Viết phương trình đường thẳng đi qua 1 điểm, vuông góc với đường thẳng d1 và cắt đường thẳng d2
Bài viết Viết phương trình đường thẳng đi qua 1 điểm, vuông góc với đường thẳng d1 và cắt đường thẳng d2 với phương pháp giải chi tiết giúp học sinh ôn tập, biết cách làm bài tập Viết phương trình đường thẳng đi qua 1 điểm, vuông góc với đường thẳng d1 và cắt đường thẳng d2.
- Cách giải bài tập Viết phương trình đường thẳng đi qua 1 điểm, vuông góc với đường thẳng d1 và cắt đường thẳng d2
- Ví dụ minh họa Viết phương trình đường thẳng đi qua 1 điểm, vuông góc với đường thẳng d1 và cắt đường thẳng d2
- Bài tập vận dụng Viết phương trình đường thẳng đi qua 1 điểm, vuông góc với đường thẳng d1 và cắt đường thẳng d2
Viết phương trình đường thẳng đi qua 1 điểm, vuông góc với đường thẳng d1 và cắt đường thẳng d2
(199k) Xem Khóa học Toán 12 KNTTXem Khóa học Toán 12 CDXem Khóa học Toán 12 CTST
Bài giảng: Cách viết phương trình đường thẳng cơ bản - Cô Nguyễn Phương Anh (Giáo viên VietJack)
A. Phương pháp giải
Cách 1:
- Viết PT mặt phẳng (P) đi qua A và vuông góc với đường thẳng d1
- Tìm giao điểm B = (P) ∩ (d2)
- Đường thẳng cần tìm là đường thẳng đi qua 2 điểm A, B
Cách 2:
- Viết PT mặt phẳng (P) đi qua A và vuông góc với đường thẳng d1
- Viết PT mặt phẳng (Q) đi qua A và chứa đường thẳng d2
- Đường thẳng d cần tìm là d = (P) ∩ (Q)
B. Ví dụ minh họa
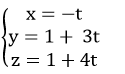
Ví dụ 1: Trong không gian với hệ tọa độ Oxyz, cho điểm A( 1; - 1; 3) và hai đường thẳng
. Viết phương trình đường thẳng d đi qua điểm A vuông góc với đường thẳng d1 và cắt đường thẳng d2.
A.
B.
C.
D.
Lời giải:
+ Gọi ( P) là mặt phẳng qua A vuông góc với đương thẳng d1.
Đường thẳng d1 có vecto chỉ phương là ( 1; 4; -2) nên một vecto pháp tuyến của mặt phẳng (P) là:
=> Phương trình mặt phẳng (P) là: 1( x-1) + 4( y+1) – 2( z- 3) =0 .Hay x+ 4y – 2z + 9= 0
+Gọi giao điểm của đường thẳng d2 và mặt phẳng ( P) là điểm B
Do B thuộc d2 nên tọa độ B( 2+ t; - 1- t; 1+ t) . Thay tọa độ điểm B vào phương trình mặt phẳng (P) ta được : 2+ t + 4( - 1- t) – 2( 1+ t) + 9= 0 ⇔ 2+ t- 4 – 4t- 2- 2t + 9= 0 ⇔ - 5t+ 5= 0 ⇔ t= 1 => B( 3; -2; 2)
+ Đường thẳng d cần tìm là đường thẳng AB: Đi qua A(1; -1;3) nhận vecto
=> Phương trình chính tắc của đường thẳng AB:
Chọn C.
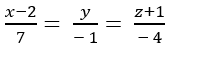
Ví dụ 2: Trong không gian với hệ tọa độ Oxyz; cho hai đường thẳng
. Phương trình đường thẳng d đi qua điểm A( 1;2; -2) vuông góc với d1 và cắt d2 là:
A.
B.
C.
D.
Lời giải:
+ Gọi giao điểm của của d và d2 là B.
Do B thuộc d2 nên tọa độ B( t; 1+ 2t; t) =>
.
+ Đường thẳng d1 có vectơ chỉ phương
+ Do đường thẳng d vuông góc với d1 nên
=>
= 0
⇔ 2( t-1) + 2( 2t- 1) + 1(t+ 2) = 0
⇔ 2t – 2 + 4t – 2+ t+ 2= 0
⇔ 7t- 2= 0 nên t= 2/7
+ Đường thẳng d đi qua điểm A ( 1; 2; - 2) và có vectơ chỉ phương
chọn vecto chỉ phương ( 5; 3; - 16)
Vậy phương trình của d là:
Chọn A.
Ví dụ 3: Cho hai đường thẳng:
và điểm A (1; 2; 3). Viết phương trình đường thẳng d đi qua A,vuông góc với d1 và cắt d2.
A.
B.
C.
D. Tất cả sai
Lời giải:
- Gọi mặt phẳng (P) đi qua điểm A và vuông góc với đường thẳng d1 có vectơ pháp
tuyến là
Phương trình mặt phẳng (P) là: 2.(x – 1) – 1 . (y – 2) + 1. (z – 3) = 0 hay 2x – y + z – 3 = 0
-Gọi giao điểm của mặt phẳng (P) và đường thẳng d2 là B
B thuộc d2 nên tọa độ B( 1- t; 1+ 2t; - 1+ t)
Thay tọa độ ( B) vào phương trình mặt phẳng (P) ta được: 2( 1- t) – ( 1+ 2t) + ( - 1+ t) – 3= 0 ⇔ 2- 2t- 1- 2t- 1+ t- 3= 0 ⇔ -3t – 3= 0 nên t= -1
Suy ra: B (2; -1; -2)
- Đường thẳng cần tìm là đường thẳng đi qua 2 điểm A, B
Vectơ chỉ phương của d là:
Vậy phương trình đường thẳng d là:
Chọn C.
Ví dụ 4: Cho hai đường thẳng:
Viết phương trình đường thẳng d đi qua A (0; 1; 1), vuông góc với d1 và cắt d2.
A.
B.
C.
D.
Lời giải:
- Goi mặt phẳng (P) đi qua điểm A và vuông góc với đường thẳng d1 có vectơ pháp tuyến
là
- Một điểm thuộc d2 là : M (0; 0; 2) ;
Mặt phẳng (Q) đi qua A và chứa đường thẳng d2 có vectơ pháp tuyến là:
=>
- Đường thẳng cần tìm d = (P)∩(Q)
Vectơ chỉ phương của d là
=>
Vậy phương trình đường thẳng d là:
Chọn B.
Ví dụ 5: Trong không gian với hệ toạ độ Oxyz, đường thẳng d đi qua điểm N(1; 1; -2) vuông góc với đường thẳng
và cắt trục hoành có phương trình là
A.
B.
C.
D. Đáp án khác
Lời giải:
Gọi
.
Ta có
, Khi đó:
Do
⇔ 2m+ 5= 0
⇒
Suy ra một vecto chỉ phương của đường thẳng là:
Phương trình của d đương thẳng d:
Chọn C .
Ví dụ 6.Trong không gian với hệ tọa độ Oxyz; cho hai điểm A(1; 2; 3) và B( 3; 0; 1). Gọi M là trung điểm của AB. Đường thẳng d đi qua M vuông góc với trục tung và cắt đường thẳng
. Viết phương trình đường thẳng d?
A.
B.
C.
D. Đáp án khác
Lời giải:
+ Do M là trung điểm của AB nên tọa độ M(2; 1; 2)
+ Gọi giao điểm của đường thẳng d và Δ là: H( 2; 1+ t; 2t)=>
Ta có vecto chỉ phương của trục tung là:
, Khi đó:
Do
⇔ t= 1 nên tọa độ H( 2; 2; 2)
+ Đường thẳng d cần tìm là đường thẳng MH: đi qua M( 2; 1; 2) và vecto chỉ phương
=> Phương trình đường thẳng d:
Chọn A.
Ví dụ 7: Trong không gian với hệ tọa độ Oxyz; cho hai đường thẳng
. Gọi d là đường thẳng qua M( 2; 3; 1); cắt d1 và vuông góc với d2. Trong các vecto sau; vecto nào là vecto chỉ phương của đường thẳng d?
A. ( 1; 2; 1)
B. ( 1; -2; -2)
C. (1; -1; -2)
D.( 1; 1;-2)
Lời giải:
+ Gọi mặt phẳng (P) đi qua điểm M và vuông góc với đường thẳng d1 có vectơ pháp
tuyến là
- Một điểm thuộc d2 là : N (1; 1; 2);
Mặt phẳng (Q) đi qua M và chứa đường thẳng d2 có vectơ pháp tuyến là:
- Đường thẳng cần tìm d = (P)∩(Q)
Vectơ chỉ phương của d là
Chọn D
Ví dụ 8: Trong không gian với hệ tọa độ Oxyz; cho đường thẳng
. Gọi d là đường thẳng qua A( -1; -1;2) ; cắt d1 và vuông góc với trục hoành. Biết phương trình tham số của đường thẳng d có dạng :
. Tính a+ b+ c?
A. – 3
B. 5
C. 7
D. - 1
Lời giải:
+ Gọi giao điểm của đường thẳng d và d1 là: H( 2+ 3t; 1- t; 2t)=>
Ta có vecto chỉ phương của trục hoành là:
, Khi đó:
Do
⇔ 3+ 3t= 0 nên t= - 1 => tọa độ H( -1; 2; - 2)
+ Đường thẳng d cần tìm là đường thẳng AH: đi qua A(-1; -1;2) và vecto chỉ phương
=> Phương trình đường thẳng d:
Suy ra: a= -1; b=2 và c= 4 nên a+ b+ c= 5
Chọn B.
Ví dụ 9. Trong không gian với hệ tọa độ Oxyz; cho hai đường thẳng
. Phương trình đường thẳng d vuông góc với (P): 7x+ y- 4z= 0 và cắt hai đường thẳng d1; d2 là:
A:
B.
C.
D. Đáp án khác
Lời giải:
Gọi giao điểm của đường thẳng d với hai đường thẳng d1; d2 lần lượt là A và B.
+ Điểm A∈ d1 nên tọa độ A( 2a; 1- a; - 2+ a)
Điểm B∈ d2 nên tọa độ B( - 1+ 2b; 1+ b; 3)
=>
+ Mặt phẳng (P) có vectơ pháp tuyến
+ Do đường thẳng d vuông góc với mặt phẳng ( P) nên hai vecto AB→ và np→ cùng phương
⇔ có một số k thỏa mãn
⇔
+ Đường thẳng d đi qua điểm A( 2; 0; -1) và có vectơ chỉ phương
Vậy phương trình của d là:
Chọn A.
C. Bài tập vận dụng
Câu 1:
Trong không gian với hệ tọa độ Oxyz, cho điểm A(-2; -1; 1) và hai đường thẳng
. Viết phương trình đường thẳng d đi qua điểm A vuông góc với đường thẳng d1 và cắt đường thẳng d2.
A.
B.
C.
D. Đáp án khác
Lời giải:
+ Gọi ( P) là mặt phẳng qua A vuông góc với đương thẳng d1.
Đường thẳng d1 có vecto chỉ phương là (1; 2; -2) nên một vecto pháp tuyến của mặt phẳng (P) là:
=> Phương trình mặt phẳng (P) là: 1( x+ 2) + 2( y+1) – 2( z- 1) =0 Hay x+ 2y – 2z + 6= 0
+Gọi giao điểm của đường thẳng d2 và mặt phẳng ( P) là điểm B
Do B thuộc d2 nên tọa độ B( - 2t; - 1- t; t) . Thay tọa độ điểm B vào phương trình mặt phẳng (P) ta được : - 2t + 2( - 1- t) - 2t+ 6 = 0 ⇔ - 2t – 2 – 2t- 2t+ 6= 0 ⇔ - 6t +4= 0 ⇔ t= 2/3 => B( (- 4)/3; (- 5)/3; 2/3)
+ Đường thẳng d cần tìm là đường thẳng AB: Đi qua A( -2; -1; 1) nhận vecto
chọn ( 2; -2; - 1).
=> Phương trình chính tắc của đường thẳng AB:
Chọn B.
Câu 2:
Trong không gian với hệ tọa độ Oxyz; cho hai đường thẳng
. Phương trình đường thẳng d đi qua điểm A( -2; 1; -3) vuông góc với d1 và cắt d2 là:
A.
B.
C.
D.
Lời giải:
+ Gọi giao điểm của của d và d2 là B.
Do B thuộc d2 nên tọa độ B( 3- 2t; t; 4+ t ) =>
+ Đường thẳng d1 có vectơ chỉ phương
+ Do đường thẳng d vuông góc với d1 nên
=>
= 0
⇔ 1( 5- 2t) – 3( t- 1) + 1( 7+ t)= 0 ⇔ 5- 2t – 3t + 3+ 7+ t= 0 ⇔ - 4t + 15= 0 nên t= 15/4
+ Đường thẳng d đi qua điểm A (-2; 1; -3) và có vectơ chỉ phương
chọn vecto chỉ phương ( -10; 11; 43)
Vậy phương trình của d là:
Chọn A.
Câu 3:
Cho hai đường thẳng:
và điểm A (0; 0; 1). Đường thẳng d đi qua A,vuông góc với d1 và cắt d2. Trong các điểm sau điểm nào thuộc đường thẳng d?
A. ( - 5; - 6; 9)
B.( 5; - 6; 7)
C. ( -10; 12; 17)
D. ( 1; 1; 2)
Lời giải:
- Gọi mặt phẳng (P) đi qua điểm A (0; 0; 1) và vuông góc với đường thẳng d1 có vectơ pháp tuyến là
Phương trình mặt phẳng (P) là: -2.(x – 0) – 3 . (y – 0) + 1. (z – 1) = 0 hay - 2x – 3y+ z- 1 = 0 ⇔ 2x+ 3y – z+ 1= 0
-Gọi giao điểm của mặt phẳng (P) và đường thẳng d2 là B
B thuộc d2 nên tọa độ B( 1- t; 3; - 2+ 2t)
Thay tọa độ ( B) vào phương trình mặt phẳng (P) ta được:
2( 1- t) + 3. 3- ( - 2+ 2t) + 1= 0
⇔ 2- 2t + 9 + 2- 2t + 1= 0
⇔ - 4t + 14= 0 ⇔ t= 7/2 =>
- Đường thẳng cần tìm là đường thẳng đi qua 2 điểm A, B
Vectơ chỉ phương của d là:
Vậy phương trình đường thẳng d là:
Cho t= 2 ta được điểm I( -10; 12; 17) thuộc đường thẳng d .
Chọn C.
Câu 4:
Cho đường thẳng:
và hai điểm M( 1; -2; -1); N(0; 1; 2) . Viết phương trình đường thẳng d đi qua A (1; 0; 0 ), vuông góc với MN và cắt d1.
A.
B.
C.
D.
Lời giải:
+ Gọi giao điểm của d và d1 là B( -2+ 2t; t; 1- t)
+ Khi đó đường thẳng d chính là đường thẳng AB nên đường thẳng d nhận vecto
làm vecto chỉ phương
+ Do đường thẳng d vuông góc với đường thẳng MN
=>
=> - 1( - 3- 2t) + 3. t+ 3( 1- t) = 0 ⇔ 3+ 2t +3t + 3- 3t= 0 ⇔ 2t+ 6= 0 ⇔ t= - 2 => B( - 6; - 2; 3)
+ Đường thẳng d đi qua A (1; 0;0) nhận vecto
làm vecto chỉ phương
=> Phương trình đường thẳng d:
Chọn D.
Câu 5:
Trong không gian với hệ toạ độ Oxyz, đường thẳng d đi qua điểm A( -1; 2; 3) vuông góc với đường thẳng
và cắt trục hoành. Hỏi đường thẳng d vuông góc với mặt phẳng nào trong các mặt phẳng sau
A. 4x+ y- 10= 0
B. 2x+ y- 6z+ 1= 0
C. x+ 2y- z+ 1= 0
D. – x+ 2y- 2z= 0
Lời giải:
Gọi
Ta có
, Khi đó:
Do
⇔ - 2m- 2+ 4- 3= 0 ⇔ m=-1/2 ⇒
⇒
Suy ra một vecto chỉ phương của đường thẳng là:
Phương trình của d đương thẳng d:
+ Xét mặt phẳng (P): 4x + y- 10= 0 có vecto pháp tuyến
=>
Đường thẳng d vuông góc với mặt phẳng (P).
Chọn A .
Câu 6:
Trong không gian với hệ tọa độ Oxyz; cho điểm A(-1; 2; 0); B( 2; 1;1) và
C( 2; 3; 2). Gọi G là trọng tâm của tam giác ABC. Đường thẳng d đi qua G vuông góc với trục tung và cắt đường thẳng
. Viết phương trình đường thẳng d?
A.
B.
C.
D.
Lời giải:
+ Do G là trọng tâm của tam giác ABC nên tọa độ G( 1; 2;1) .
+ Gọi giao điểm của đường thẳng d và ∆ là: H( 1- t; - 2+ 2t; 2)=>
Ta có vecto chỉ phương của trục tung là:
, Khi đó:
Do
⇔ 2t- 4= 0 ⇔ t= 2 nên tọa độ H( -1; 2; 2)
+ Đường thẳng d cần tìm là đường thẳng GH: đi qua G( 1; 2; 1) và vecto chỉ phương
=> Phương trình đường thẳng d:
Chọn D.
Câu 7:
Trong không gian với hệ tọa độ Oxyz; cho hai đường thẳng
. Gọi d là đường thẳng qua I( 1; 1;1); cắt d1 và vuông góc với d2. Trong các vecto sau; vecto nào là vecto chỉ phương của đường thẳng d?
A. (-3; 1; -3)
B. ( -3; -1; 3)
C. (-3; 1; 3)
D.( 3; 1; 3)
Lời giải:
+ Gọi mặt phẳng (P) đi qua điểm I và vuông góc với đường thẳng d1 có vectơ pháp tuyến
là
- Một điểm thuộc d2 là : O(0; 0;0);
Mặt phẳng (Q) đi qua I và chứa đường thẳng d2 có vectơ pháp tuyến là:
- Đường thẳng cần tìm d = (P)∩(Q)
Vectơ chỉ phương của d là
Chọn D
Câu 8:
Trong không gian với hệ tọa độ Oxyz; cho đường thẳng
. Gọi d là đường thẳng qua A(3; 2; 2) ; cắt d1 và vuông góc với trục hoành. Biết phương trình tham số của đường thẳng d có dạng :
. Tính a.b.c?
A. 8
B. - 12
C. - 8
D. 12
Lời giải:
+ Gọi giao điểm của đường thẳng d và d1 là: H( 3t; -2+ t; 2- t)=>
Ta có vecto chỉ phương của trục hoành là:
, Khi đó:
Do
⇔ 3t - 3= 0 nên t= 1 => tọa độ H( 3; - 1; 1)
+ Đường thẳng d cần tìm là đường thẳng AH: đi qua A( 3; 2; 2) và vecto chỉ phương
=> Phương trình đường thẳng d:
Suy ra: a= 2; b= - 3 và c= 2 nên abc= - 12
Chọn B.
Bài giảng: Cách viết phương trình đường thẳng nâng cao - Cô Nguyễn Phương Anh (Giáo viên VietJack)
(199k) Xem Khóa học Toán 12 KNTTXem Khóa học Toán 12 CDXem Khóa học Toán 12 CTST
Xem thêm các dạng bài tập Toán lớp 12 ôn thi Tốt nghiệp có lời giải hay khác:
- Viết phương trình đường thẳng đi qua 1 điểm, song song với mặt phẳng và vuông góc với đường thẳng
- Viết phương trình đường thẳng nằm trong mặt phẳng, đi qua 1 điểm và vuông góc với đường thẳng
- Viết phương trình đường thẳng đi qua 1 điểm, cắt đường thẳng d và song song với mặt phẳng
- Viết phương trình đường thẳng đi qua 1 điểm và vuông góc với 2 đường thẳng
- Viết phương trình đường thẳng đi qua 1 điểm và cắt hai đường thẳng
Đã có app VietJack trên điện thoại, giải bài tập SGK, SBT Soạn văn, Văn mẫu, Thi online, Bài giảng....miễn phí. Tải ngay ứng dụng trên Android và iOS.
Theo dõi chúng tôi miễn phí trên mạng xã hội facebook và youtube:Nếu thấy hay, hãy động viên và chia sẻ nhé! Các bình luận không phù hợp với nội quy bình luận trang web sẽ bị cấm bình luận vĩnh viễn.
- Giải Tiếng Anh 12 Global Success
- Giải sgk Tiếng Anh 12 Smart World
- Giải sgk Tiếng Anh 12 Friends Global
- Lớp 12 Kết nối tri thức
- Soạn văn 12 (hay nhất) - KNTT
- Soạn văn 12 (ngắn nhất) - KNTT
- Giải sgk Toán 12 - KNTT
- Giải sgk Vật Lí 12 - KNTT
- Giải sgk Hóa học 12 - KNTT
- Giải sgk Sinh học 12 - KNTT
- Giải sgk Lịch Sử 12 - KNTT
- Giải sgk Địa Lí 12 - KNTT
- Giải sgk Giáo dục KTPL 12 - KNTT
- Giải sgk Tin học 12 - KNTT
- Giải sgk Công nghệ 12 - KNTT
- Giải sgk Hoạt động trải nghiệm 12 - KNTT
- Giải sgk Giáo dục quốc phòng 12 - KNTT
- Giải sgk Âm nhạc 12 - KNTT
- Giải sgk Mĩ thuật 12 - KNTT
- Lớp 12 Chân trời sáng tạo
- Soạn văn 12 (hay nhất) - CTST
- Soạn văn 12 (ngắn nhất) - CTST
- Giải sgk Toán 12 - CTST
- Giải sgk Vật Lí 12 - CTST
- Giải sgk Hóa học 12 - CTST
- Giải sgk Sinh học 12 - CTST
- Giải sgk Lịch Sử 12 - CTST
- Giải sgk Địa Lí 12 - CTST
- Giải sgk Giáo dục KTPL 12 - CTST
- Giải sgk Tin học 12 - CTST
- Giải sgk Hoạt động trải nghiệm 12 - CTST
- Giải sgk Âm nhạc 12 - CTST
- Lớp 12 Cánh diều
- Soạn văn 12 Cánh diều (hay nhất)
- Soạn văn 12 Cánh diều (ngắn nhất)
- Giải sgk Toán 12 Cánh diều
- Giải sgk Vật Lí 12 - Cánh diều
- Giải sgk Hóa học 12 - Cánh diều
- Giải sgk Sinh học 12 - Cánh diều
- Giải sgk Lịch Sử 12 - Cánh diều
- Giải sgk Địa Lí 12 - Cánh diều
- Giải sgk Giáo dục KTPL 12 - Cánh diều
- Giải sgk Tin học 12 - Cánh diều
- Giải sgk Công nghệ 12 - Cánh diều
- Giải sgk Hoạt động trải nghiệm 12 - Cánh diều
- Giải sgk Giáo dục quốc phòng 12 - Cánh diều
- Giải sgk Âm nhạc 12 - Cánh diều


Giải bài tập SGK & SBT
Tài liệu giáo viên
Sách
Khóa học
Thi online
Hỏi đáp

