Đề kiểm tra 15 phút Toán 12 Chương 3 Hình học có đáp án (Đề 3)
Đề kiểm tra Toán 12
Thời gian làm bài: 15 phút
Câu 1. Trong không gian Oxyz, viết phương trình mặt phẳng (P) đi qua điểm A(1;0;-2) và có vectơ pháp tuyến .
A. x - y + 2z – 3 = 0
B. x - y + 2z + 3 = 0
C. x - 2z + 3 = 0
D. x + 2z – 3 = 0
Câu 2. Trong không gian Oxyz, cho hai mặt phẳng (P): 2x - my - 4z - 6 + m = 0 và (Q): (m + 3)x + y + (5m + 1)z - 7 = 0. Tìm m để hai mặt phẳng (P) và (Q) trùng nhau.
Câu 3. Trong không gian Oxyz, cho hai mặt phẳng (P): 2x + my + 2mz - 9 = 0 và (Q): 6x - y - z - 10 = 0. Tìm m để (P) ⊥ (Q).
A. m = 4
B. m = -4
C. m = -2
D. m = 2
Câu 4. Trong không gian Oxyz, viết phương trình mặt phẳng (P) đi qua điểm M(0;1;3) và song song với mặt phẳng(Q): 2x - 3z + 1 = 0.
A. 2x - 3z - 10 = 0
B. 2x + 3z – 9 = 0
C. 2x - 3z + 9 = 0
D. 2x + 3z + 1 = 0
Câu 5. Trong không gian Oxyz, viết phương trình mặt phẳng đi qua ba điểm A(1;0;-2), B(1;1;1), C(0;-1;2).
A. 7x - 3y + z – 1 = 0
B. 7x + 3y + z + 3 = 0
C. 7x + 3y + z + 1 = 0
D. 7x – 3y + z – 5 = 0
Câu 6. Trong không gian Oxyz, viết phương trình mặt phẳng (α) đi qua điểm A(1;2;-2), B(2;-1;4) và vuông góc với (β): x - 2y - z + 1 = 0.
A. 15x + 7y + z – 27 = 0
B. 15x – 7y + z + 1 = 0
C. 15x – 7y – z + 1 = 0
D. Đáp án khác
Câu 7. Trong không gian Oxyz, viết phương trình mặt phẳng (P) đi qua điểm M(-1;-2;5) và vuông góc với hai mặt phẳng (Q): x + 2y - 3z + 1 = 0 và (R): 2x - 3y + z + 1 = 0.
A. x- y + z – 6 = 0
B. x + y - z + 8 = 0
C. –x + y + z – 4 = 0
D. x + y + z - 2 = 0
Câu 8. Trong không gian Oxyz, viết phương trình mặt phẳng (P) song song với mặt phẳng (Q): x + 2y - 2z + 1 = 0 và cách (Q) một khoảng bằng 3.
A. x + 2y -2z + 8 = 0 và x + 2y – 2z – 10 = 0.
B. x + 2y- 2z + 6 = 0 và x + 2y- 2z – 8 = 0
C. x + 2y – 2z – 8 = 0 và x + 2y – 2z + 10 = 0
D. Đáp án khác.
Câu 9. Trong không gian Oxyz, viết phương trình mặt phẳng (P) song song với mặt phẳng (Q): x + 2y - 2z + 1 = 0 và tiếp xúc với mặt cầu (S): x2 + y2 + z2 + 2x – 4y – 2z – 3 = 0
A. x+ 2y – 2z + 12 = 0 và x + 2y – 2z - 6 = 0
B. x+ 2y – 2z – 12 = 0 và x + 2y – 2z + 6 = 0
C. x+ 2y – 2z + 10 = 0 và x + 2y – 2z - 8 = 0
D. x+ 2y – 2z – 10 = 0 và x + 2y – 2z + 8 = 0
Câu 10. Trong không gian với hệ trục tọa độ Oxyz, cho hai mặt phẳng (α): 3x + (m - 1)y + 4z - 2 = 0, (β): nx + (m + 2)y + 2z + 4 = 0. Với giá trị thực của m, n bằng bao nhiêu để (α) song song (β)
Đáp án & Hướng dẫn giải
Câu 1. Chọn B.
Mặt phẳng (P) đi qua điểm A(1;0;-2) và có vectơ pháp tuyến có phương trình là:
1(x - 1) - 1(y - 0) + 2(z + 2) = 0 ⇔ x - y + 2z + 3 = 0.
Vậy phương trình mặt phẳng (P) là: x- y + 2z + 3 = 0.
Câu 2. Chọn C.
Để hai mặt phẳng (P) và (Q) trùng nhau khi và chỉ khi:
Câu 3. Chọn A.
Để hai mặt phẳng (P) và (Q) vuông góc với nhau khi:
Câu 4. Chọn C.
Mặt phẳng (P) song song với mặt phẳng (Q):2x - 3z + 1 = 0 nên mặt phẳng (P) có phương trình dạng: 2x - 3z + D = 0 (D ≠ 1).
Mặt phẳng (P) đi qua điểm M nên thay tọa độ điểm vào phương trình mặt phẳng (P) ta được:
2.0 - 3.3 + D = 0 ⇔ D = 9 (thỏa mãn D ≠ 1).
Vậy phương trình mặt phẳng (P) là: 2x - 3z + 9 = 0.
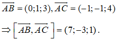
Câu 5. Chọn D.
Ta có:
Gọi là một vectơ pháp tuyến của mặt phẳng (ABC) ta có
Chọn ta được phương trình mặt phẳng (ABC) là:
Câu 6. Chọn A.
Mặt phẳng (β) có VTPT là .
Mặt phẳng chứa A, B và vuông góc với (β) nên (α) có một vectơ pháp tuyến là:
Phương trình mặt phẳng (α)là:
15(x - 1) + 7(y - 2) + 1(z + 2) = 0 hay 15x + 7y + z - 27 = 0.
Câu 7. Chọn D
VTPT của (Q) là , VTPT của (R) là
Ta có nên mặt phẳng (P) nhận
là một VTPT và (P) đi qua điểm M(-1;-2;5) nên có phương trình là:
1(x + 1) + 1(y + 2) + 1(z - 5) = 0 hay x + y + z -2 = 0.
Câu 8. Chọn C.
Trên mặt phẳng (Q): x + 2y - 2z + 1 = 0 chọn điểm M (-1;0;0).
Do (P) song song với mặt phẳng (Q) nên phương trình của mặt phẳng (P) có dạng: x + 2y - 2z + D = 0 với D ≠ 1.
Vậy có hai mặt phẳng thỏa mãn: x + 2y – 2z + 10 = 0 và x + 2y -2z – 8 = 0.
Câu 9. Chọn D.
Mặt cầu (S) có tâm I(-1;2;1) và bán kính
Do (P) song song với mặt phẳng (Q) nên phương trình của mặt phẳng (P) có dạng:
x + 2y – 2z + D = 0 với D ≠ 1.
Vì (P) tiếp xúc với mặt cầu (S) nên d(I;(P)) = R = 3
Vậy có hai mặt phẳng thỏa mãn: x + 2y – 2z – 10 = 0 và x + 2y – 2z + 8 = 0
Câu 10. Chọn A.
Để (α) song song (β)
Xem thêm các Đề thi Toán 12 chọn lọc, có đáp án hay khác:
Đề kiểm tra 15 phút Toán 12 Chương 3 Hình học có đáp án (Đề 1)
Đề kiểm tra 15 phút Toán 12 Chương 3 Hình học có đáp án (Đề 2)
Đề kiểm tra 15 phút Toán 12 Chương 3 Hình học có đáp án (Đề 4)
Đề kiểm tra 15 phút Toán 12 Chương 3 Hình học có đáp án (Đề 5)
Để học tốt lớp 12 các môn học sách mới:
- Giải bài tập Lớp 12 Kết nối tri thức
- Giải bài tập Lớp 12 Chân trời sáng tạo
- Giải bài tập Lớp 12 Cánh diều
Đã có app VietJack trên điện thoại, giải bài tập SGK, SBT Soạn văn, Văn mẫu, Thi online, Bài giảng....miễn phí. Tải ngay ứng dụng trên Android và iOS.
Theo dõi chúng tôi miễn phí trên mạng xã hội facebook và youtube:Nếu thấy hay, hãy động viên và chia sẻ nhé! Các bình luận không phù hợp với nội quy bình luận trang web sẽ bị cấm bình luận vĩnh viễn.
- Giáo án lớp 12 (các môn học)
- Giáo án điện tử lớp 12 (các môn học)
- Giáo án Toán 12
- Giáo án Ngữ văn 12
- Giáo án Vật Lí 12
- Giáo án Hóa học 12
- Giáo án Sinh học 12
- Giáo án Địa Lí 12
- Giáo án Lịch Sử 12
- Giáo án Lịch Sử 12 mới
- Giáo án GDCD 12
- Giáo án Kinh tế Pháp luật 12
- Giáo án Tin học 12
- Giáo án Công nghệ 12
- Giáo án GDQP 12
- Đề thi lớp 12 (các môn học)
- Đề thi Ngữ văn 12
- Đề thi Toán 12
- Đề thi Tiếng Anh 12 mới
- Đề thi Tiếng Anh 12
- Đề thi Vật Lí 12
- Đề thi Hóa học 12
- Đề thi Sinh học 12
- Đề thi Địa Lí 12
- Đề thi Lịch Sử 12
- Đề thi Giáo dục Kinh tế Pháp luật 12
- Đề thi Giáo dục quốc phòng 12
- Đề thi Tin học 12
- Đề thi Công nghệ 12


Giải bài tập SGK & SBT
Tài liệu giáo viên
Sách
Khóa học
Thi online
Hỏi đáp

