Viết phương trình đường thẳng đi qua 1 điểm, cắt đường thẳng d và song song với mặt phẳng
Bài viết Viết phương trình đường thẳng đi qua 1 điểm, cắt đường thẳng d và song song với mặt phẳng với phương pháp giải chi tiết giúp học sinh ôn tập, biết cách làm bài tập Viết phương trình đường thẳng đi qua 1 điểm, cắt đường thẳng d và song song với mặt phẳng.
- Cách giải bài tập Viết phương trình đường thẳng đi qua 1 điểm, cắt đường thẳng d và song song với mặt phẳng
- Ví dụ minh họa Viết phương trình đường thẳng đi qua 1 điểm, cắt đường thẳng d và song song với mặt phẳng
- Bài tập vận dụng Viết phương trình đường thẳng đi qua 1 điểm, cắt đường thẳng d và song song với mặt phẳng
Viết phương trình đường thẳng đi qua 1 điểm, cắt đường thẳng d và song song với mặt phẳng
(199k) Xem Khóa học Toán 12 KNTTXem Khóa học Toán 12 CDXem Khóa học Toán 12 CTST
Bài giảng: Cách viết phương trình đường thẳng cơ bản - Cô Nguyễn Phương Anh (Giáo viên VietJack)
A. Phương pháp giải
+ Gọi giao điểm của đường thẳng d và Δ là M
=> Tọa độ của M( ..) ( theo tham số t; dựa vào phương trình đường thẳng d) .
=> Đường thẳng Δ nhận vecto
( ....) làm vecto chỉ phương.
+ Mặt phẳng (P) có vecto pháp tuyến n→
+ Do đường thẳng Δ song song với mặt phẳng ( P) nên ta có:
n→ .u→ = 0 => Phương trình ẩn t
=> t=...=> tọa độ điểm M
B. Ví dụ minh họa
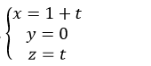
Ví dụ 1. Trong không gian với hệ tọa độ Oxyz; cho điểm A( 1; 2; -1 ) và đường thẳng
. Phương trình đường thẳng đi qua điểm A, cắt d và song song với mặt phẳng (Q): x+ y- z+ 3= 0 là:
A.
B.
C.
D.
Gọi Δ là đường thẳng cần tìm
+ Gọi giao điểm của hai đường thẳng d và Δ là B .
Do B thuộc d nên B( 3+ t; 3+ 3t; 2t)=>
+ Mặt phẳng ( Q) có vectơ pháp tuyến
+ Do đường thẳng Δ song song với mặt phẳng ( Q) nên :
=>>
⇔ 1( 2+ t)+ 1( 1+ 3t)- 1( 2t+ 1) = 0
⇔ 2+ t+1+ 3t – 2t- 1= 0 ⇔ 2t + 2= 0
⇔ t= - 1
+ Đường thẳng Δ đi qua A( 1; 2; -1) và nhận vecto
làm vecto chỉ
phương nên phương trình của Δ là:
Chọn A.
Ví dụ 2. Cho hai điểm A( 1;1;0) và B( 2; -1; 2). Viết phương trình đường thẳng d đi qua M(1;0;0) cắt đường thẳng AB và song song với mặt phẳng (P): 2x+ y+ z- 1= 0.
A.
B.
C.
D.
Lời giải:
+ Đường thẳng AB: đi qua A( 1; 1;0); nhận vecto
làm vecto chỉ phương
=> Phương trình AB:
+ Gọi giao điểm của đường thẳng d và AB là H(1+ t; 1-2t;2t)
+ đường thẳng d nhận vecto
làm vecto chỉ phương
+ Mặt phẳng (P) nhận vecto
làm vecto pháp tuyến.
+ Do đường thẳng d song song với mặt phẳng (P) nên
⇔ 2t+ 1= 0 ⇔ t= 1/2 => H(3/2;0;1)
+ Đường thẳng d đi qua M( 1; 0;0) và nhận vecto
làm vecto chỉ phương; chọn vecto ( 1; 0; 2)
=> Phương trình đường thẳng d:
Chọn D.
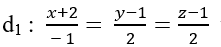
Ví dụ 3. Cho đường thẳng
; ba điểm A(1;1;1); B( -2; 1; -1) và C( 1; 0;2). Viết phương trình đường thẳng Δ qua O cắt d và song song với mặt phẳng (ABC)
A.
B.
C.
D. Tất cả sai
Lời giải:
+ Ta có: (AB) ⃗( -3;0;-2); (BC) ⃗(3; -1;3)
Mặt phẳng (ABC) nhận vecto
làm vecto pháp tuyến.
+ Gọi giao điểm của đường thẳng d và Δ là M( 1-t; 2t; 2+ t)
Đường thẳng Δ nhận vecto
làm vecto chỉ phương
+ Do đường thẳng d song song với mặt phẳng (ABC) nên: n→ .OM→=0
⇔ -2(1- t) + 3.2t + 3.( 2+ t) = 0 ⇔ - 2+ 2t+ 6t+ 6+ 3t = 0
⇔ 11t+ 4= 0 ⇔ t= (- 4)/11
+ đường thẳng OM: qua O nhận vecto
làm vecto chỉ phương chọn
(15; - 8;18)
=> Phương trình OM:
Chọn B.
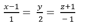
Ví dụ 4. Cho đường thẳng
và mặt phẳng (P): 2x- 3y- 1= 0. Viết phương trình đường thẳng Δ đi qua M( -2; 1; 3) cắt đường thẳng d và song song với mặt phẳng (P).
A.
B.
C.
D. Đáp án khác
Lời giải:
+ Mặt phẳng (P) có vecto pháp tuyến
.
+ Gọi giao điểm của đường thẳng d và Δ là A( 1+2t; - 2+ t;1- t).
+ Đường thẳng Δ nhận vecto
làm vecto chỉ phương.
Do đường thẳng Δ song song với mặt phẳng (P) nên: (MA→ .n→=0 ⇔ 2( 3+ 2t) – 3( - 3+ t) + 0( - 2- t) = 0 ⇔ 6+ 4t+ 9 – 3t = 0 ⇔ t= -15
+ Đường thẳng Δ: đi qua M( -2; 1; 3) và nhận vecto
làm vecto chỉ
phương nên phương trình Δ:
Chọn A.
Ví dụ 5. Cho mặt phẳng (P) chứa đường thẳng
và song song với
. Đường thẳng d có phương trình:
. Gọi đường thẳng Δ đi qua M( 0; -1; 1); cắt d và song song với (P). Tìm giao điểm của đường thẳng d và Δ?
A. ( - 4; 2; -6)
B. (1; 2; - 1)
C. ( 0; 2; - 2)
D. (6; 2; 4)
Lời giải:
+ Đường thẳng d1 có vecto chỉ phương
và đi qua A(-1; 2; 2)
+ Đường thẳng d2 có vecto chỉ phương
=> Mặt phẳng (P) có vecto pháp tuyến
.
+ Gọi giao điểm của d và Δ là H( 3- t; 2; 1- t )
Đường thẳng Δ nhận vecto
làm vecto chỉ phương.
+ Do đường thẳng Δ song song với (P) nên:n→ .MH→=0 ⇔ 4(3- t)+ 3. 3 – 1( -t) = 0 ⇔ 12- 4t +9 + t= 0 ⇔ 21- 3t= 0 ⇔t= 7
=> Giao điểm của đường thẳng d và Δ là H( - 4; 2; - 6)
Chọn A.
Ví dụ 6. Cho điểm A( -2; 1; 3) và mặt phẳng (P): 2x+2y+ z+ 10= 0. Viết phương trình đường thẳng d qua M( -1; -1; 0) cắt đường thẳng OA và song song với (P)?
A.
B.
C.
D.
Lời giải:
+ Đường thẳng OA: qua O(0; 0;0) và nhận vecto
làm vecto chỉ phương
=> Phương trình OA:
+ Gọi giao điểm của đường thẳng OA và d là H( -2t; t; 3t)
Đường thẳng d nhận vecto
làm vecto chỉ phương.
+ Mặt phẳng (P) có vecto pháp tuyến
+ Do đường thẳng d song song với (P) nên: MH→ .n→=0 ⇔ 2( 1- 2t) +2( t+1) +1.3t= 0 ⇔ 2- 4t+2t+ 2+ 3t = 0 ⇔ t +4= 0 ⇔ t= -4
+ Đường thẳng d nhận vecto
làm vecto chỉ phương
=> Phương trình d:
Chọn C.
C. Bài tập vận dụng
Câu 1:
Trong không gian với hệ tọa độ Oxyz; cho điểm A(-2;2;2) và đường thẳng
. Phương trình đường thẳng đi qua điểm A, cắt d và song song với mặt phẳng (Q): 2x+ y + z+ 30= 0 là:
A.
B.
C.
D.
Lời giải:
Gọi Δ là đường thẳng cần tìm
+ Gọi giao điểm của hai đường thẳng d và Δ là B .
Do B thuộc d nên B(-t; -1+ 2t; 2t)=>
+ Mặt phẳng ( Q) có vectơ pháp tuyến
+ Do đường thẳng Δ song song với mặt phẳng ( Q) nên :
=>
=0 ⇔ 2( 2-t) + 1( 2t- 3) + 1( 2t- 2) = 0
⇔ 4- 2t+ 2t – 3 + 2t – 2=0
⇔ 2t – 1= 0 ⇔ t= 1/2
+ Đường thẳng Δ đi qua A( -2; 2; 2) và nhận vecto
làm vecto chỉ phương chọn ( 3; - 4; -2)
nên phương trình của Δ là:
Chọn B.
Câu 2:
Cho hai điểm A(1; -2; 1) và B(0;0;1). Viết phương trình đường thẳng d đi qua M( 2; 2;1) cắt đường thẳng AB và song song với mặt phẳng (P): -x+ y+ z +1= 0.
A.
B.
C.
D.
Lời giải:
+ Đường thẳng AB: đi qua A( 1;-2;1); nhận vecto
làm vecto chỉ phương
=> Phương trình AB:
+ Gọi giao điểm của đường thẳng d và AB là H( 1- t; -2+2t; 1)
+ đường thẳng d nhận vecto
làm vecto chỉ phương .
+ Mặt phẳng (P) nhận vecto
làm vecto pháp tuyến.
+ Do đường thẳng d song song với mặt phẳng (P) nên MH→ .n&rarrr;=0 ⇔ - 1( -1- t)+1(2t- 4) + 0.1 = 0 ⇔ 1+ t + 2t - 4= 0 ⇔ t= 1 => H( 0;0; 1)
+ Đường thẳng d đi qua M( 2;2;1) và nhận vecto
làm vecto chỉ phương.
=> Phương trình đường thẳng d:
Chọn C.
Câu 3:
Cho đường thẳng
ba điểm A(0;1; 2); B( 2; 1; -1) và C(-1;-1;0). Viết phương trình đường thẳng Δ qua O cắt d và song song với mặt phẳng (ABC)
A.
B.
C.
D. Tất cả sai
Lời giải:
+ Ta có:
Mặt phẳng (ABC) nhận vecto
làm vecto pháp tuyến.
+ Gọi giao điểm của đường thẳng d và Δ là M(2t; t; - 2+t)
Đường thẳng Δ nhận vecto
làm vecto chỉ phương
+ Do đường thẳng d song song với mặt phẳng (ABC) nên: X→ .OM→=0 ⇔ -6. 2t + 7.t - 4.( -2+ t) = 0 ⇔ -12t + 7t + 8 – 4t= 0 ⇔ -9t+ 8= 0 ⇔ t= 8/9
+ đường thẳng OM: qua O nhận vecto
làm vecto chỉ phương chọn
( 8;4;-5).
=> Phương trình OM:
Chọn A.
Câu 4:
Cho đường thẳng
và mặt phẳng (P): x- y+z= 0. Viết phương trình đường thẳng Δ đi qua M( 1;0;2) cắt đường thẳng d và song song với mặt phẳng (P).
A.
B.
C.
D. Đáp án khác
Lời giải:
+ Mặt phẳng (P) có vecto pháp tuyến
.
+ Gọi giao điểm của đường thẳng d và Δ là A( t; -t; t).
+ Đường thẳng Δ nhận vecto
làm vecto chỉ phương.
Do đường thẳng Δ song song với mặt phẳng (P) nên: MA→.n→=0 ⇔ 1( t-1) -1(-t) + 1( t- 2) = 0 ⇔ t- 1 + t + t- 2= 0 ⇔ 3t- 3= 0 ⇔ t= 1
+ Đường thẳng Δ: đi qua M(1; 0; 2) và nhận vecto (MA) ⃗(0; -1; -1) làm vecto chỉ phương nên phương trình Δ:
Chọn A.
Câu 5:
Cho đường thẳng
; mặt phẳng (P) chứa đường thẳng
và song song với
.
Đường thẳng Δ đi qua M(1;1;1); cắt d và song song với (P). Tìm một vecto chỉ phương của đường thẳng Δ?
A. (0; 1; -5)
B. ( 0; -1; - 5)
C. ( 2; 0; 7)
D.( -2; 1; -3)
Lời giải:
+ Đường thẳng d1 có vecto chỉ phương
và đi qua A( - 2; 0; 1)
+ Đường thẳng d2 có vecto chỉ phương
=> Mặt phẳng (P) có vecto pháp tuyến
.
+ Gọi giao điểm của d và Δ là H(-1+ t; -2+2t; -2t )
Đường thẳng Δ nhận vecto
làm vecto chỉ phương.
+ Do đường thẳng Δ song song với (P) nên: n→ .MH→=0 ⇔ 5(t-2) - 5( 2t- 3) – 5( -2t- 1) = 0 ⇔ t- 2- ( 2t- 3) – ( -2t- 1)= 0 ⇔ t-2- 2t + 3 + 2t + 1= 0 ⇔ t+ 2= 0 ⇔ t= -2
=> đường thẳng Δ đi qua M( 1; 1;1) nhận vecto
làm vecto chỉ phương .
Chọn A.
Câu 6:
Cho điểm A(2; 1; 4) và mặt phẳng (P): -2x+2y - z+ 6= 0. Viết phương trình đường thẳng d qua M(2;2;0) cắt đường thẳng OA và song song với (P)?
A.
B.
C.
D.
Lời giải:
+ Đường thẳng OA: qua O(0; 0;0) và nhận vecto
làm vecto chỉ phương
=> Phương trình OA:
+ Gọi giao điểm của đường thẳng OA và d là H( 2t; t; 4t)
Đường thẳng d nhận vecto
làm vecto chỉ phương.
+ Mặt phẳng (P) có vecto pháp tuyến
+ Do đường thẳng d song song với (P) nên: MH→ .n→=0 ⇔ -2(2t - 2) +2( t-2) -1.4t= 0 ⇔ -4t + 4+ 2t – 4- 4t = 0 ⇔ -6t= 0 ⇔ t= 0
+ Đường thẳng d nhận vecto
làm vecto chỉ phương
=> Phương trình d:
Chọn C.
Bài giảng: Cách viết phương trình đường thẳng nâng cao - Cô Nguyễn Phương Anh (Giáo viên VietJack)
(199k) Xem Khóa học Toán 12 KNTTXem Khóa học Toán 12 CDXem Khóa học Toán 12 CTST
Xem thêm các dạng bài tập Toán lớp 12 ôn thi Tốt nghiệp có lời giải hay khác:
- Viết phương trình đường thẳng đi qua 1 điểm, song song với mặt phẳng và vuông góc với đường thẳng
- Viết phương trình đường thẳng nằm trong mặt phẳng, đi qua 1 điểm và vuông góc với đường thẳng
- Viết phương trình đường thẳng đi qua 1 điểm và vuông góc với 2 đường thẳng
- Viết phương trình đường thẳng đi qua 1 điểm và cắt hai đường thẳng
- Viết phương trình đường thẳng đi qua 1 điểm, vuông góc với đường thẳng d1 và cắt đường thẳng d2
Đã có app VietJack trên điện thoại, giải bài tập SGK, SBT Soạn văn, Văn mẫu, Thi online, Bài giảng....miễn phí. Tải ngay ứng dụng trên Android và iOS.
Theo dõi chúng tôi miễn phí trên mạng xã hội facebook và youtube:Nếu thấy hay, hãy động viên và chia sẻ nhé! Các bình luận không phù hợp với nội quy bình luận trang web sẽ bị cấm bình luận vĩnh viễn.
- Giải Tiếng Anh 12 Global Success
- Giải sgk Tiếng Anh 12 Smart World
- Giải sgk Tiếng Anh 12 Friends Global
- Lớp 12 Kết nối tri thức
- Soạn văn 12 (hay nhất) - KNTT
- Soạn văn 12 (ngắn nhất) - KNTT
- Giải sgk Toán 12 - KNTT
- Giải sgk Vật Lí 12 - KNTT
- Giải sgk Hóa học 12 - KNTT
- Giải sgk Sinh học 12 - KNTT
- Giải sgk Lịch Sử 12 - KNTT
- Giải sgk Địa Lí 12 - KNTT
- Giải sgk Giáo dục KTPL 12 - KNTT
- Giải sgk Tin học 12 - KNTT
- Giải sgk Công nghệ 12 - KNTT
- Giải sgk Hoạt động trải nghiệm 12 - KNTT
- Giải sgk Giáo dục quốc phòng 12 - KNTT
- Giải sgk Âm nhạc 12 - KNTT
- Giải sgk Mĩ thuật 12 - KNTT
- Lớp 12 Chân trời sáng tạo
- Soạn văn 12 (hay nhất) - CTST
- Soạn văn 12 (ngắn nhất) - CTST
- Giải sgk Toán 12 - CTST
- Giải sgk Vật Lí 12 - CTST
- Giải sgk Hóa học 12 - CTST
- Giải sgk Sinh học 12 - CTST
- Giải sgk Lịch Sử 12 - CTST
- Giải sgk Địa Lí 12 - CTST
- Giải sgk Giáo dục KTPL 12 - CTST
- Giải sgk Tin học 12 - CTST
- Giải sgk Hoạt động trải nghiệm 12 - CTST
- Giải sgk Âm nhạc 12 - CTST
- Lớp 12 Cánh diều
- Soạn văn 12 Cánh diều (hay nhất)
- Soạn văn 12 Cánh diều (ngắn nhất)
- Giải sgk Toán 12 Cánh diều
- Giải sgk Vật Lí 12 - Cánh diều
- Giải sgk Hóa học 12 - Cánh diều
- Giải sgk Sinh học 12 - Cánh diều
- Giải sgk Lịch Sử 12 - Cánh diều
- Giải sgk Địa Lí 12 - Cánh diều
- Giải sgk Giáo dục KTPL 12 - Cánh diều
- Giải sgk Tin học 12 - Cánh diều
- Giải sgk Công nghệ 12 - Cánh diều
- Giải sgk Hoạt động trải nghiệm 12 - Cánh diều
- Giải sgk Giáo dục quốc phòng 12 - Cánh diều
- Giải sgk Âm nhạc 12 - Cánh diều


Giải bài tập SGK & SBT
Tài liệu giáo viên
Sách
Khóa học
Thi online
Hỏi đáp

