200+ Trắc nghiệm Vật lí đại cương 1 (có đáp án)
Tổng hợp trên 200 câu hỏi trắc nghiệm Vật lí đại cương 1 có đáp án với các câu hỏi đa dạng, phong phú từ nhiều nguồn giúp sinh viên ôn trắc nghiệm Vật lí đại cương 1 đạt kết quả cao.
200+ Trắc nghiệm Vật lí đại cương 1 (có đáp án)
Chủ đề 1: Đại cương về chuyển động cơ học
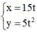
Câu 1 Trong mặt phẳng Oxy, chất điểm chuyển động với phương trình:
Qũi đạo của chất điểm là đường:
A. thẳng
B. tròn
C. elíp
D. sin
Câu 2. Trong các chuyển động sau, chuyển động nào được coi là chuyển động của chất điểm?
A. Ô tô đi vào garage.
B. Xe lửa từ Sài gòn tới Nha Trang.
C. Con sâu rọm bò trên chiếc lá khoai lang.
D. Cái võng đu đưa.
Câu 3. Muốn biết tại thời điểm t, chất điểm đang ở vị trí nào trên qũi đạo, ta dựa vào:
A. phương trình qũi đạo của vật.
B. phương trình chuyển động của vật.
C. đồng thời A và B.
D. hoặc A, hoặc B.
Câu 4. Xác định dạng quỹ đạo của chất điểm, biết phương trình chuyển động: x = 4.e2t; y = 5.e-2t; z = 0 (hệ SI)
A. đường sin
B. hyberbol
C. elíp
D. đường tròn
Câu 5. Một chất điểm chuyển động trong mặt phẳng Oxy với phương trình: x = cost; y = cos(2t). Qũi đạo là:
A. parabol
B. hyperbol
C. elip
D. đường tròn
Câu 6. Chọn phát biểu đúng:
A. Phương trình chuyển động cho phép xác định tính chất của chuyển động tại một thời điểm bất kỳ.
B. Phương trình qũi đạo cho biết hình dạng đường đi của vật trong suốt quá trình chuyển động.
C. Biết được phương trình chuyển động, trong một số trường hợp, ta có thể tìm được phương trình qũi đạo và ngược lại.
D. A, B, C đều đúng.
Câu 7. Vị trí của chất điểm chuyển động trong mặt phẳng Oxy được xác định bởi vectơ bán kính: = 4sint. + 4sint. (SI). Qũi đạo của nó là đường:
A. thẳng
B. elíp
C. tròn
D. cong bất kỳ
Câu 8. Vị trí của chất điểm chuyển động trong mặt phẳng Oxy được xác định bởi vectơ bán kính: = 4sin(t + ) + 3sin (t + ).. Qũi đạo của nó là đường:
A. tròn, nếu =
B. thẳng, nếu = + k
C. elíp, nếu = + k / 2
D. hyperbol, nếu =
Câu 9. Vị trí của chất điểm chuyển động trong mặt phẳng Oxy được xác định bởi vectơ bán kính: = 4sin(t + ) + 5cos (t + ). (SI). Qũi đạo của nó là đường:
A. thẳng
B. elíp
C. tròn
D. parabol
Câu 10. Đối tượng nghiên cứu của Vật Lý Học là:
A. Sự biến đổi từ chất này sang chất khác.
B. Sự sinh trưởng và phát triển của các sự vật hiện tượng.
C. Các qui luật tổng quát của các sự vật hiện tượng tự nhiên.
D. a, b, c đều đúng.
Câu 11. Vật lý đại cương hệ thống những tri thức vật lý cơ bản về những lĩnh vực:
A. Cơ, Nhiệt, Điện, Quang, Vật lý nguyên tử và hạt nhân.
B. Động học, Động lực học, Vật rắn, Điện.
C. Động học, Động lực học, Vật rắn, Điện, Nhiệt.
D. Động học, Động lực học, Vật rắn, Điện, Chất lưu, Nhiệt.
Câu 12. Động học nghiên cứu về:
A. Các trạng thái đúng yên và điều kiện cân bằng của vật.
B. Chuyển động của vật, có tính đến nguyên nhân.
C. Chuyển động của vật, không tính đến nguyên nhân gây ra chuyển động.
D. Chuyển động của vật trong mối quan hệ với các vật khác.
Câu 13. Phát biểu nào sau đây là sai?
A. Chuyển động và đứng yên là có tính tương đối.
B. Căn cứ vào quĩ đạo, ta có chuyển động thẳng, cong, tròn.
C. Căn cứ vào tính chất nhanh chậm, ta có chuyển động đều, nhanh dần, chậm dần.
D. Chuyển động tròn luôn có tính tuần hoàn, vì vị trí của vật được lặp lại nhiều lần.
Câu 14. Phát biểu nào sau đây là sai?
A. Các đại lượng vật lý có thể vô hướng hoặc hữu hướng.
B. Áp suất là đại lượng hữu hướng.
C. Lực là đại lượng hữu hướng.
D. Thời gian là đại lượng vô hướng.
Câu 15. Một chất điểm có phương trình chuyển động:
(hệ SI), thì quĩ đạo là đường:
A. parabol.
B. tròn tâm O là gốc tọa độ.
C. thẳng không qua gốc tọa độ.
D. thẳng qua gốc tọa độ.
Câu 16. Chất điểm chuyển động trong mặt phẳng Oxy với vận tốc (hệ SI). Ban đầu nó ở gốc tọa độ O. Quĩ đạo của nó là đường:
A. thẳng.
B. tròn.
C. parabol.
D. hyperbol.
Câu 17. Đồ thị hình 1.1 cho biết điều gì về chuyển động của chất điểm trong mặt phẳng Oxy?
A. Vị trí (tọa độ) của chất điểm ở các thời điểm t.
B. Hình dạng quĩ đạo của chất điểm.
C. Vận tốc của chất điểm tại các vị trí trên qũi đạo.
D. Quãng đường vật đi được theo thời gian.
Câu 18. Nếu biết tốc độ v của một chất điểm theo thời gian t, ta sẽ tính được quãng đường s mà chất điểm đã đi trong thời gian t = t2 - t1 theo công thức nào sau đây?
A. s = v.t
B. s =
C. s = vtb.t
D. a, b, c đều đúng.
Câu 19. Chất điểm chuyển động có đồ thị như hình 1.2. Tại thời điểm t = 2s, chất điểm đang:
A. chuyển động đều.
B. chuyển động nhanh dần.
C. chuyển động chậm dần.
D. đứng yên.
Câu 20. Chất điểm chuyển động có đồ thị như hình 1.2. Tại thời điểm t = 4s, chất điểm đang:
A. chuyển động đều.
B. chuyển động nhanh dần.
C. chuyển động chậm dần.
D. đứng yên.
Câu 21. Chất điểm chuyển động thẳng trên trục Ox, có đồ thị như hình 1.2. Quãng đường chất điểm đã đi từ lúc t = 0 đến t = 6s là:
A. 3m
B. 4m
C. 5,6m
D. 7,5m
Chủ đề 2: CHUYỂN ĐỘNG CONG
Câu 1. Chọn phát biểu đúng về chuyển động của chất điểm:
A. Vectơ gia tốc luôn cùng phương với vectơ vận tốc.
B. Nếu gia tốc pháp tuyến an ≠ 0 thì qũi đạo của vật là đường cong
C. Nếu vật chuyển động nhanh dần thì vectơ gia tốc cùng hướng với vectơ vận tốc.
D. Cả a, b, c đều đúng
Câu 2. Một ôtô dự định chuyển động từ A đến B với vận tốc 30km/h. Nhưng sau khi đi được 1/3 đoạn đường, xe bị chết máy. Tài xế phải dừng 30 phút để sửa xe, sau đó đi tiếp với vận tốc 40km/h và đến B đúng giờ qui định. Tính tốc độ trung bình của ôtô trên quãng đường AB.
A. 35 km/h
B. 36 km/h
C. 38 km/h
D. 43,3km/h
Câu 3. Một ôtô dự định chuyển động từ A đến B với vận tốc 30km/h. Nhưng sau khi đi được 1/3 đoạn đường, xe bị chết máy. Tài xế phải dừng 30 phút để sửa xe, sau đó đi tiếp với vận tốc 40km/h và đến B đúng giờ qui định. Tính thời gian dự định chuyển động ban đầu của ôtô.
A. 2 giờ
B. 3 giờ
C. 2,5 giờ
D. 3,5 giờ
Câu 4. Một ôtô dự định chuyển động từ A đến B với vận tốc 30km/h. Nhưng sau khi đi được 1/3 đoạn đường, xe bị chết máy. Tài xế phải dừng 30 phút để sửa xe, sau đó đi tiếp với vận tốc 40km/h và đến B đúng giờ qui định. Tính quãng đường AB.
A. 60 km
B. 80 km
C. 90 km
D. 100 km
Câu 5. Phát biểu nào sau đây chỉ tốc độ tức thời?
A. Ôtô chuyển động từ A đến B với tốc độ 40km/h.
B. Vận động viên chạm đích với tốc độ 10m/s.
C. Xe máy chuyển động với tốc độ 30km/h trong thời gian 2 giờ thì đến TPHCM.
D. Tốc độ của người đi bộ là 5 km/h.
Câu 6. Chọn phát biểu đúng:
A. Tốc độ của chất điểm có giá trị bằng quãng đường nó đi được trong một đơn vị thời gian.
B. Đặc trưng cho sự nhanh chậm của chuyển động tại từng điểm trên qũi đạo là tốc độ tức thời.
C. Vectơ vận tốc là đại lượng đặc trưng cho phương, chiều và sự nhanh chậm của chuyển động.
D. a, b, c đều đúng.
Câu 7. Vectơ gia tốc của chất điểm chuyển động trên qũi đạo cong thì:
A. vuông góc với vectơ vận tốc .
B. hướng vào bề lõm của qũi đạo.
C. cùng phương với
D. hướng ra ngoài bề lõm của qũi đạo.
Câu 8. Hai ô tô cùng khởi hành từ A đến B. Xe I đi nửa đường đầu với tốc độ v1, nửa đường sau với tốc độ v2. Xe II đi nửa thời gian đầu với tốc độ v1, nửa thời gian sau với tốc độ v2. Hỏi xe nào tới B trước?
A. Xe I
B. Xe II
C. Xe I, nếu v1 > v2
D. Xe I, nếu v1 < v2
Câu 9. Một canô xuôi dòng từ bến A đến bến B với tốc độ v1 = 30km/h; rồi ngược dòng từ B về A với tốc độ v2 = 20km/h. Tính tốc độ trung bình trên lộ trình đi – về của canô.
A. 25 km/h
B. 26 km/h
C. 24 km/h
D. 0 km/h
Câu 10. Gia tốc của chất điểm đặc trưng cho:
A. sự nhanh chậm của chuyển động.
B. hình dạng qũi đạo.
C. tính chất của chuyển động.
D. sự thay đổi của vận tốc.
Câu 11. Gia tốc tiếp tuyến đặc trưng cho:
A. sự thay đổi về phương của vận tốc.
B. sự thay đổi về độ lớn của vận tốc.
C. sự nhanh, chậm của chuyển động.
D. sự thay đổi của tiếp tuyến qũi đạo.
Câu 12. Nếu trong thời gian khảo sát chuyển động, vectơ vận tốc và gia tốc của chất điểm luôn vuông góc với nhau thì chuyển động có tính chất:
A. thẳng.
B. tròn.
C. tròn đều.
D. đều.
Câu 13. Nếu trong thời gian khảo sát chuyển động, vectơ vận tốc và gia tốc của chất điểm luôn tạo với nhau một góc nhọn thì chuyển động có tính chất:
A. nhanh dần.
B. chậm dần.
C. nhanh dần đều.
D. đều.
Câu 14. Nếu trong thời gian khảo sát chuyển động, vectơ vận tốc và gia tốc của chất điểm luôn tạo với nhau một góc nhọn thì chuyển động có tính chất:
A. nhanh dần.
B. chậm dần.
C. đều.
D. tròn đều.
Câu 15. Từ một đỉnh tháp ném một vật theo phương ngang với vận tốc ban đầu là v0. Bỏ qua sức cản không khí. Tìm biểu thức tính gia tốc pháp tuyến an của vật trên quỹ đạo ở thời điểm t (gia tốc rơi tự do là g)?
A. an = 0
B. an = g
C. an =
D. an =
Câu 16. Từ một đỉnh tháp ném một vật theo phương ngang với vận tốc ban đầu là v0. Bỏ qua sức cản không khí. Tìm biểu thức tính gia tốc tiếp tuyến at của vật trên quỹ đạo ở thời điểm t (gia tốc rơi tự do là g)?
A. at = 0
B. at =
C. at =
D. at =
Câu 17. Một ôtô chuyển động từ A, qua các điểm B, C rồi đến D. Đoạn AB dài 50km, đường khó đi nên xe chạy với tốc độ 20km/h. Đoạn BC xe chạy với tốc độ 80 km/h, sau 3h30' thì tới C. Tại C xe nghỉ 50 phút rồi đi tiếp đến D với vận tốc 30km/h. Tính tốc độ trung bình trên toàn bộ quãng đường từ A đến D, biết CD = 3AB.
A. 33,3km/h
B. 41,7km/h
C. 31,1km/h
D. 43,6km/h
Câu 18. Chất điểm chuyển động thẳng với độ lớn của vận tốc biến đổi theo qui luật: v = v0 - kt2 (SI), trong đó v0và k là những hằng số dương. Xác định quãng đường chất điểm đã đi kể từ lúc t = 0 cho đến khi dừng.
A. s = v0
B. s =
C. s =
D. s =
Câu 19. Chất điểm chuyển động thẳng với vận tốc biến đổi theo qui luật: v = v0 - kt2 (SI), với v0 và k là những hằng số dương. Tính tốc độ trung bình của chất điểm trong thời gian từ lúc t = 0 cho đến khi dừng.
A. vtb = v0
B. vtb =
C. vtb =
D. vtb =
Câu 20. Một ôtô đang chuyển động thẳng thì gặp một chướng ngại vật. Tài xế hãm xe, kể từ đó vận tốc của xe giảm dần theo qui luật: v = 20 - t2 (m/s). Tính quãng đường ôtô đã đi kể từ lúc t = 0 đến khi dừng.
A. 100 m
B. 150 m
C. 200 m
D. 50m
Câu 21. Một ôtô đang chuyển động thẳng thì gặp một chướng ngại vật. Tài xế hãm xe, kể từ đó vận tốc của xe giảm dần theo qui luật: v = 20 - t2 (m/s). Tính vận tốc trung bình trên đoạn đường xe đã đi kể từ lúc bắt đầu hãm đến khi dừng.
A. 13,3 m/s
B. 15m/s
C. 17,3 m/s
D. 20m/s
Câu 22. Một viên đạn được bắn lên từ mặt đất với vận tốc đầu nòng là 800m/s theo phương hợp với mặt phẳng ngang một góc 30°. Xác định tầm xa mà viên đạn đạt được. Bỏ qua sức cản không khí, lấy g = 10 m/s².
A. 46000 m
B. 55400 m
C. 60000 m
D. 65000 m
Câu 23. Một viên đạn được bắn lên từ mặt đất với vận tốc đầu nòng là 800m/s theo phương hợp với mặt phẳng ngang một góc 30°. Xác định độ cao cực đại mà viên đạn đạt được. Bỏ qua sức cản không khí, lấy g = 10 m/s².
A. 2000m
B. 4000 m
C. 8000 m
D. 16000 m
Câu 24. Chọn phát biểu đúng về chuyển động của viên đạn sau khi ra khỏi nòng súng (bỏ qua sức cản không khí):
A. Tầm xa của đạn sẽ lớn nhất nếu nòng súng nằm ngang.
B. Tầm xa của đạn sẽ lớn nhất nếu nòng súng nghiêng góc 60° so với phương ngang.
C. Nếu mục tiêu (ở mặt đất) nằm trong tầm bắn thì có 2 góc ngắm để trúng đích.
D. Độ cao cực đại mà viên đạn đạt được sẽ lớn nhất khi nòng súng nghiêng một góc 45°.
Câu 25. Chất điểm chuyển động trong mặt phẳng Oxy với phương trình: (SI). Tính độ lớn vận tốc của chất điểm lúc t = 2s.
A. 15m/s
B. 20m/s
C. 25m/s
D. 0 m/s
................................
................................
................................
Xem thêm câu hỏi trắc nghiệm các môn học Đại học có đáp án hay khác:
Sách VietJack thi THPT quốc gia 2025 cho học sinh 2k7:
- Soạn văn 12 (hay nhất) - KNTT
- Soạn văn 12 (ngắn nhất) - KNTT
- Giải sgk Toán 12 - KNTT
- Giải Tiếng Anh 12 Global Success
- Giải sgk Tiếng Anh 12 Smart World
- Giải sgk Tiếng Anh 12 Friends Global
- Giải sgk Vật Lí 12 - KNTT
- Giải sgk Hóa học 12 - KNTT
- Giải sgk Sinh học 12 - KNTT
- Giải sgk Lịch Sử 12 - KNTT
- Giải sgk Địa Lí 12 - KNTT
- Giải sgk Giáo dục KTPL 12 - KNTT
- Giải sgk Tin học 12 - KNTT
- Giải sgk Công nghệ 12 - KNTT
- Giải sgk Hoạt động trải nghiệm 12 - KNTT
- Giải sgk Giáo dục quốc phòng 12 - KNTT
- Giải sgk Âm nhạc 12 - KNTT
- Giải sgk Mĩ thuật 12 - KNTT
Giải bài tập SGK & SBT
Tài liệu giáo viên
Sách
Khóa học
Thi online
Hỏi đáp



