Giải bài 14 trang 191 SGK Giải Tích 12 nâng cao
Luyện tập (trang 190-191)
Bài 14 (trang 191 sgk Giải Tích 12 nâng cao):
a) Cho số phức z=x+yi (x,y ∈R). Khi z ≠ 1 hãy tìm phần thực và phần ảo của số phức
là số thực dương.
b) Xác định tập hợp các điểm trong mặt phẳng phức biểu diễn các số phức z thỏa mãn điều kiện:
là số thực dương
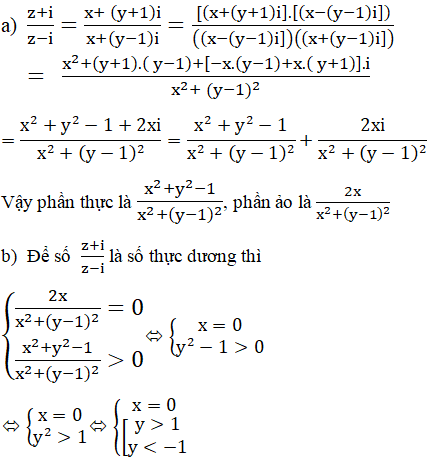
Lời giải:
Vậy quỹ tích điểm cần tìm là trục ảo bỏ đi đoạn IJ, trong đó I(0; 1); J(0; -1)
Các bài giải bài tập Giải Tích 12 nâng cao Bài Luyện tập (trang 190-191) khác:
Bài 10 (trang 190 SGK Giải Tích 12 nâng cao): Chứng minh rằng với mọi số phức....
Bài 11 (trang 191 SGK Giải Tích 12 nâng cao): Hỏi mỗi số sau đây là số thức...
Bài 12 (trang 191 SGK Giải Tích 12 nâng cao): Xác định tập hợp các điểm trong mặt phẳng phức...
Bài 13 (trang 191 SGK Giải Tích 12 nâng cao): Tìm nghiệm phức của các phương trình...
Bài 14 (trang 191 SGK Giải Tích 12 nâng cao): a) Cho số phức z = x +yi (x, y ∈ R)...
Bài 16 (trang 191 SGK Giải Tích 12 nâng cao): Đố vui. Trong mặt phẳng phức cho các điểm...
Đã có app VietJack trên điện thoại, giải bài tập SGK, SBT Soạn văn, Văn mẫu, Thi online, Bài giảng....miễn phí. Tải ngay ứng dụng trên Android và iOS.
Theo dõi chúng tôi miễn phí trên mạng xã hội facebook và youtube:Nếu thấy hay, hãy động viên và chia sẻ nhé! Các bình luận không phù hợp với nội quy bình luận trang web sẽ bị cấm bình luận vĩnh viễn.
- Giải Tiếng Anh 12 Global Success
- Giải sgk Tiếng Anh 12 Smart World
- Giải sgk Tiếng Anh 12 Friends Global
- Lớp 12 Kết nối tri thức
- Soạn văn 12 (hay nhất) - KNTT
- Soạn văn 12 (ngắn nhất) - KNTT
- Giải sgk Toán 12 - KNTT
- Giải sgk Vật Lí 12 - KNTT
- Giải sgk Hóa học 12 - KNTT
- Giải sgk Sinh học 12 - KNTT
- Giải sgk Lịch Sử 12 - KNTT
- Giải sgk Địa Lí 12 - KNTT
- Giải sgk Giáo dục KTPL 12 - KNTT
- Giải sgk Tin học 12 - KNTT
- Giải sgk Công nghệ 12 - KNTT
- Giải sgk Hoạt động trải nghiệm 12 - KNTT
- Giải sgk Giáo dục quốc phòng 12 - KNTT
- Giải sgk Âm nhạc 12 - KNTT
- Giải sgk Mĩ thuật 12 - KNTT
- Lớp 12 Chân trời sáng tạo
- Soạn văn 12 (hay nhất) - CTST
- Soạn văn 12 (ngắn nhất) - CTST
- Giải sgk Toán 12 - CTST
- Giải sgk Vật Lí 12 - CTST
- Giải sgk Hóa học 12 - CTST
- Giải sgk Sinh học 12 - CTST
- Giải sgk Lịch Sử 12 - CTST
- Giải sgk Địa Lí 12 - CTST
- Giải sgk Giáo dục KTPL 12 - CTST
- Giải sgk Tin học 12 - CTST
- Giải sgk Hoạt động trải nghiệm 12 - CTST
- Giải sgk Âm nhạc 12 - CTST
- Lớp 12 Cánh diều
- Soạn văn 12 Cánh diều (hay nhất)
- Soạn văn 12 Cánh diều (ngắn nhất)
- Giải sgk Toán 12 Cánh diều
- Giải sgk Vật Lí 12 - Cánh diều
- Giải sgk Hóa học 12 - Cánh diều
- Giải sgk Sinh học 12 - Cánh diều
- Giải sgk Lịch Sử 12 - Cánh diều
- Giải sgk Địa Lí 12 - Cánh diều
- Giải sgk Giáo dục KTPL 12 - Cánh diều
- Giải sgk Tin học 12 - Cánh diều
- Giải sgk Công nghệ 12 - Cánh diều
- Giải sgk Hoạt động trải nghiệm 12 - Cánh diều
- Giải sgk Giáo dục quốc phòng 12 - Cánh diều
- Giải sgk Âm nhạc 12 - Cánh diều


Giải bài tập SGK & SBT
Tài liệu giáo viên
Sách
Khóa học
Thi online
Hỏi đáp

