12 - KNTT
- Lớp 12 Chân trời sáng tạo
- Soạn văn 12 (hay nhất) - CTST
- Soạn văn 12 (ngắn nhất) - CTST
- Giải sgk Toán 12 - CTST
- Giải sgk Vật Lí 12 - CTST
- Giải sgk Hóa học 12 - CTST
- Giải sgk Sinh học 12 - CTST
- Giải sgk Lịch Sử 12 - CTST
- Giải sgk Địa Lí 12 - CTST
- Giải sgk Giáo dục KTPL 12 - CTST
- Giải sgk Tin học 12 - CTST
- Giải sgk Hoạt động trải nghiệm 12 - CTST
- Giải sgk Âm nhạc 12 - CTST
- Lớp 12 Cánh diều
- Soạn văn 12 Cánh diều (hay nhất)
- Soạn văn 12 Cánh diều (ngắn nhất)
- Giải sgk Toán 12 Cánh diều
- Giải sgk Vật Lí 12 - Cánh diều
- Giải sgk Hóa học 12 - Cánh diều
- Giải sgk Sinh học 12 - Cánh diều
- Giải sgk Lịch Sử 12 - Cánh diều
- Giải sgk Địa Lí 12 - Cánh diều
- Giải sgk Giáo dục KTPL 12 - Cánh diều
- Giải sgk Tin học 12 - Cánh diều
- Giải sgk Công nghệ 12 - Cánh diều
- Giải sgk Hoạt động trải nghiệm 12 - Cánh diều
- Giải sgk Giáo dục quốc phòng 12 - Cánh diều
- Giải sgk Âm nhạc 12 - Cánh diều


Giải bài tập SGK & SBT
Tài liệu giáo viên
Sách
Khóa học
Thi online
Hỏi đáp

