Công thức tìm góc quay của phép quay giữ nguyên hình đa giác đều (siêu hay)
Công thức tìm góc quay của phép quay giữ nguyên hình đa giác đều Toán 9 sẽ giúp học sinh lớp 9 nắm vững công thức, biết cách làm bài tập từ đó có kế hoạch ôn tập hiệu quả để đạt kết quả cao trong các bài thi Toán 9.
Công thức tìm góc quay của phép quay giữ nguyên hình đa giác đều
1. Công thức tìm góc quay của phép quay giữ nguyên hình đa giác đều
Cho hình đa giác đều A1A2…An (n ≥ 3, n ∈ ℕ) có tâm O.
Các phép quay giữ nguyên hình đa giác đều A1A2…An (n ≥ 3, n ∈ ℕ) với tâm O là các phép quay thuận chiều α° tâm O và các phép quay ngược chiều α° tâm O, với α° lần lượt nhận các giá trị
= 360°.
2. Ví dụ minh họa tìm góc quay của phép quay giữ nguyên hình đa giác đều
Ví dụ 1. Cho hình vuông ABCD tâm O. Nêu các phép quay giữ nguyên hình vuông đó.
Hướng dẫn giải
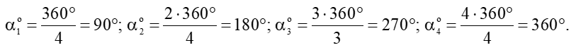
Các phép quay giữ nguyên hình vuông ABCD với tâm O là các phép quay thuận chiều α° tâm O và các phép quay ngược chiều α° tâm O, với α° lần lượt nhận các giá trị
Ví dụ 2. Cho đa giác đều có 12 cạnh A1A2A3…A11A12 với tâm O. Tìm phát biểu đúng trong các phát biểu sau:
a) Các phép quay thuận chiều α° tâm O, với α° lần lượt nhận các giá trị 30°; 60°; 90°; …; 330°; 360° giữ nguyên hình đa giác đều A1A2A3…A11A12.
b) Các phép quay thuận chiều α° tâm O, với α° lần lượt nhận các giá trị 20°; 40°; 60°; …; 340°; 360° giữ nguyên hình đa giác đều A1A2A3…A11A12.
c) Các phép quay ngược chiều α° tâm O, với α° lần lượt nhận các giá trị 30°; 60°; 90°; …; 330°; 360° giữ nguyên hình đa giác đều A1A2A3…A11A12.
d) Các phép quay ngược chiều α° tâm O, với α° lần lượt nhận các giá trị 20°; 40°; 60°; …; 340°; 360° giữ nguyên hình đa giác đều A1A2A3…A11A12.
Hướng dẫn giải:
Các phép quay giữ nguyên hình đa giác đều A1A2A3…A11A12 với tâm O là các phép quay thuận chiều α° tâm O và các phép quay ngược chiều tâm O, với α° lần lượt nhận các giá trị:
Vậy các phát biểu a) và c) là đúng.
3. Bài tập tự luyện tìm góc quay của phép quay giữ nguyên hình đa giác đều
Bài 1. Cho hình vuông ABCD có tâm O (thứ tự các đỉnh theo chiều kim đồng hồ) và phép quay tâm O biến điểm D thành điểm C.
a) Phép quay đó là phép quay nào?
b) Các điểm C, B, A tương ứng biến thành các điểm nào?
Bài 2. Cho hình ngũ giác ABCDE có tâm O (thứ tự các đỉnh ngược chiều kim đồng hồ).
a) Phép quay tâm O biến điểm A thành điểm B thì những điểm còn lại tương ứng biến thành các điểm nào?
b) Hãy chỉ ra các phép quay khác của tâm O giữ nguyên hình ngũ giác đã cho.
Bài 3. Cho đa giác đều 10 cạnh ABCEFGHIKZ (hình vẽ).
a) Tính số đo góc .
b) Hãy chỉ ra phép quay tâm O biến điểm A thành điểm Z và biến điểm A thành điểm B. Hai phép quay tâm O có giữ nguyên đa giác đều 10 cạnh?
c) Ứng với hai phép quay đó các điểm còn lại thành những điểm mới nào?
Bài 4. Vẽ trên giấy 18 hình tam giác đều bằng nhau như hình dưới.
a) Đánh dấu 6 điểm mút của hình chong chóng sao cho các điểm mút đánh dấu là các đỉnh của một hình lục giác đều tâm O.
b) Hãy chỉ ra phép quay tâm O giữ nguyên hình chong chóng.
Bài 5. Cho hình vuông ABCD với tâm O (thứ tự các đỉnh ngược chiều kim đồng hồ). Gọi M, N, P, Q lần lượt là trung điểm của các cạnh AD, DC, CB, BA. Hãy chỉ ra các phép quay tâm O giữ nguyên tứ giác MNPQ.
Xem thêm các Công thức Toán lớp 9 quan trọng hay khác:
Công thức tính bán kính đường tròn ngoại tiếp của hình chữ nhật và hình vuông
Công thức tính diện tích xung quanh và thể tích của hình trụ
Công thức tính diện tích xung quanh và thể tích của hình nón
Đã có app VietJack trên điện thoại, giải bài tập SGK, SBT Soạn văn, Văn mẫu, Thi online, Bài giảng....miễn phí. Tải ngay ứng dụng trên Android và iOS.
Theo dõi chúng tôi miễn phí trên mạng xã hội facebook và youtube:Nếu thấy hay, hãy động viên và chia sẻ nhé! Các bình luận không phù hợp với nội quy bình luận trang web sẽ bị cấm bình luận vĩnh viễn.
- Đề thi lớp 1 (các môn học)
- Đề thi lớp 2 (các môn học)
- Đề thi lớp 3 (các môn học)
- Đề thi lớp 4 (các môn học)
- Đề thi lớp 5 (các môn học)
- Đề thi lớp 6 (các môn học)
- Đề thi lớp 7 (các môn học)
- Đề thi lớp 8 (các môn học)
- Đề thi lớp 9 (các môn học)
- Đề thi lớp 10 (các môn học)
- Đề thi lớp 11 (các môn học)
- Đề thi lớp 12 (các môn học)
- Giáo án lớp 1 (các môn học)
- Giáo án lớp 2 (các môn học)
- Giáo án lớp 3 (các môn học)
- Giáo án lớp 4 (các môn học)
- Giáo án lớp 5 (các môn học)
- Giáo án lớp 6 (các môn học)
- Giáo án lớp 7 (các môn học)
- Giáo án lớp 8 (các môn học)
- Giáo án lớp 9 (các môn học)
- Giáo án lớp 10 (các môn học)
- Giáo án lớp 11 (các môn học)
- Giáo án lớp 12 (các môn học)


Giải bài tập SGK & SBT
Tài liệu giáo viên
Sách
Khóa học
Thi online
Hỏi đáp

