Đề kiểm tra Toán 11 Cánh diều Chương 1 (có lời giải)
Đề kiểm tra Toán 11 Cánh diều Chương 1: Hàm số lượng giác và phương trình lượng giác có đáp án chi tiết theo cấu trúc mới với bài tập đa dạng đầy đủ các mức độ sẽ giúp học sinh lớp 11 ôn luyện Toán 11.
Đề kiểm tra Toán 11 Cánh diều Chương 1 (có lời giải)
Chỉ từ 250k mua trọn bộ Bài tập ôn tập + Đề kiểm tra Toán 11 Cánh diều theo Chương theo cấu trúc mới bản word có lời giải chi tiết, trình bày đẹp mắt, dễ dàng chỉnh sửa:
- B1: gửi phí vào tk:
1133836868- CT TNHH DAU TU VA DV GD VIETJACK - Ngân hàng MB (QR) - B2: Nhắn tin tới Zalo VietJack Official - nhấn vào đây để thông báo và nhận đề thi
Phần 1. Trắc nghiệm nhiều phương án lựa chọn
Mỗi câu hỏi thí sinh chỉ chọn một phương án.
Câu 1. Đường cong trong hình sau đây là đồ thị của hàm số trên đoạn :
Khẳng định nào dưới đây sai?
A. Hàm số là hàm số tuần hoàn với chu kì
B. Hàm số đồng biến trên khoảng .
C. Hàm số có tập giá trị là .
D. Hàm số là hàm số chẵn.
Câu 2. Cho góc lượng giác α thỏa mãn và . Giá trị của bằng
A.
B.
C.
D.
Câu 3. Cho . Khi đó bằng
A.
B.
C.
D.
Câu 4. Trong các công thức lượng giác dưới đây, công thức nào đúng.
A.
B.
C.
D.
Câu 5. Tập xác định của hàm số là
A.
B.
C.
D.
Câu 6. Nghiệm của phương trình là
A.
B.
C.
D.
Phần 2. Trắc nghiệm đúng sai
Trong mỗi ý a), b), c), d) ở mỗi câu, thí sinh chọn đúng hoặc sai.
Câu 1. Cho góc lượng giác α thỏa mãn
a)
b)
c)
d)
Câu 2. Cho hàm số xác định trên tập D.
a) Tập xác định của hàm số là
b)
c)
d) Tổng các nghiệm của phương trình trên khoảng là
Phần 3. Trắc nghiệm trả lời ngắn
Câu 1. Hằng ngày mực nước của con kênh lên xuống theo thủy triều, độ sâu L (tính theo đơn vị mét) của mực mước trong kênh theo thời gian t (giờ) được cho bởi công thức . Thời gian ngắn nhất để mực nước của kênh cao nhất là (giờ) với là phân số tối giản. Tính giá trị của a.b
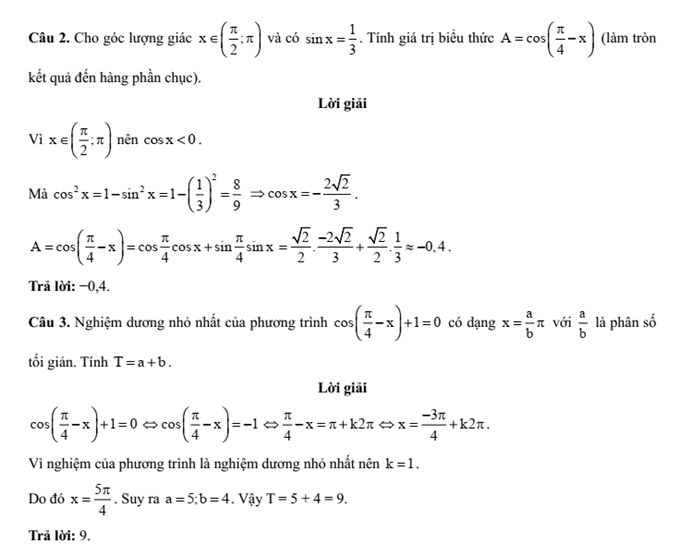
Câu 2. Cho góc lượng giác và có . Tính giá trị biểu thức (làm tròn kết quả đến hàng phần chục).
Câu 3. Nghiệm dương nhỏ nhất của phương trình có dạng với là phân số tối giản. Tính
................................
................................
................................
Xem thêm đề kiểm tra Toán lớp 11 Cánh diều có đáp án hay khác:
Xem thêm các tài liệu học tốt lớp 11 hay khác:
- Giải sgk Toán 11 Cánh diều
- Giải Chuyên đề học tập Toán 11 Cánh diều
- Giải SBT Toán 11 Cánh diều
- Giải lớp 11 Cánh diều (các môn học)
- Giải lớp 11 Kết nối tri thức (các môn học)
- Giải lớp 11 Chân trời sáng tạo (các môn học)
Tủ sách VIETJACK shopee lớp 10-11 (cả 3 bộ sách):
Đã có app VietJack trên điện thoại, giải bài tập SGK, SBT Soạn văn, Văn mẫu, Thi online, Bài giảng....miễn phí. Tải ngay ứng dụng trên Android và iOS.
Theo dõi chúng tôi miễn phí trên mạng xã hội facebook và youtube:Nếu thấy hay, hãy động viên và chia sẻ nhé! Các bình luận không phù hợp với nội quy bình luận trang web sẽ bị cấm bình luận vĩnh viễn.
- Soạn văn 11 Cánh diều (hay nhất)
- Soạn văn 11 Cánh diều (ngắn nhất)
- Giải sgk Toán 11 - Cánh diều
- Giải Tiếng Anh 11 Global Success
- Giải sgk Tiếng Anh 11 Smart World
- Giải sgk Tiếng Anh 11 Friends Global
- Giải sgk Vật Lí 11 - Cánh diều
- Giải sgk Hóa học 11 - Cánh diều
- Giải sgk Sinh học 11 - Cánh diều
- Giải sgk Lịch Sử 11 - Cánh diều
- Giải sgk Địa Lí 11 - Cánh diều
- Giải sgk Giáo dục KTPL 11 - Cánh diều
- Giải sgk Tin học 11 - Cánh diều
- Giải sgk Công nghệ 11 - Cánh diều
- Giải sgk Hoạt động trải nghiệm 11 - Cánh diều
- Giải sgk Giáo dục quốc phòng 11 - Cánh diều
- Giải sgk Âm nhạc 11 - Cánh diều


Giải bài tập SGK & SBT
Tài liệu giáo viên
Sách
Khóa học
Thi online
Hỏi đáp

