Đề kiểm tra 15 phút Toán 12 Chương 3 Hình học có đáp án (Đề 1)
Đề kiểm tra Toán 12
Thời gian làm bài: 15 phút
Câu 1. Trong không gian tọa độ Oxyz, cho ba điểm M(1;1;1), N(2;3;4), P(7;7;5). Để tứ giác MNPQ là hình bình hành thì tọa độ điểm Q là
A. Q(-6;5;2).
B. Q(6;5;2).
C. Q(6;-5;2).
D. Q(-6;-5;-2).
Câu 2. Cho điểm M(1;2;-3) và N(1;-2;1), khoảng cách MN = ?
Câu 3. Cho điểm M(-2;5;0), hình chiếu vuông góc của điểm M trên trục Oy là điểm
A. M'(2;5;0).
B. M'(0;-5;0).
C. M'(0;5;0).
D. M'(-2;0;0).
Câu 4. Cho điểm M(1; 2; -3), hình chiếu vuông góc của điểm M trên mặt phẳng (Oxy) là:
A. M'(1;2;0)
B. M'(1;0;-3)
C. M'(0;2;-3)
D. M'(1;2;3)
Câu 5. Cho điểm M(3; 2; -1), điểm đối xứng của M qua mặt phẳng (Oxy) là điểm
A. M'(3;-2;1)
B. M'(3;-2;-1)
C. M'(3;2;1)
D. M'(3;2;0)
Câu 6. Cho điểm M(3;2;-1), điểm M'(a;b;c) đối xứng của M qua trục Oy, khi đó a+b+c bằng
A. 6
B. 4
C. 0
D. 2
Câu 7. Trong không gian với hệ trục tọa độ Oxyz, cho ba điểm A(1;2;-1), B(2;-1;3), C(-2;3;3). Tìm tọa độ điểm D là chân đường phân giác trong góc A của tam giác ABC
A. D(0;3;1)
B. D(0;1;3)
C. D(0;-3;1)
D. D(0;3;-1)
Câu 8. Cho hình chóp tam giác S.ABC với I là trọng tâm của đáy ABC. Đẳng thức nào sau đây là đẳng thức đúng
Câu 9. Trong không gian tọa độ cho ba điểm A(2;5;1), B(-2;-6;2), C(1;2;-1) và điểm M(m;m;m), để đạt giá trị nhỏ nhất thì m bằng
A. 1
B. 3
C. 2
D. 4
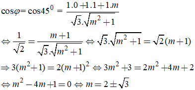
Câu 10. Cho . Để góc giữa hai vectơ
có số đo bằng 45° thì m bằng
Đáp án & Hướng dẫn giải
Câu 1. Chọn B.
Gọi điểm Q(x;y;z)
Vì MNPQ là hình bình hành nên
Câu 2. Chọn D.
Ta có:
Câu 3. Chọn C.
Với M(a,b,c) thì hình chiếu vuông góc của M lên trục Oy là M1(0;b;0)
Do đó, hình chiếu vuông góc của M(-2;5;0) lên trục Oy là M’(0;5;0).
Câu 4. Chọn A.
Với M (a,b,c) thì hình chiếu vuông góc của M lên mặt phẳng (Oxy) là M1(a;b;0)
Do đó, hình chiếu của điểm M(1;2;-3) lên mặt phẳng (Oxy) là điểm M’(1;2;0).
Câu 5. Chọn C.
Với M(a,b,c) thì điểm đối xứng của M qua mặt phẳng (Oxy) là M’ (a;b;-c).
Do đó, điểm đối xứng với điểm M(3;2;-1) qua mặt phẳng (Oxy) là M’(3;2;1).
Câu 6. Chọn C.
Với M(a,b,c) thì điểm đối xứng của M qua trục Oy là M'(-a;b;-c)
⇒ M'(-3;2;1) ⇒ a + b + c = 0.
Câu 7. Chọn B.
Ta có
Suy ra, tam giác ABC cân ở A nên D là trung điểm BC.
Câu 8. Chọn B.
Vì I là trọng tâm tam giác:
Câu 9. Chọn C.
Câu 10. Chọn B.
Xem thêm các Đề thi Toán 12 chọn lọc, có đáp án hay khác:
Đề kiểm tra 15 phút Toán 12 Chương 3 Hình học có đáp án (Đề 2)
Đề kiểm tra 15 phút Toán 12 Chương 3 Hình học có đáp án (Đề 3)
Đề kiểm tra 15 phút Toán 12 Chương 3 Hình học có đáp án (Đề 4)
Đề kiểm tra 15 phút Toán 12 Chương 3 Hình học có đáp án (Đề 5)
Để học tốt lớp 12 các môn học sách mới:
- Giải bài tập Lớp 12 Kết nối tri thức
- Giải bài tập Lớp 12 Chân trời sáng tạo
- Giải bài tập Lớp 12 Cánh diều
Đã có app VietJack trên điện thoại, giải bài tập SGK, SBT Soạn văn, Văn mẫu, Thi online, Bài giảng....miễn phí. Tải ngay ứng dụng trên Android và iOS.
Theo dõi chúng tôi miễn phí trên mạng xã hội facebook và youtube:Nếu thấy hay, hãy động viên và chia sẻ nhé! Các bình luận không phù hợp với nội quy bình luận trang web sẽ bị cấm bình luận vĩnh viễn.
- Giáo án lớp 12 (các môn học)
- Giáo án điện tử lớp 12 (các môn học)
- Giáo án Toán 12
- Giáo án Ngữ văn 12
- Giáo án Vật Lí 12
- Giáo án Hóa học 12
- Giáo án Sinh học 12
- Giáo án Địa Lí 12
- Giáo án Lịch Sử 12
- Giáo án Lịch Sử 12 mới
- Giáo án GDCD 12
- Giáo án Kinh tế Pháp luật 12
- Giáo án Tin học 12
- Giáo án Công nghệ 12
- Giáo án GDQP 12
- Đề thi lớp 12 (các môn học)
- Đề thi Ngữ văn 12
- Đề thi Toán 12
- Đề thi Tiếng Anh 12 mới
- Đề thi Tiếng Anh 12
- Đề thi Vật Lí 12
- Đề thi Hóa học 12
- Đề thi Sinh học 12
- Đề thi Địa Lí 12
- Đề thi Lịch Sử 12
- Đề thi Giáo dục Kinh tế Pháp luật 12
- Đề thi Giáo dục quốc phòng 12
- Đề thi Tin học 12
- Đề thi Công nghệ 12


Giải bài tập SGK & SBT
Tài liệu giáo viên
Sách
Khóa học
Thi online
Hỏi đáp

