Viết phương trình đường thẳng nằm trong mặt phẳng, đi qua 1 điểm và vuông góc với đường thẳng
Bài viết Viết phương trình đường thẳng nằm trong mặt phẳng, đi qua 1 điểm và vuông góc với đường thẳng với phương pháp giải chi tiết giúp học sinh ôn tập, biết cách làm bài tập Viết phương trình đường thẳng nằm trong mặt phẳng, đi qua 1 điểm và vuông góc với đường thẳng.
- Cách giải bài tập Viết phương trình đường thẳng nằm trong mặt phẳng, đi qua 1 điểm và vuông góc với đường thẳng
- Ví dụ minh họa Viết phương trình đường thẳng nằm trong mặt phẳng, đi qua 1 điểm và vuông góc với đường thẳng
- Bài tập vận dụng Viết phương trình đường thẳng nằm trong mặt phẳng, đi qua 1 điểm và vuông góc với đường thẳng
- Bài tập tự luyện Viết phương trình đường thẳng nằm trong mặt phẳng, đi qua 1 điểm và vuông góc với đường thẳng
Viết phương trình đường thẳng nằm trong mặt phẳng, đi qua 1 điểm và vuông góc với đường thẳng
(199k) Xem Khóa học Toán 12 KNTTXem Khóa học Toán 12 CDXem Khóa học Toán 12 CTST
Bài giảng: Cách viết phương trình đường thẳng cơ bản - Cô Nguyễn Phương Anh (Giáo viên VietJack)
A. Phương pháp giải
+ Tìm vecto chỉ phương của đường thẳng Δ: uΔ→
+ Tìm vecto pháp tuyến của mặt phẳng (P) và ( Q): nP→; nQ→
+ Trong cả hai trường hợp ta đều có một vecto chỉ phương của đường thẳng d là :
+ Khi đó, đường thẳng d: đi qua điểm M và có vecto chỉ phương u→
=> phương trình đường thẳng d
B. Ví dụ minh họa
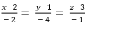
Ví dụ 1. Trong không gian với hệ tọa độ Oxyz; cho đường thẳng
và mặt phẳng (P): x- 2y+ 3z+ 10 = 0. Viết phương trình đường thẳng d đi qua M( 1; -1; 1); nằm trong mặt phẳng (P) và vuông góc với đường thẳng Δ?
A.
B.
C.
D.
Lời giải:
+ Đường thẳng Δ có vecto chỉ phương
Mặt phẳng ( P) có vecto pháp tuyến
+ Do đường thẳng d nằm trong mặt phẳng (P) và vuông góc với đường thẳng Δ nên một vecto chỉ phương của đường thẳng d là:
.
=> Phương trình đường thẳng d cần tìm:
Chọn B.
Ví dụ 2. Trong không gian với hệ tọa độ Oxyz; cho đường thẳng
và mặt phẳng (P): x+ 2y – 3z+ 4= 0. Phương trình tham số của đường thẳng d nằm trong (P) , cắt và vuông góc đường thẳng Δ là:
A.
B.
C.
D.Đáp án khác
Lời giải:
+ Tìm giao điểm M của Δ và mặt phẳng ( P):
Điểm M( - 2+ t; 2+ t;- t) thuộc Δ.
Thay tọa độ M vào phương trình ( P) ta được: - 2+ t+ 2(2+ t) – 3( - t) + 4= 0 ⇔ - 2+ t + 4 + 2t + 3t + 4= 0 ⇔ 6t+ 6= 0 nên t= -1 => M ( - 3; 1; 1)
+ Mặt phẳng (P) có vectơ pháp tuyến
+ Đường thẳng Δ có vectơ chỉ phương
+ Do đường thẳng d nằm trong mặt phẳng (P)và vuông góc với đường thẳng Δ nên
một vecto chỉ phương của đường thẳng d là :
+ Đường thẳng d đi qua điểm M( -3; 1; 1) và có vectơ chỉ phương là
Vậy phương trình tham số của d là:
Chọn B.
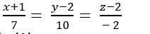
Ví dụ 3. Trong không gian với hệ tọa độ Oxyz; cho đường thẳng
và mặt phẳng (P): 2x+ y- 2z + 9= 0 . Gọi A là giao điểm của d và (P). Phương trình tham số của đường thẳng Δ nằm trong (P), đi qua điểm A và vuông góc với d là
A.
B.
C.
D.Tất cả sai
Lời giải:
+ Điểm A là giao điểm của đường thẳng d và (P).
=> Tọa độ A( 1- t; - 3+ 2t; 3+ t)
Thay tọa độ điểm A vào phương trình mặt phẳng ( P) ta được : 2( 1- t) + ( -3+ 2t) – 2( 3+ t) + 9= 0 ⇔ 2- 2t- 3+ 2t – 6 – 2t + 9= 0 ⇔ - 2t+ 2= 0 ⇔ t= 1 nên A(0; -1; 4)
+ Mặt phẳng ( P) có vectơ pháp tuyến
+ Đường thẳng d có vectơ chỉ phương
+ Do đường thẳng Δ nằm trong (P) và vuông góc với d nên một vecto chỉ phương của
Δ là:
+ Đường thẳng Δ đi qua điểm A(0; - 1; 4) và có vectơ chỉ phương là ( 1; 0;1)
Vậy phương trình tham số của Δ là
Chọn C.
Ví dụ 4. Trong không gian với hệ toạ độ Oxyz, đường thẳng Δnằm trong mặt phẳng (P): 2x- y – z + 4= 0 và vuông góc với đường thẳng
Đường thẳng Δ đi qua điểm M(0; 1; 3) có phương trình là
A.
.
B.
.
C.
.
D.
.
Lời giải:
Ta có mặt phẳng (P) có vecto pháp tuyến là:
Đường thẳng d có vecto chỉ phương
Do
Đường thẳng Δ đi qua M( 0; 1; 3) và nhận vecto
là vecto chỉ phương
=> Phương trình Δ:
Chọn B
Ví dụ 5. Trong không gian với hệ tọa độ Oxyz; cho đường thẳng d đi qua hai điểm A(1;1; 2) và B( -1; 2; 1). Mặt phẳng (P): 2x- y- 1= 0. Viết phương trình đường thẳng Δ đi qua M( -1; 2; 2) nằm trong (P) và vuông góc với đường thẳng d?
A.
B.
C.
D. Đáp án khác
Lời giải:
+ Đường thẳng d đi qua hai điểm A và B nên nhận
làm vecto chỉ phương .
+ Mặt phẳng (P) có vecto pháp tuyến
.
+ Do đường thẳng Δ nằm trong mặt phẳng (P) và vuông góc với đường thẳng d nên một
vecto chỉ phương của đường thẳng Δ là:
=> Phương trình đường thẳng Δ:
Chọn C.
Ví dụ 6. Trong không gian với hệ tọa độ Oxyz; cho đường thẳng
và mặt phẳng (P) đi qua ba điểm A( 0; 1; 2); B(-2;1; 0) và C(-2; -1; 2). Viết phương trình đường thẳng Δ đi qua trung điểm của AB; nằm trong mặt phẳng ( P) và vuông góc với đường thẳng d?
A.
B.
C.
D. Đáp án khác
Lời giải:
+ Gọi M là trung điểm của AB tọa độ M( -1;1; 1)
+ đường thẳng d có vecto chỉ phương
+ Ta có: (
=> Một vecto pháp tuyến của mặt phẳng (P) là:
+ Do đường thẳng Δ nằm trong mặt phẳng (P) và vuông góc với d nên một vecto chỉ
phương của Δ là:
=> Phương trình Δ:
Chọn A.
Ví dụ 7. Trong không gian với hệ tọa độ Oxyz; cho ba điểm A( -1; 2; 1); B( -2; 1; 1) và C( -3; 2; 2). Mặt phẳng (P): 2x- y= 0. Viết phương trình đường thẳng d đi qua M( 2;1;3) nằm trong mặt phẳng ( P) và song song với mặt phẳng ( ABC)
A.
B.
C.
D.
Lời giải:
+ ta có:
=> Mặt phẳng ( ABC) có một vecto pháp tuyến là :
.
+Mặt phẳng ( P) có vecto pháp tuyến là :
+ Do đường thẳng d nằm trong mặt phẳng (P) và song song với mặt phẳng (ABC) nên
một vecto chỉ phương của đường thẳng là:
=> Phương trình đường thẳng d:
Chọn D.
Ví dụ 8. Trong không gian với hệ tọa độ Oxyz; cho hai điểm A( -1; -1; -1) và B(1;2;0). Mặt phẳng (P): 3x- 2y+ z- 10= 0 . Đường thẳng d đi qua M( -1; 2;2) nằm trong mặt phẳng (P) và vuông góc với đường thẳng AB. Trong các đường thẳng sau đường thẳng nào song song với đường thẳng d?
A.
B.
C.
D.
Giaỉ
+ Đường thẳng AB có vecto chỉ phương
+ Mặt phẳng (P) có vecto pháp tuyến
.
+ Do đường thẳng d nằm trong mặt phăng (P) và vuông góc với đường thẳng AB nên một
vecto chỉ phương của đường thẳng d là :
=> Phương trình đường thẳng d:
=> Đường thẳng d’:
song song với đường thẳng d( có cùng vecto chỉ
phương và điểm M không thuộc đường thẳng d’) .
Chọn A.
C. Bài tập vận dụng
Câu 1:
Trong không gian với hệ tọa độ Oxyz; cho đường thẳng
và mặt phẳng (P): 4x- y+ z+ 1 = 0. Viết phương trình đường thẳng d đi qua M(-2; 1; 3); nằm trong mặt phẳng (P) và vuông góc với đường thẳng Δ?
A.
B.
C.
D.
Lời giải:
+ Đường thẳng Δ có vecto chỉ phương
Mặt phẳng ( P) có vecto pháp tuyến
.
+ Do đường thẳng d nằm trong mặt phẳng (P) và vuông góc với đường thẳng Δ nên một
vecto chỉ phương của đường thẳng d là:
.
=> Phương trình đường thẳng d cần tìm:
Chọn C.
Câu 2:
Trong không gian với hệ tọa độ Oxyz; cho đường thẳng
và mặt phẳng (P): x+ y – 3z+ 8= 0. Phương trình tham số của đường thẳng d đi qua A(1;2; 1) nằm trong (P) , vuông góc đường thẳng Δ là:
A.
B.
C.
D.Đáp án khác
Lời giải:
+ Mặt phẳng (P) có vectơ pháp tuyến
+ Đường thẳng Δ có vectơ chỉ phương
+ Do đường thẳng d nằm trong mặt phẳng (P)và vuông góc với đường thẳng Δ nên
một vecto chỉ phương của đường thẳng d là :
+ Đường thẳng d đi qua điểm A( 1; 2; 1) và có vectơ chỉ phương là
Vậy phương trình tham số của d là:
Chọn B.
Câu 3:
Trong không gian với hệ tọa độ Oxyz; cho đường thẳng
và mặt phẳng (P): x+ y- z + 6= 0 . Gọi A là giao điểm của d và (P). Phương trình tham số của đường thẳng Δ nằm trong (P), đi qua điểm A và vuông góc với d là
A.
B.
C.
D.Tất cả sai
Lời giải:
+ Điểm A là giao điểm của đường thẳng d và (P).
=>Tọa độ A( t; 1- t; 2+ t)
Thay tọa độ điểm A vào phương trình mặt phẳng ( P) ta được : t+1- t – 2- t+ 6= 0 ⇔ t= 5 => A( 5; - 4;7)
+ Mặt phẳng ( P) có vectơ pháp tuyến
+ Đường thẳng d có vectơ chỉ phương
+ Do đường thẳng Δ nằm trong (P) và vuông góc với d nên một vecto chỉ phương của
Δ là:
chọn (0; 1;1)
+ Đường thẳng Δ đi qua điểm A( 5; -4; 7) và có vectơ chỉ phương là (0; 1;1)
Vậy phương trình tham số của Δ là
Chọn B.
Câu 4:
Trong không gian với hệ toạ độ Oxyz, đường thẳng d nằm trong mặt phẳng (P): 3x+ 2y – z + 4= 0 và song song với mặt phẳng (Oxy). Đường thẳng d đi qua điểm M( -1; 2; 1) có phương trình là
A.
B.
C.
D.
Lời giải:
Ta có mặt phẳng (P) có vecto pháp tuyến là:
Mặt phẳng (Oxy) có phương trình: z= 0 vecto chỉ phương
Do đường thẳng d nằm trong mặt phẳng ( P) và song song với mặt phẳng (Oxy) nên một
vecto chỉ phương của đường thẳng d là:
Đường thẳng d đi qua M( - 1; 2; 1) và nhận vecto
là vecto chỉ phuowg
=> Phương trình d:
Chọn B
Câu 5:
Trong không gian với hệ tọa độ Oxyz; cho đường thẳng d đi qua hai điểm A(0; 0; 1) và B(1;1; 3). Mặt phẳng (P): 2x- y- z+ 1= 0. Viết phương trình đường thẳng Δ đi qua M( - 2; -3; - 1) nằm trong (P) và vuông góc với đường thẳng d?
A.
B.
C.
D. Đáp án khác
Lời giải:
+ Đường thẳng d đi qua hai điểm A và B nên nhận
làm vecto chỉ phương .
+ Mặt phẳng (P) có vecto pháp tuyến
.
+ Do đường thẳng Δ nằm trong mặt phẳng (P) và vuông góc với đường thẳng d nên một
vecto chỉ phương của đường thẳng Δ là
=>> Phương trình đường thẳng Δ:
Chọn C.
Câu 6:
Trong không gian với hệ tọa độ Oxyz; cho đường thẳng
và mặt phẳng (P) đi qua ba điểm A(-2; 1; 2); B(1; 1; 1) và C( 1;3; -1). Viết phương trình đường thẳng Δ đi qua trung điểm của BC; nằm trong mặt phẳng ( P) và vuông góc với đường thẳng d?
A.
B.
C.
D. Đáp án khác
Lời giải:
+ Gọi M là trung điểm của BC tọa độ M( 1; 2; 0)
+ đường thẳng d có vecto chỉ phương
+ Ta có:
=> Một vecto pháp tuyến của mặt phẳng (P) là:
+ Do đường thẳng Δ nằm trong mặt phẳng (P) và vuông góc với d nên một vecto chỉ phương của Δ là:
=> Phương trình Δ:
Chọn B.
Câu 7:
Trong không gian với hệ tọa độ Oxyz; cho ba điểm A( -2; 1; -1); B(0; 0; 1) và C(1; 1; 1). Mặt phẳng (P): 2x- y + 2z – 1= 0. Viết phương trình đường thẳng d đi qua M( - 1; 2; 2) nằm trong mặt phẳng ( P) và song song với mặt phẳng ( ABC)
A.
B.
C.
D.
Lời giải:
+ ta có:
=> Mặt phẳng ( ABC) có một vecto pháp tuyến là :
.
+Mặt phẳng ( P) có vecto pháp tuyến là :
+ Do đường thẳng d nằm trong mặt phẳng (P) và song song với mặt phẳng (ABC) nên
một vecto chỉ phương của đường thẳng là:
=> Phương trình đường thẳng d:
Chọn D.
Câu 8:
Trong không gian với hệ tọa độ Oxyz; cho hai điểm A(0; -2; 1) và B(1;2;3). Mặt phẳng (P): x+ y+ 3z- 10= 0 . Đường thẳng d đi qua M(2; 2; 3) nằm trong mặt phẳng (P) và vuông góc với đường thẳng AB. Trong các đường thẳng sau đường thẳng nào song song với đường thẳng d?
A.
B.
C.
D.
Lời giải:
+ Đường thẳng AB có vecto chỉ phương
+ Mặt phẳng (P) có vecto pháp tuyến
.
+ Do đường thẳng d nằm trong mặt phăng (P) và vuông góc với đường thẳng AB nên một
vecto chỉ phương của đường thẳng d là :
=> Phương trình đường thẳng d:
=> Đường thẳng d’:
song song với đường thẳng d( có cùng vecto chỉ phương và điểm M không thuộc đường thẳng d’) .
Chọn B.
D. Bài tập tự luyện
Bài 1. Trong không gian Oxyz, cho điểm I(1;-3;0), đường thẳng d: và mặt phẳng (P): x + y + z + 2 = 0. Viết phương trình đường thẳng ∆ nằm trong (P) vuông góc với d đồng thời cách I một khoảng bằng
Bài 2. Cho (P): x + 2y + z – 4 = 0 và đường thẳng d: . Viết phương trình đường thẳng ∆ nằm trong (P) đồng thời cắt và vuông góc với d.
Bài 3. Trong không gian với hệ tọa độ Oxyz; cho đường thẳng Δ: và mặt phẳng (P): x - 2y + 3z + 10 = 0. Viết phương trình đường thẳng d đi qua M(1; -1; 1); nằm trong mặt phẳng (P) và vuông góc với đường thẳng Δ?
Bài 4. Trong không gian với hệ tọa độ Oxyz; cho hai điểm E(-1; -1; -1) và F(1;2;0). Mặt phẳng (P): 3x - 2y + z – 10 = 0. Đường thẳng d đi qua M(-1; 2; 2) nằm trong mặt phẳng (P) và vuông góc với đường thẳng EF. Viết phương trình đường thẳng d?
Bài 5. Trong không gian với hệ tọa độ Oxyz; cho đường thẳng Δ: và mặt phẳng (α): x + y – 3z + 8 = 0. Viết phương trình tham số của đường thẳng d đi qua M(1;2;1) nằm trong (α) , vuông góc đường thẳng Δ.
Bài giảng: Cách viết phương trình đường thẳng nâng cao - Cô Nguyễn Phương Anh (Giáo viên VietJack)
(199k) Xem Khóa học Toán 12 KNTTXem Khóa học Toán 12 CDXem Khóa học Toán 12 CTST
Xem thêm các dạng bài tập Toán lớp 12 ôn thi Tốt nghiệp có lời giải hay khác:
- Viết phương trình đường thẳng đi qua 1 điểm, song song với mặt phẳng và vuông góc với đường thẳng
- Viết phương trình đường thẳng đi qua 1 điểm, cắt đường thẳng d và song song với mặt phẳng
- Viết phương trình đường thẳng đi qua 1 điểm và vuông góc với 2 đường thẳng
- Viết phương trình đường thẳng đi qua 1 điểm và cắt hai đường thẳng
- Viết phương trình đường thẳng đi qua 1 điểm, vuông góc với đường thẳng d1 và cắt đường thẳng d2
Đã có app VietJack trên điện thoại, giải bài tập SGK, SBT Soạn văn, Văn mẫu, Thi online, Bài giảng....miễn phí. Tải ngay ứng dụng trên Android và iOS.
Theo dõi chúng tôi miễn phí trên mạng xã hội facebook và youtube:Nếu thấy hay, hãy động viên và chia sẻ nhé! Các bình luận không phù hợp với nội quy bình luận trang web sẽ bị cấm bình luận vĩnh viễn.
- Giải Tiếng Anh 12 Global Success
- Giải sgk Tiếng Anh 12 Smart World
- Giải sgk Tiếng Anh 12 Friends Global
- Lớp 12 Kết nối tri thức
- Soạn văn 12 (hay nhất) - KNTT
- Soạn văn 12 (ngắn nhất) - KNTT
- Giải sgk Toán 12 - KNTT
- Giải sgk Vật Lí 12 - KNTT
- Giải sgk Hóa học 12 - KNTT
- Giải sgk Sinh học 12 - KNTT
- Giải sgk Lịch Sử 12 - KNTT
- Giải sgk Địa Lí 12 - KNTT
- Giải sgk Giáo dục KTPL 12 - KNTT
- Giải sgk Tin học 12 - KNTT
- Giải sgk Công nghệ 12 - KNTT
- Giải sgk Hoạt động trải nghiệm 12 - KNTT
- Giải sgk Giáo dục quốc phòng 12 - KNTT
- Giải sgk Âm nhạc 12 - KNTT
- Giải sgk Mĩ thuật 12 - KNTT
- Lớp 12 Chân trời sáng tạo
- Soạn văn 12 (hay nhất) - CTST
- Soạn văn 12 (ngắn nhất) - CTST
- Giải sgk Toán 12 - CTST
- Giải sgk Vật Lí 12 - CTST
- Giải sgk Hóa học 12 - CTST
- Giải sgk Sinh học 12 - CTST
- Giải sgk Lịch Sử 12 - CTST
- Giải sgk Địa Lí 12 - CTST
- Giải sgk Giáo dục KTPL 12 - CTST
- Giải sgk Tin học 12 - CTST
- Giải sgk Hoạt động trải nghiệm 12 - CTST
- Giải sgk Âm nhạc 12 - CTST
- Lớp 12 Cánh diều
- Soạn văn 12 Cánh diều (hay nhất)
- Soạn văn 12 Cánh diều (ngắn nhất)
- Giải sgk Toán 12 Cánh diều
- Giải sgk Vật Lí 12 - Cánh diều
- Giải sgk Hóa học 12 - Cánh diều
- Giải sgk Sinh học 12 - Cánh diều
- Giải sgk Lịch Sử 12 - Cánh diều
- Giải sgk Địa Lí 12 - Cánh diều
- Giải sgk Giáo dục KTPL 12 - Cánh diều
- Giải sgk Tin học 12 - Cánh diều
- Giải sgk Công nghệ 12 - Cánh diều
- Giải sgk Hoạt động trải nghiệm 12 - Cánh diều
- Giải sgk Giáo dục quốc phòng 12 - Cánh diều
- Giải sgk Âm nhạc 12 - Cánh diều


Giải bài tập SGK & SBT
Tài liệu giáo viên
Sách
Khóa học
Thi online
Hỏi đáp

