Đề kiểm tra Toán 11 Cánh diều Chương 6 (có lời giải)
Đề kiểm tra Toán 11 Cánh diều Chương 6: Hàm số mũ và hàm số lôgarit có đáp án chi tiết theo cấu trúc mới với bài tập đa dạng đầy đủ các mức độ sẽ giúp học sinh lớp 11 ôn luyện Toán 11.
Đề kiểm tra Toán 11 Cánh diều Chương 6 (có lời giải)
Chỉ từ 250k mua trọn bộ Bài tập ôn tập + Đề kiểm tra Toán 11 Cánh diều theo Chương theo cấu trúc mới bản word có lời giải chi tiết, trình bày đẹp mắt, dễ dàng chỉnh sửa:
- B1: gửi phí vào tk:
1133836868- CT TNHH DAU TU VA DV GD VIETJACK - Ngân hàng MB (QR) - B2: Nhắn tin tới Zalo VietJack Official - nhấn vào đây để thông báo và nhận đề thi
Phần 1. Trắc nghiệm nhiều phương án lựa chọn
Mỗi câu hỏi thí sinh chỉ chọn một phương án.
Câu 1. Với a, b là hai số thực dương tùy ý, bằng
A.
B.
C.
D.
Câu 2. Cho thỏa mãn . Khi đó:
A.
B.
C.
D.
Câu 3. Cho ba số thực dương a, b, c khác 1. Trong hình vẽ dưới đây có đồ thị của các hàm số .
Mệnh đề nào sau đây đúng?
A.
B.
C.
D.
Câu 4. Số nghiệm của phương trình
A. 0
B. 1
C. 2
D. 3
Câu 5. Khẳng định nào sau đây đúng?
A.
B.
C.
D.
Câu 6. Tích tất cả các nghiệm của phương trình
A. 5
B. 1
C. -1
D. 2
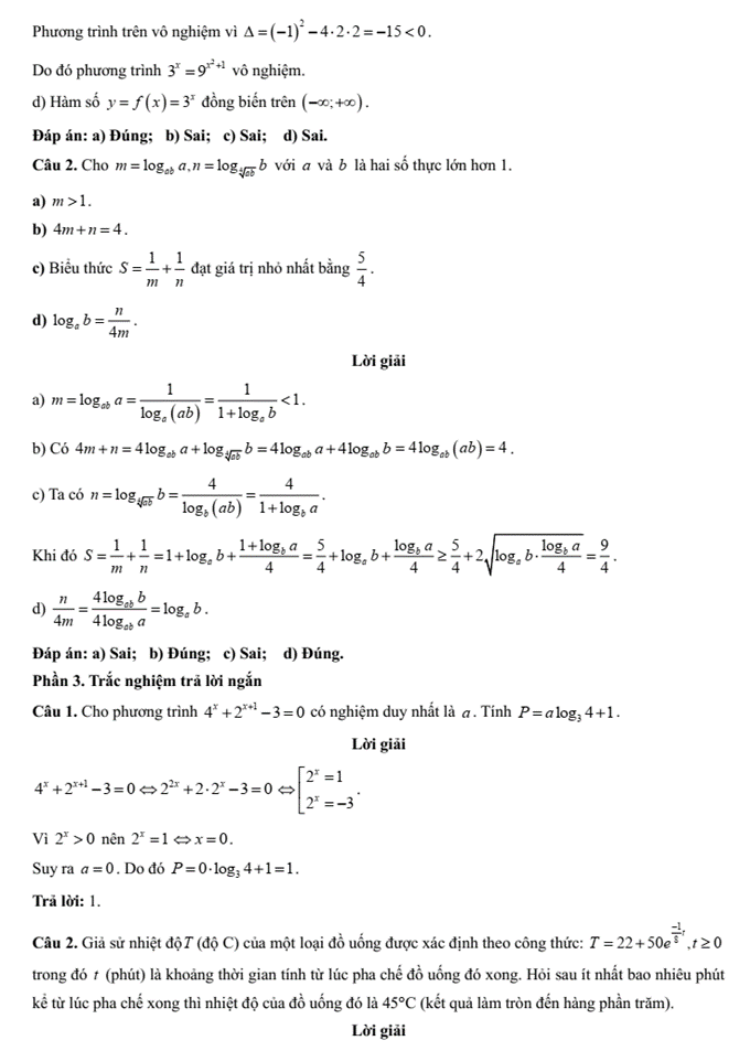
Phần 2. Trắc nghiệm đúng sai
Trong mỗi ý a), b), c), d) ở mỗi câu, thí sinh chọn đúng hoặc sai.
Câu 1. Cho hai hàm số .
a) Hàm số có tập xác định là .
b) Đồ thị hàm số đi qua điểm .
c) Phương trình có hai nghiệm thực phân biệt.
d) Hàm số nghịch biến trên .
Câu 2. Cho với a và b là hai số thực lớn hơn 1.
a) .
b) .
c) Biểu thức đạt giá trị nhỏ nhất bằng
d)
Phần 3. Trắc nghiệm trả lời ngắn
Câu 1. Cho phương trình có nghiệm duy nhất là a. Tính .
Câu 2. Giả sử nhiệt độ T (độ C) của một loại đồ uống được xác định theo công thức: trong đó t (phút) là khoảng thời gian tính từ lúc pha chế đồ uống đó xong. Hỏi sau ít nhất bao nhiêu phút kể từ lúc pha chế xong thì nhiệt độ của đồ uống đó là 45°C (kết quả làm tròn đến hàng phần trăm).
Câu 3. Bất phương trình có bao nhiêu nghiệm nguyên?
................................
................................
................................
Xem thêm đề kiểm tra Toán lớp 11 Cánh diều có đáp án hay khác:
Xem thêm các tài liệu học tốt lớp 11 hay khác:
- Giải sgk Toán 11 Cánh diều
- Giải Chuyên đề học tập Toán 11 Cánh diều
- Giải SBT Toán 11 Cánh diều
- Giải lớp 11 Cánh diều (các môn học)
- Giải lớp 11 Kết nối tri thức (các môn học)
- Giải lớp 11 Chân trời sáng tạo (các môn học)
Tủ sách VIETJACK shopee lớp 10-11 (cả 3 bộ sách):
Đã có app VietJack trên điện thoại, giải bài tập SGK, SBT Soạn văn, Văn mẫu, Thi online, Bài giảng....miễn phí. Tải ngay ứng dụng trên Android và iOS.
Theo dõi chúng tôi miễn phí trên mạng xã hội facebook và youtube:Nếu thấy hay, hãy động viên và chia sẻ nhé! Các bình luận không phù hợp với nội quy bình luận trang web sẽ bị cấm bình luận vĩnh viễn.
- Soạn văn 11 Cánh diều (hay nhất)
- Soạn văn 11 Cánh diều (ngắn nhất)
- Giải sgk Toán 11 - Cánh diều
- Giải Tiếng Anh 11 Global Success
- Giải sgk Tiếng Anh 11 Smart World
- Giải sgk Tiếng Anh 11 Friends Global
- Giải sgk Vật Lí 11 - Cánh diều
- Giải sgk Hóa học 11 - Cánh diều
- Giải sgk Sinh học 11 - Cánh diều
- Giải sgk Lịch Sử 11 - Cánh diều
- Giải sgk Địa Lí 11 - Cánh diều
- Giải sgk Giáo dục KTPL 11 - Cánh diều
- Giải sgk Tin học 11 - Cánh diều
- Giải sgk Công nghệ 11 - Cánh diều
- Giải sgk Hoạt động trải nghiệm 11 - Cánh diều
- Giải sgk Giáo dục quốc phòng 11 - Cánh diều
- Giải sgk Âm nhạc 11 - Cánh diều


Giải bài tập SGK & SBT
Tài liệu giáo viên
Sách
Khóa học
Thi online
Hỏi đáp

