Viết phương trình đường thẳng đi qua 1 điểm và cắt hai đường thẳng
Bài viết Viết phương trình đường thẳng đi qua 1 điểm và cắt hai đường thẳng với phương pháp giải chi tiết giúp học sinh ôn tập, biết cách làm bài tập Viết phương trình đường thẳng đi qua 1 điểm và cắt hai đường thẳng.
Viết phương trình đường thẳng đi qua 1 điểm và cắt hai đường thẳng
(199k) Xem Khóa học Toán 12 KNTTXem Khóa học Toán 12 CDXem Khóa học Toán 12 CTST
Bài giảng: Cách viết phương trình đường thẳng cơ bản - Cô Nguyễn Phương Anh (Giáo viên VietJack)
A. Phương pháp giải
Cách 1:
Bước 1: Viết phương trình mặt phẳng (α) đi qua điểm M và chứa đường thẳng d1
Bước 2: Tìm giao điểm A = (α)∩d2
Bước 3: Đường thẳng cần tìm là đường thẳng đi qua 2 điểm M, A
Cách 2:
Bước 1: Viết phương trình mặt phẳng (α) đi qua điểm M và chứa đường thẳng d1
Bước 2: Viết phương trình mặt phẳng (β) đi qua điểm M và chứa đường thẳng d2
Bước 3: Đường thẳng cần tìm d = (α)∩(β)
Cách 3:
Gọi A, B lần lượt là giao điểm của d và d1, d và d2
Đường thẳng d đi qua M nên A, B, M thẳng hàng
=>
cùng phương =>
B. Ví dụ minh họa
Ví dụ 1: Trong không gian với hệ tọa độ Oxyz. Cho đường thẳng
. Viết phương trình đường thẳng Δ đi
qua điểm A(0; 2; -4) và cắt hai đường thẳng d1 và d2
A.
B.
C.
D. Tất cả sai
Lời giải:
+ Gọi (P) là mặt phẳng đi qua A và chứa d1
Đường thẳng d1 qua B( 2 ; 1 ; -1) và có vecto chỉ phương
Ta có :
Mặt phẳng (P) có một vecto phap tuyến là :
+ Gọi (Q) là mặt phẳng đi qua A và chứa d2
Đường thẳng d2 qua C( -1; 3; -2) và có vecto chỉ phương
Ta có:
Mặt phẳng (Q) có một vecto phap tuyến là :
+ Khi đó đường thẳng Δ cần tìm là giao tuyến của hai mặt phẳng (P) và (Q)
=> Một vecto chỉ phương của đường thẳng Δ là:
Do vậy phương trình Δ là:
Chọn A.
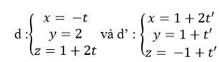
Ví dụ 2 : Phương trình đường thẳng Δ đi qua và cắt cả hai đường thẳng
là :
A.
B.
C.
D.
Lời giải:
+ Gọi (P) là mặt phẳng chứa đường thẳng d và đi qua điểm A.
Đường thẳng d đi qua điểm B( 1;0 ;3) và có vecto chỉ phương
Ta có :
Mặt phẳng (P) có một vecto pháp tuyến là :
+ Gọi (Q) là mặt phẳng đi qua A và chứa d’
Đường thẳng d’ qua C( 0; -1; 2) và có vecto chỉ phương
Ta có:
Mặt phẳng (Q) có một vecto phap tuyến là :
+ Đường thẳng Δ là giao tuyến của hai mặt phẳng (P) và (Q) nên đường thẳng Δ có
vectơ chỉ phương là
và đi qua A nên có
phương trình tham số là:
Chọn D.
Ví dụ 3: Viết phương trình đường thẳng d đi qua M (1; 1; 0) và cắt hai đường thẳng:
A.
B.
C.
D. Tất cả sai
Lời giải:
Cách 1:
- Một điểm thuộc d1 là : A (1; 0; 0)
=>
Mặt phẳng (α) đi qua điểm M và chứa đường thẳng d1 có vectơ pháp tuyến là
=>
Phương trình mặt phẳng (α) là: 0.(x – 1) + 0. (y – 1) + 1. (z – 0) = 0 hay z = 0
- Giao điểm B = (α)∩d2 là (0; 0; 0)
- Đường thẳng cần tìm là đường thẳng đi qua 2 điểm M, B
Vectơ chỉ phương của d là:
Vậy phương trình đường thẳng d là:
Cách 2:
- Tương tự cách 1: Phương trình mặt phẳng (α) là: z = 0
- Một điểm thuộc d2 là : A (0; 0; 0)
=>
Mặt phẳng (β) đi qua điểm M và chứa đường thẳng d2 có vectơ pháp tuyến là
=>
Phương trình mặt phẳng (β) là: (-1) .(x – 1) + 1. (y – 1) + 0. (z – 0) = 0 hay –x + y = 0
- Đường thẳng cần tìm d = (α)∩(β)
Vectơ chỉ phương của d là
=>
Vậy phương trình đường thẳng d là:
Cách 3:
Gọi A là giao điểm của d và d1 => A(1+t_1;-t_1;0)
Gọi B là giao điểm của d và d2 => B(0;0;2+t_2 )
=>
theo đề bài =>
cùng phương
=>
=>
=>
là 1 vectơ chỉ phương của đường thẳng d
Vậy phương trình đường thẳng d là:
Ví dụ 4: Viết phương trình đường thẳng d biết d đi qua điểm A (1; 2; 3) và cắt hai đường
thẳng
A.
B.
C.
D.
Lời giải:
- đường thẳng d1 có vecto chỉ phương
. Một điểm M thuộc d1 là M (0; -1; 2)
=>
Mặt phẳng (α) đi qua điểm A và chứa đường thẳng d1 có vectơ pháp tuyến là
=>
- Đường thẳng d2 có vecto chỉ phương
. Một điểm thuộc d2 là N (0; -2; 0)
=>
Mặt phẳng (β) đi qua điểm A và chứa đường thẳng d2 có vectơ pháp tuyến là
=>
- Đường thẳng cần tìm d = (α)∩(β)
Vectơ chỉ phương của d là
=>
Vậy phương trình đường thẳng d là:
Chọn B.
Ví dụ 5: Viết phương trình đường thẳng d biết d đi qua điểm M (3; 3; -2) và cắt hai
đường thẳng
A.
B.
C:
D.Đáp án khác
Lời giải:
-Đường thẳng d1 có vecto chỉ phương
. Một điểm thuộc d1 là : A (1; 2; 0)
=>
Mặt phẳng (α) đi qua điểm A và chứa đường thẳng d1 có vectơ pháp tuyến là
=>
Phương trình mặt phẳng (α) là: 7.(x – 1) – 4 . (y – 2) + 5. (z – 0) = 0 hay 7x – 4y + 5z + 1 = 0
- Giao điểm B = (α)∩d2 là ( -1; 1; 2)
- Đường thẳng cần tìm là đường thẳng đi qua 2 điểm M, B
Vectơ chỉ phương của d là: (BM) ⃗=(4;2; -4) hay chọn vectơ chỉ phương của d là:
Vậy phương trình đường thẳng d là:
Chọn C.
Ví dụ 6 : Trong không gian với hệ tọa độ Oxyz ; cho điểm I(1 ;1 ;2) hai đường thẳng
. Phương trình đường thẳng d đi qua điểm I và
cắt hai đường thẳng d1 ; d2 là.
A.
B.
C.
D.
Lời giải:
Gọi (P) là mặt phẳng qua I và chứa d1
Đường thẳng d1 đi qua M1( 3 ; -1 ; 4) và có vectơ chỉ phương
Mặt phẳng (P) có vectơ pháp tuyến:
Gọi (Q) là mặt phẳng qua I và chứa d2
Đường thẳng d2 đi qua M2( -2 ; 0 ;2) và có vectơ chỉ phương
Mặt phẳng (Q) có vectơ pháp tuyến
Đường thẳng d đi qua điểm I(1;1; 2) và có vectơ chỉ phương:
Vậy phương trình đường thẳng d là
Chọn D.
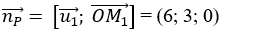
Ví dụ 7. Trong không gian với hệ tọa độ Oxyz; cho điểm A(1; 1; -2), đường thẳng
và mặt phẳng
. Đường thẳng Δ cắt d và (α) lần lượt tại M; N sao cho A là trung điểm của MN có phương trình là
A.
B.
C.
D.
Lời giải:
Ta có
.
Do A( 1; 1; -2) là trung điểm của MN nên tọa độ N( 1- 2t; t+ 3; - 4- 3t) .
Mặt khác
Khi đó Δ đi qua A(1; 1; -2) và
Chọn D.
Ví du 8. Trong không gian với hệ tọa độ Oxyz; cho điểm A( 1; 3; 2); B ( 3; 3; 0) và đường thẳng
. Gọi M là trung điểm của AB. Viết phương trình đường thẳng Δ đi qua H (1;1;1) và cắt hai đường thẳng d và OM?
A.
B.
C.
D.
Lời giải:
Tọa độ trung điểm của AB là: M(2; 3; 1)
Gọi (P) là mặt phẳng qua H và chứa d
Đường thẳng d đi qua M1 (0 ; -2 ;1) có vectơ chỉ phương
Mặt phẳng (P) có vectơ pháp tuyến:
Gọi (Q) là mặt phẳng qua H và chứa OM
Đường thẳng OM đi qua O (0; 0 ; 0) và có vectơ chỉ phương
Mặt phẳng (Q) có vectơ pháp tuyến
Đường thẳng Δ đi qua điểm H(1;1; 1) và có vectơ chỉ phương:
Vậy phương trình đường thẳng d là
Chọn D.
C. Bài tập vận dụng
Câu 1:
Trong không gian với hệ tọa độ Oxyz. Cho đường thẳng
. Viết phương trình đường thẳng Δ đi qua
điểm A( 1; 2;0) và cắt hai đường thẳng d1 và d2
A.
B.
C.
D. Tất cả sai
Lời giải:
+ Gọi (P) là mặt phẳng đi qua A và chứa d1
Đường thẳng d1 qua B(0 ; -1 ;1) và có vecto chỉ phương
Ta có :
Mặt phẳng (P) có một vecto phap tuyến là :
+ Gọi (Q) là mặt phẳng đi qua A và chứa d2
Đường thẳng d2 qua C( 1; -2; 0) và có vecto chỉ phương
Ta có:
Mặt phẳng (Q) có một vecto phap tuyến là :
+ Khi đó đường thẳng Δ cần tìm là giao tuyến của hai mặt phẳng (P) và (Q).
=> Một vecto chỉ phương của đường thẳng Δ là:
Do vậy phương trình Δ là:
Chọn A.
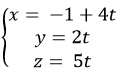
Câu 2:
Phương trình đường thẳng Δ đi qua A( -1 ; 0 ; 0) và cắt cả hai đường thẳng
là :
A.
B.
C.
D.
Lời giải:
+ Gọi (P) là mặt phẳng chứa đường thẳng d và đi qua điểm A.
Đường thẳng d đi qua điểm B(0 ; 2 ; 1) và có vecto chỉ phương
Ta có :
Mặt phẳng (P) có một vecto pháp tuyến là :
+ Gọi (Q) là mặt phẳng đi qua A và chứa d’
Đường thẳng d’ qua C( 1;1; -1) và có vecto chỉ phương
Ta có:
Mặt phẳng (Q) có một vecto phap tuyến là :
+ Đường thẳng Δ là giao tuyến của hai mặt phẳng (P) và (Q) nên đường thẳng Δ có
vectơ chỉ phương là
và đi qua A nên có phương trình tham số là:
Chọn D.
Câu 3:
Viết phương trình đường thẳng d đi qua M ( 3; 3; 3) và cắt hai đường thẳng:
A.
B.
C.
D. Tất cả sai
Lời giải:
- Một điểm thuộc d1 là : A (0; -2; 2)
=>
Mặt phẳng (α) đi qua điểm M và chứa đường thẳng d1 có vectơ pháp tuyến là
=>
Phương trình mặt phẳng (α) là: -3.(x – 3) + 1. (y – 3) + 4. (z – 3) = 0 hay – 3x + y+ 4z – 6= 0
- Giao điểm B = (α)∩d2 là ( t; t; 2) thay vào phương trình (α )ta được : - 3t + t+ 4.2 – 6= 0 ⇔ - 2t + 2= 0 ⇔ t= 1 => B( 1; 1; 2)
- Đường thẳng cần tìm là đường thẳng đi qua 2 điểm M, B
Vectơ chỉ phương của d là:
Vậy phương trình đường thẳng d là:
Chọn A
Câu 4:
Viết phương trình đường thẳng d biết d đi qua điểm A (2; 1; 0) và cắt hai đường thẳng
A.
B.
C.
D.
Lời giải:
- đường thẳng d1 có vecto chỉ phương
. Một điểm M thuộc d1 là M ( 1; -1; 2)
=>
Mặt phẳng (α) đi qua điểm A và chứa đường thẳng d1 có vectơ pháp tuyến là
=>
- Đường thẳng d2 có vecto chỉ phương
. Một điểm thuộc d2 là N ( 4; -2; 3)
=>
Mặt phẳng (β) đi qua điểm A và chứa đường thẳng d2 có vectơ pháp tuyến là
=>
- Đường thẳng cần tìm d = (α)∩(β)
Vectơ chỉ phương của d là
chọn ( 3; -6; -1)
Vậy phương trình đường thẳng d là:
Chọn B.
Câu 5:
Viết phương trình đường thẳng d biết d đi qua điểm M (2;1;1) và cắt hai đường thẳng
A.
B.
C:
D.Đáp án khác
Lời giải:
-Đường thẳng d1 có vecto chỉ phương
. Một điểm thuộc d1 là : A (1; 0; 1)
=>
Mặt phẳng (α) đi qua điểm A và chứa đường thẳng d1 có vectơ pháp tuyến là
Phương trình mặt phẳng (α) là: 1.(x – 2) – 1 . (y – 1) + 0. (z – 1) = 0 hay x- y- 1= 0
- Giao điểm B = (α)∩d2 là ( - t; 1+ 2t; 2+ t) thay tọa độ B vào phương trình (α) ta được
- t- 1- 2t- 1= 0 ⇔ - 3t – 2= 0 nên
- Đường thẳng cần tìm là đường thẳng đi qua 2 điểm M, B
Vectơ chỉ phương của d là:
hay chọn vectơ chỉ phương của d là:
Vậy phương trình đường thẳng d là:
Chọn D.
Câu 6:
Trong không gian với hệ tọa độ Oxyz ; cho điểm O(0; 0; 0) hai đường thẳng
. Phương trình đường thẳng d đi qua điểm I và cắt hai đường thẳng d1 ; d2 là.
A.
B.
C.
D.
Lời giải:
Gọi (P) là mặt phẳng qua O và chứa d1
Đường thẳng d1 đi qua M1(1 ; -2 ; 3) và có vectơ chỉ phương
Mặt phẳng (P) có vectơ pháp tuyến:
Gọi (Q) là mặt phẳng qua O và chứa d2
Đường thẳng d2 đi qua M2(1 ; -1 ; 2) và có vectơ chỉ phương
.
Mặt phẳng (Q) có vectơ pháp tuyến
Đường thẳng d đi qua điểm O(0; 0;0) và có vectơ chỉ phương:
Vậy phương trình đường thẳng d là
Chọn B.
Câu 7:
Trong không gian với hệ tọa độ Oxyz; cho điểm A( 2; 1; 3) , đường thẳng
và mặt phẳng (α): 2x+ 3y- z+ 1= 0. Đường thẳng Δ cắt d và (α) lần lượt tại M; N sao cho A là trung điểm của MN có phương trình là
A.
B.
C.
D.
Lời giải:
Ta có
.
Do A(2; 1; 3) là trung điểm của MN nên tọa độ N(2- t; 2- t; 5- 2t)
Mặt khác
⇔ 4-2t+ 6 – 3t- 5 + 2t + 1= 0 ⇔ - 3t + 6= 0
⇔ t=2⇒M( 4;2;5)
Khi đó Δ đi qua A(2; 1; 3) và nhận vecto
làm vecto chỉ phương
=> PHương trình tham số của đường thẳng Δ:
Chọn A.
Câu 8:
Trong không gian với hệ tọa độ Oxyz; cho điểm A(0; 1; 0); B ( 2; 1; 4) và đường thẳng
.Gọi M là trung điểm của AB. Viết phương trình đường thẳng Δ đi qua H (2; 1; - 1) và cắt hai đường thẳng d và OM?
A.
B.
C.
D.
Lời giải:
Tọa độ trung điểm của AB là: M( 1; 1; 2)
Gọi (P) là mặt phẳng qua H và chứa d
Đường thẳng d đi qua M1 (0 ; 3 ; 1) có vectơ chỉ phương
Mặt phẳng (P) có vectơ pháp tuyến:
Gọi (Q) là mặt phẳng qua H và chứa OM
Đường thẳng OM đi qua O (0; 0 ; 0) và có vectơ chỉ phương
Mặt phẳng (Q) có vectơ pháp tuyến
Đường thẳng Δ đi qua điểm H(2; 1; -1) và có vectơ chỉ phương:
Vậy phương trình đường thẳng d là
Chọn D.
Bài giảng: Cách viết phương trình đường thẳng nâng cao - Cô Nguyễn Phương Anh (Giáo viên VietJack)
(199k) Xem Khóa học Toán 12 KNTTXem Khóa học Toán 12 CDXem Khóa học Toán 12 CTST
Xem thêm các dạng bài tập Toán lớp 12 ôn thi Tốt nghiệp có lời giải hay khác:
- Viết phương trình đường thẳng đi qua 1 điểm, song song với mặt phẳng và vuông góc với đường thẳng
- Viết phương trình đường thẳng nằm trong mặt phẳng, đi qua 1 điểm và vuông góc với đường thẳng
- Viết phương trình đường thẳng đi qua 1 điểm, cắt đường thẳng d và song song với mặt phẳng
- Viết phương trình đường thẳng đi qua 1 điểm và vuông góc với 2 đường thẳng
- Viết phương trình đường thẳng đi qua 1 điểm, vuông góc với đường thẳng d1 và cắt đường thẳng d2
Đã có app VietJack trên điện thoại, giải bài tập SGK, SBT Soạn văn, Văn mẫu, Thi online, Bài giảng....miễn phí. Tải ngay ứng dụng trên Android và iOS.
Theo dõi chúng tôi miễn phí trên mạng xã hội facebook và youtube:Nếu thấy hay, hãy động viên và chia sẻ nhé! Các bình luận không phù hợp với nội quy bình luận trang web sẽ bị cấm bình luận vĩnh viễn.
- Giải Tiếng Anh 12 Global Success
- Giải sgk Tiếng Anh 12 Smart World
- Giải sgk Tiếng Anh 12 Friends Global
- Lớp 12 Kết nối tri thức
- Soạn văn 12 (hay nhất) - KNTT
- Soạn văn 12 (ngắn nhất) - KNTT
- Giải sgk Toán 12 - KNTT
- Giải sgk Vật Lí 12 - KNTT
- Giải sgk Hóa học 12 - KNTT
- Giải sgk Sinh học 12 - KNTT
- Giải sgk Lịch Sử 12 - KNTT
- Giải sgk Địa Lí 12 - KNTT
- Giải sgk Giáo dục KTPL 12 - KNTT
- Giải sgk Tin học 12 - KNTT
- Giải sgk Công nghệ 12 - KNTT
- Giải sgk Hoạt động trải nghiệm 12 - KNTT
- Giải sgk Giáo dục quốc phòng 12 - KNTT
- Giải sgk Âm nhạc 12 - KNTT
- Giải sgk Mĩ thuật 12 - KNTT
- Lớp 12 Chân trời sáng tạo
- Soạn văn 12 (hay nhất) - CTST
- Soạn văn 12 (ngắn nhất) - CTST
- Giải sgk Toán 12 - CTST
- Giải sgk Vật Lí 12 - CTST
- Giải sgk Hóa học 12 - CTST
- Giải sgk Sinh học 12 - CTST
- Giải sgk Lịch Sử 12 - CTST
- Giải sgk Địa Lí 12 - CTST
- Giải sgk Giáo dục KTPL 12 - CTST
- Giải sgk Tin học 12 - CTST
- Giải sgk Hoạt động trải nghiệm 12 - CTST
- Giải sgk Âm nhạc 12 - CTST
- Lớp 12 Cánh diều
- Soạn văn 12 Cánh diều (hay nhất)
- Soạn văn 12 Cánh diều (ngắn nhất)
- Giải sgk Toán 12 Cánh diều
- Giải sgk Vật Lí 12 - Cánh diều
- Giải sgk Hóa học 12 - Cánh diều
- Giải sgk Sinh học 12 - Cánh diều
- Giải sgk Lịch Sử 12 - Cánh diều
- Giải sgk Địa Lí 12 - Cánh diều
- Giải sgk Giáo dục KTPL 12 - Cánh diều
- Giải sgk Tin học 12 - Cánh diều
- Giải sgk Công nghệ 12 - Cánh diều
- Giải sgk Hoạt động trải nghiệm 12 - Cánh diều
- Giải sgk Giáo dục quốc phòng 12 - Cánh diều
- Giải sgk Âm nhạc 12 - Cánh diều


Giải bài tập SGK & SBT
Tài liệu giáo viên
Sách
Khóa học
Thi online
Hỏi đáp

