Các hằng đẳng thức căn bậc hai (siêu hay)
Các hằng đẳng thức căn bậc hai
Với loạt bài Các hằng đẳng thức căn bậc hai Toán lớp 9 sẽ giúp học sinh nắm vững công thức, biết cách làm bài tập từ đó có kế hoạch ôn tập hiệu quả để đạt kết quả cao trong các bài thi môn Toán 9.
Bài viết Các hằng đẳng thức căn bậc hai gồm 3 phần: Lý thuyết, Công thức và Các ví dụ có lời giải chi tiết giúp học sinh dễ học, dễ nhớ Các hằng đẳng thức căn bậc hai Toán 9.
I. Lí thuyết
Hằng đẳng thức căn hai là những hằng đẳng thức có chứa căn bậc hai trong biểu thức.
II. Công thức
* √A2 = 
* ( √A + √B)2 = A + 2√AB + B với A ≥ 0; B ≥ 0
* ( √A + B)2 = A + 2√AB + B2 với A ≥ 0
* ( √A - √B)2 = A - 2√AB + B với A ≥ 0; B ≥ 0
* ( √A - B)2 = A - 2√AB + B2 với A ≥ 0
* A - B2 = ( √A - B)( √A - B) với A ≥ 0
* B2 - A = ( B - √A )( B + √A) với A ≥ 0
* ( √A + √B)3 = (√A)3 + 3.(√A)2 √B + 3.√A (√B)3 + (√B)3
= A√A + 3A√B + 3√AB + B√B với A ≥ 0; B ≥ 0
* ( √A - √B)3 = (√A)3 - 3.(√A)2 √B + 3.√A (√B)3 - (√B)3
= A√A - 3A√B + 3√AB - B√B với A ≥ 0; B ≥ 0
* √A3 + √B3 = A√A + B√B = (√A)3 + (√B)3
= ( √A - √B)( A - √AB + B ) với A ≥ 0; B ≥ 0
* √A3 - √B3 = A√A - B√B = (√A)3 - (√B)3
= ( √A - √B)( A + √AB + B ) với A ≥ 0; B ≥ 0

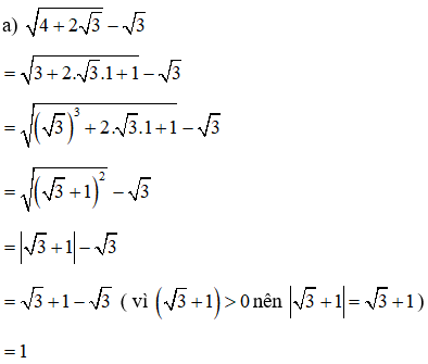
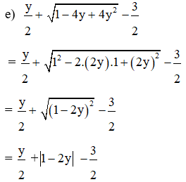
III. Các ví dụ
Dùng hằng đẳng thức rút gọn các biểu thức sau:

Lời giải:


c)
- 10a
=
- 10a
=
- 10a
Vì a ≤ 0 =>
-10a = 4.(-5a) - 10a
= -20a - 10a
= -30a



IV. Bài tập tự luyện
Rút gọn các biểu thức sau:

Xem thêm các Công thức Toán lớp 9 quan trọng hay khác:
Đã có app VietJack trên điện thoại, giải bài tập SGK, SBT Soạn văn, Văn mẫu, Thi online, Bài giảng....miễn phí. Tải ngay ứng dụng trên Android và iOS.
Theo dõi chúng tôi miễn phí trên mạng xã hội facebook và youtube:Nếu thấy hay, hãy động viên và chia sẻ nhé! Các bình luận không phù hợp với nội quy bình luận trang web sẽ bị cấm bình luận vĩnh viễn.
- Đề thi lớp 1 (các môn học)
- Đề thi lớp 2 (các môn học)
- Đề thi lớp 3 (các môn học)
- Đề thi lớp 4 (các môn học)
- Đề thi lớp 5 (các môn học)
- Đề thi lớp 6 (các môn học)
- Đề thi lớp 7 (các môn học)
- Đề thi lớp 8 (các môn học)
- Đề thi lớp 9 (các môn học)
- Đề thi lớp 10 (các môn học)
- Đề thi lớp 11 (các môn học)
- Đề thi lớp 12 (các môn học)
- Giáo án lớp 1 (các môn học)
- Giáo án lớp 2 (các môn học)
- Giáo án lớp 3 (các môn học)
- Giáo án lớp 4 (các môn học)
- Giáo án lớp 5 (các môn học)
- Giáo án lớp 6 (các môn học)
- Giáo án lớp 7 (các môn học)
- Giáo án lớp 8 (các môn học)
- Giáo án lớp 9 (các môn học)
- Giáo án lớp 10 (các môn học)
- Giáo án lớp 11 (các môn học)
- Giáo án lớp 12 (các môn học)


Giải bài tập SGK & SBT
Tài liệu giáo viên
Sách
Khóa học
Thi online
Hỏi đáp

