15 Bài tập Phép chia đa thức một biến (có đáp án) - Kết nối tri thức Trắc nghiệm Toán 7
Với 18 bài tập trắc nghiệm Phép chia đa thức một biến Toán lớp 7 có đáp án và lời giải chi tiết đầy đủ các mức độ, có đúng sai, trả lời ngắn sách Kết nối tri thức sẽ giúp học sinh ôn luyện trắc nghiệm để biết cách làm các dạng bài tập Toán 7.
15 Bài tập Phép chia đa thức một biến (có đáp án) - Kết nối tri thức Trắc nghiệm Toán 7
Chỉ 150k mua trọn bộ trắc nghiệm Toán 7 Kết nối tri thức (cả năm) có lời giải chi tiết, bản word trình bày đẹp mắt, dễ dàng chỉnh sửa:
- B1: gửi phí vào tk:
1133836868- CT TNHH DAU TU VA DV GD VIETJACK - Ngân hàng MB (QR) - B2: Nhắn tin tới Zalo VietJack Official - nhấn vào đây để thông báo và nhận giáo án
Phần I. Trắc nghiệm nhiều phương án lựa chọn
Câu 1. Tính 8x5 : 2x3 = ?
A. 4x2;
B. 3x2;
C. 2x2;
D. x2.
Câu 2. Tính 4x5 : 2x = ?
A. x4;
B. 2x4;
C. 3x4;
D. 4x4.
Câu 3. Tính 200x7 : (–10x5) = ?
A. –2x2;
B. –10x2;
C. –20x2;
D. 20x2.
Câu 4. Tính 121x7 : 11x = ?
A. 10x6;
B. 12x6;
C. x6;
D. 11x6.
Câu 5. Tính: (5x2 – 20x) : 5 = ?
A. x – 4;
B. x2 – 4;
C. x2 + 4x;
D. x2 – 4x.
Câu 6. Tính: (10x3 – 20x2 + 30x) : 10x = ?
A. x2 – 2x;
B. x2 – 2x + 3;
C. x2 – 2x – 3;
D. x2 + 2x + 3.
Câu 7. Tính: (12x5 – 24x3 – 6x) : 6x = ?
A. 2x4 – 4x2 – 1;
B. 2x4 – 4x2;
C. 2x4 – 4x2 + 1;
D. 2x4 + 4x2 – 1.
Câu 8. Tính: (6x5 – 21x3 – 9x) : (–3x) = ?
A. –2x4 + 7x2 + 3;
B. 2x4 + 7x2 + 3;
C. –2x4 + 7x2;
D. –2x4 + 7x2 – 3.
Câu 9. Tính: (6x5 – 21x3 – 9x2) : (–x2) = ?
A. 6x3 + 21x + 9;
B. –6x3 + 21x – 9;
C. –6x3 + 21x + 9;
D. –6x3 + 21x.
Câu 10. Tính: (6x4 – 12x3 – 8x2) : (–2x2) = ?
A. 3x2 + 6x + 4;
B. –3x2 + 6x – 4;
C. –3x2 + 6x + 4;
D. –3x2 + 6x.
Câu 11. Tính (x3 + x2 – 12) : (x – 2) = ?
A. x2 – 3x + 6;
B. x2 + 3x – 6;
C. x2 + 3x;
D. x2 + 3x + 6.
Câu 12. Tính: (3x4 – 2x3 – 2x2 + 4x – 8) : (x2 – 2)
A. 3x2 – 2x + 4;
B. 3x2 – 2x;
C. 3x2 – 2x – 4;
D. –3x2 – 2x + 4.
Câu 13. Đa thức thương của phép chia: (3x5 + 5x4 – 1) : (x2 + x + 1) là:
A. 3x3 + 2x2 + 5x + 3;
B. 3x3 + 2x2 – 5x – 3;
C. 3x3 + 2x2 – 5x + 3;
D. 3x3 + 2x2 – 5x.
Câu 14. Phép chia: (4x4 + 3x2 – 2x + 1) : (x2 + 1) có đa thức dư là:
A. –2x + 2;
B. 4x2;
C. 4x2 – 1;
D. 2x – 1.
Câu 15. Phép chia: (x5 + x3 + x2 + 2) : (x3 + 1) có đa thức dư là:
A. 0;
B. 1;
C. x2 + 1;
D. x2 – 1.
Phần II. Trắc nghiệm đúng, sai
Câu hỏi. Một công ty sau khi tăng giá 50 nghìn đồng mỗi sản phẩm so với giá ban đầu là x (nghìn đồng) với x < 60 thì có doanh thu là -5x2 + 50x + 15 000 (nghìn đồng). Khi đó:
a) Giá mỗi sản phẩm sau khi tăng giá là x + 50 (nghìn đồng).
b) Số sản phẩm bán được khi công ty đã tăng giá là 5x + 300 sản phẩm.
c) Với x = 15 thì giá mỗi sản phẩm sau khi tăng giá là 65 nghìn đồng.
d) Công ty bán được 375 sản phẩm khi x = 15.
Phần III. Trắc nghiệm trả lời ngắn
Câu 1. Biết phép chia A : B với A = 2x4 + x3 + 3x2 + 4x + 9 với B = x2 + 1 là phép chia có dư. Biết dư của phép chia có dạng ax + b (a, b ). Tính a + b.
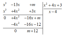
Câu 2. Tìm giá trị của m để (x3 - 13x + m) chia hết cho (x2 + 4x + 3).
................................
................................
................................
Xem thêm bài tập trắc nghiệm Toán lớp 7 Kết nối tri thức có đáp án hay khác:
Trắc nghiệm Toán 7 Bài 30: Làm quen với xác suất của biến cố
Trắc nghiệm Toán 7 Bài 31: Quan hệ giữa góc và cạnh đối diện trong một tam giác
Xem thêm các tài liệu học tốt lớp 7 hay khác:
- Giải sgk Toán 7 Kết nối tri thức
- Giải SBT Toán 7 Kết nối tri thức
- Giải lớp 7 Kết nối tri thức (các môn học)
- Giải lớp 7 Chân trời sáng tạo (các môn học)
- Giải lớp 7 Cánh diều (các môn học)
Tủ sách VIETJACK shopee lớp 6-8 (2025):
Đã có app VietJack trên điện thoại, giải bài tập SGK, SBT Soạn văn, Văn mẫu, Thi online, Bài giảng....miễn phí. Tải ngay ứng dụng trên Android và iOS.
Theo dõi chúng tôi miễn phí trên mạng xã hội facebook và youtube:Loạt bài Giải bài tập Toán lớp 7 của chúng tôi được biên soạn bám sát sgk Toán 7 Tập 1 & Tập 2 bộ sách Kết nối tri thức với cuộc sống (NXB Giáo dục).
Nếu thấy hay, hãy động viên và chia sẻ nhé! Các bình luận không phù hợp với nội quy bình luận trang web sẽ bị cấm bình luận vĩnh viễn.
- Soạn văn 7 (hay nhất) - KNTT
- Soạn văn 7 (ngắn nhất) - KNTT
- Giải sgk Toán 7 - KNTT
- Giải Tiếng Anh 7 Global Success
- Giải Tiếng Anh 7 Friends plus
- Giải sgk Tiếng Anh 7 Smart World
- Giải Tiếng Anh 7 Explore English
- Giải sgk Khoa học tự nhiên 7 - KNTT
- Giải sgk Lịch Sử 7 - KNTT
- Giải sgk Địa Lí 7 - KNTT
- Giải sgk Giáo dục công dân 7 - KNTT
- Giải sgk Tin học 7 - KNTT
- Giải sgk Công nghệ 7 - KNTT
- Giải sgk Hoạt động trải nghiệm 7 - KNTT
- Giải sgk Âm nhạc 7 - KNTT


Giải bài tập SGK & SBT
Tài liệu giáo viên
Sách
Khóa học
Thi online
Hỏi đáp

