200 bài tập trắc nghiệm Ứng dụng đạo hàm để khảo sát và vẽ đồ thị hàm số có lời giải (nâng cao - phần 2)
Với 200 bài tập trắc nghiệm Ứng dụng đạo hàm để khảo sát và vẽ đồ thị hàm số nâng cao có lời giải chi tiết sẽ giúp học sinh ôn tập, biết cách làm bài tập trắc nghiệm Ứng dụng đạo hàm để khảo sát và vẽ đồ thị hàm số.
200 bài tập trắc nghiệm Ứng dụng đạo hàm để khảo sát và vẽ đồ thị hàm số có lời giải (nâng cao - phần 2)
(199k) Học Toán 12 KNTTHọc Toán 12 CDHọc Toán 12 CTST
Bài 1: Tìm các giá trị của tham số m để đồ thị hàm số y= 2x3+ 3( m-3) x2+ 11- 3m có hai điểm cực trị. Đồng thời hai điểm cực trị đó và điểm C( 0; -1) thẳng hàng .
A. -2 B. -3 C. 3 D. 4
Lời giải:
Ta có đạo hàm y’ = 6x2+ 6( m-3) x
y’=0
Hàm số có 2 cực trị khi 3-m≠0 hay m≠3
Khi đó đồ thị hàm số đã cho có 2 điểm cực trị A( 0; 11-3m) và
B( 3-m; m3-9m2+ 24m -16) ; .
Phương trình đt AB: ( 3-m) 2x+ y-11+3m=0
Để 3 điểm A; B; C hẳng hàng khi và chỉ khi C thuộc đường thẳng AB.
Hay : -1-11=3m= 0 hay m= 4.
Chọn D.
Bài 2: Tìm tất cả các giá trị của tham số thực m để đường thẳng qua 2 điểm cực trị của đồ thị hàm số: y= x3-3mx+ 2 cắt đường tròn tâm I (1; 1) bán kính bằng 1 tại 2 điểm A và B mà diện tích tam giác IAB lớn nhất .
Lời giải:
Đạo hàm y’ = 3x2 – 3m
Khi đó tọa độ 2 điểm cực trị của đồ thị hàm số là:
Phương trình đường thẳng MN: 2mx+ y-2=0
Ta có :
Dấu bằng xảy ra khi ∠AIB = 90o
Chọn B.
Bài 3: Cho hàm số y= f( x) . Hàm số y= f’ (x) có đồ thị như hình vẽ.
Hàm số y= f( x2) có bao nhiêu khoảng nghịch biến.
A. 5 B . 3 C. 2 D. 4
Lời giải:
Ta có g( x) = f( x2) nên g’ (x) = 2x. f’( x2)
Xét g'( x) < 0 ⇔ x.f'( x) < 0
Vậy hàm số đã cho có 3 khoảng nghịch biến.
Chọn B.
Bài 4: Cho hàm số y= f( x) ( x-1) liên tục trên R và có đồ thị như hình vẽ.
Tìm tất cả các giá trị của tham số m để phương trình f( x)|x-1| = m có số nghiệm lớn nhất
A.( -0, 6; 0] B.(-0,6; 0) C. (0; 0,06) D.( 0; 0,6)
Lời giải:
TH1: Với x- 1≥0 hay x≥ 1 khi đó f( x)|x-1| = m ⇔ m = f( x)(x-1) (1) Dựa vào đồ thị ( C) trên khoảng [1; +∞] để (1) có 2 nghiệm khi và chỉ khi -0,6 < m ≤0 TH2: Vớix < 1 khi đó f( x)|x-1| = m ⇔ -m = f( x)(x-1) (2) Dựa vào đồ thị (C) trên khoảng (-infin; -1) để (1) có 3 nghiệm Khi và chỉ khi 0≤ -m < 0,7 hay – 0,7 < m ≤0 Kết hợp 2 TH, ta thấy -0,6 < m < 0 thì phương trình có tối đa 5 nghiệm ( m= 0 loại vì phương trình có 4 nghiệm). Chọn B.Bài 5: Tìm tất cả các giá trị thực của tham số m để đồ thị hàm số
y=2x3-3( m+1) x2+ 6mx có hai điểm cực trị A; B sao cho đường thẳng AB vuông góc với đường thẳng y= x+ 2.
A. 0; 3 B.2; 4 C.0; 2 D.1; 3
Lời giải:
+ Ta có đạo hàm y’ = 6x2- 6( m+ 1) x+ 6m
Điều kiện để hàm số có 2 điểm cực trị là : m≠ 1
Tọa độ 2 điểm cực trị là A( 1 ; 3m-1) và B ( m ; -m3+ 3m2)
+ Hệ số góc đường thẳng AB là :k= - ( m-1)2
+ Đường thẳng AB vuông góc với đường thẳng y= x+ 2 khi và chỉ khi k= -1
Hay – ( m-1)2= -1( vì 2 đường thẳng vuông góc với nhau thì tích hai hệ số góc bằng -1)
Chọn C.
Bài 6: Cho hàm số y= f(x) = ax4+ bx3+ cx2+ dx+ e và hàm số y= f’( x) có đồ thị như hình vẽ bên. Biết f( b) < 0 , hỏi đồ thị hàm số y= f(x) cắt trục hoành tại nhiều nhất bao nhiêu điểm?
A. 1 B. 2 C. 3 D. 4
Lời giải:
Ta có bảng biến thiên như hình vẽ bên.
Vì f( b) < 0 nên rõ ràng có nhiều nhất 2 giao điểm.
Chọn B.
Bài 7: Tìm m để hàm số nghịch biến (0; +∞)
Lời giải:
Ta có
Hàm số nghịch biến trên (0; +∞) ⇔ f'(x) ≤ 0
Lại có
Vậy (*) ⇔
Chọn C.
Bài 8: Cho hàm số y= x3- 6x2+ 3( m+ 2)x-m-6. Hỏi có mấy giá trị nguyên của m để hàm số có 2 cực trị cùng dấu .
A. 4 B.5 C.6 D. 3
Lời giải:
+ Ta có đạo hàm y’ = 3x2- 12x+ 3( m+ 2)
Phương trình y’ = 0 khi 3x2- 12x+ 3( m+ 2) = 0
+ Hàm số có 2 điểm cực trị x1; x2 ⇔ Δ' > 0 ⇔ m < 2
+ Chia y cho y’ ta được :y= 1/3.y’( x-2) + (m-2) (2x+ 1)
Tọa độ 2 điểm cực trị tương ứng : A( x1 ; ( m-2) ( 2x1+ 1) ) và B( x2 ; ( m-2) ( 2x2+ 1) )
+ ta có ; y1.y2= ( m-2)2( 4x1x2+ 2( x1+ x2) + 1)
Với : nên :y1.y2= ( m-2)2( 4m+ 17)
Hai cực trị cùng dấu khi và chỉ khi y1.y2 > 0 hay ( m-2)2( 4m+ 17) > 0
Kết hợp điều kiện ta được : -17/4 < m < 2; mà m nguyên nên m= -4; -3; ...0; 1
Có tất cả 6 giá trị nguyên của m thỏa mãn đầu bài.
Chọn C.
Bài 9: Cho hàm số y= 2x3- 9x2+ 12x+m. Giả sử đồ thị hàm số có hai điểm cực trị là A, B đồng thời A, B cùng với gốc tọa độ O không thẳng hàng. Khi chu vi tam giác OAB nhỏ nhất thì m bằng bao nhiêu?
A. -11/3. B. -13/ 3 C. -14/ 3 D. 8/3
Lời giải:
+ Đạo hàm y’ = 6x2 – 18x+ 12
+ Tọa độ hai điểm cực trị của đồ thị hàm số là A( 1; 5+m) và B( 2; 4+ m),
O ; A và B không thẳng hàng nên – 4-m≠ 2 hay m≠ - 6
Chu vi của tam giác OAB là:
Sử dụng tính chất
Từ đó ta có :
Dấu bằng xảy ra khi và chỉ khi
cùng hướng
.
Vậy chu vi tam giác OAB nhỏ nhất bằng khi m= -14/ 3.
Chọn C.
Bài 10: Với giá trị nào của m, đồ thị hàm số có đúng hai đường tiệm cận?
Lời giải:
+ Vì bậc tử số < bậc mẫu số nên luôn có một tiệm cận ngang y= 0
+ Vì phương trình vô nghiệm nên chỉ có duy nhất một tiệm cận đứng nữa đó là đường thẳng x= -m-2.
Vậy vơi mọi x; đồ thị hàm số đã cho luôn có hai tiệm cận.
Chọn C.
Bài 11: Cho hàm số y= x4-2mx2+ m-1. Tìm tất cả các giá trị của tham số thực m để đồ thị hàm số có ba điểm cực trị tạo thành 1 tam giác nhận gốc tọa độ O làm trực tâm .
A.m= 0 B. m= 1 C.m= 1; 2 D. m= 0; 1
Lời giải:
+ Đạo hàm y’ = 4x3- 4mx
Hàm số có 3 điểm cực trị khi và chỉ khi m≠0.
+ Khi đó đồ thị hàm số có 3 điểm cực trị là: A( 0; m-1) ;
+ Vì B,C đối xứng nhau qua trục tung nên BC và OA vuông góc với nhau.
Do đó O là trực tâm tam giác ABC khi và chỉ khi OB vuông góc AC hay
Với
Từ đó : - m+ m2( m2+ m- 1) = 0
Kết hợp với điều kiện m≠0 thì m= 1 là giá trị cần tìm.
Chọn B.
Bài 12: Cho hàm số y= f(x) có đạo hàm f'(x) = x2(x-9)(x-4)2. Xét hàm số y= g(x) =f(x2). Trong các phát biểu sau; tìm số phát biểu đúng
I. Hàm số y= g( x) đồng biến trên( 3; +∞) II. Hàm số y= g(x) nghịch biến trên( -∞; -3)
III. Hàm số y= g(x) có 5 điểm cực trị IV.
A. 1 B. 2 C. 3 D. 4
Lời giải:
Ta có g'(x) = 2x.f'(x2) = 2x5(x2 - 9)(x2 - 4)2 = 0
Bảng biến thiên của hàm số y= g( x)
Dựa vào bảng biến thiên ta thấy hàm số đồng biến trên khoảng ( 3: + ∞) hàm số nghịch biến trong khoảng (-∞; -3) .
Hàm số có 3 cực trị, hàm số đạt giá trị nhỏ nhất tại x= ±3
Vậy có 3 khẳng định đúng là khẳng định I, II, IV
Chọn C.
Bài 13: tính tổng các giá trị nguyên của m để hàm số y= x8+ (m-2) x5- ( m2- 4) x4+ 1 đạt cực tiểu tại x= 0
A. 3 . B. 5 . C. 4 . D. 2.
Lời giải:
+ Ta có: y' = 8x7 + 5(m-2)x4 - 4(m2 - 4)x3 = .
Ta xét các trường hợp sau
+ Nếu m2- 4= 0 hay m= ± 2
Khi m= 2 thì y’ = 8x7 nên x=0 là điểm cực tiểu.
Khi m=y’ = x4( 8x4- 20 ) khi đó x= 0 không là điểm cực tiểu.
+ Nếu m≠ ± 2 .Khi đó ta có y' = x2[8x5 + 5(m-2)x2 - 4(m2 -4)x]
Số cực trị của hàm y= x8+ (m-2) x5- ( m2- 4) x4+ 1 bằng số cực trị của hàm g’( x)
g'(x) = 8x5 + 5(m-2)x2 - 4(m2-4)x
g''(x) = 40x4 + 100(m-2)x - 4(m2 -4)
+ Nếu x= 0 là điểm cực tiểu thì g’’ (0) > 0.
Khi đó -4( m2- 4) > 0 hay -2 < m < 2
Mà m nguyên nên m= -1; 0; 1
Kết hợp cả 3 trường hợp có 4 giá trị nguyên của m và tổng của chúng là: 2+ ( -1) +0+ 1=2
Chọn D
Bài 14: Có bao nhiêu giá trị của m để giá trị nhỏ nhất của hàm số f(x) = |e2x - 4ex + m| trên [ 0; ln4] bằng 6 .
A. 3 . B. 4 . C. 1 . D. 2 .
Lời giải:
Đặt t= ex , với x∈ [ 0; ln4] => t ∈ [1;4] .
Khi đó f(x) = |t3 - 4t +m| = |g(t)| .
Có g’ (t) = 2t-4 và g’ (t) =0 khi t= 2.
Ta có bảng biến thiên
Từ bảng biến thiên ta thấy .
Chọn D.
Bài 15: Cho hàm số có đồ thị (C) . Gọi I là giao điểm của hai tiệm cận của (C) . Xét tam giác đều ABI có hai đỉnh A; B thuộc (C) , đoạn thẳng AB có độ dài bằng
A. √6 . B. 2√3 . C. 2 . D. 2√2 .
Lời giải:
+ Đồ thị hàm số đã cho có tiệm cận đứng là x= -2 và tiệm cận ngang là y= 1.
Giao điểm hai đường tiệm cận là I ( -2; 1) .
Ta có:
Đặt a1 = a+ 2 ; b1 = b+ 2( a1≠ 0 ; b1≠0 ; a1 ≠ b1
Tam giác ABI đều khi và chỉ khi
Ta có
+ Trường hợp a1= b1 loại
+ Trường hợp a1= - b1 ; a1b1 = -3 (loại vì không thỏa (2) .
+ Trường hợp a1. b1 = 3 thay vào ( 2) ta được
Vậy
Chọn B.
Bài 16: Tính tổng các giá trị của tham số m để đồ thị hàm số: y = -x4 + 2mx2 - 4m + 1 có ba điểm cực trị . Đồng thời ba điểm cực trị đó cùng với gốc tọa độ tạo thành 1 hình thoi.
A. Không tồn tại m. B.2 C.1/4 D. 9/4
Lời giải:
+ Đạo hàm y’ = -4x3+ 4mx= -4x( x2- m)
Để hàm số có 3 điểm cực trị khi m > 0
+ Tọa độ ba điểm cực trị là: A( 0; 1-4m) ;
Tứ giác OBAC đã có OB= OC; AB= AC.
Vậy tứ giác OBAC là hình thoi khi và chỉ khi : m + (m2 - 4m + 1)2 = m + m4
OB =AC hay (m2 - 4m +1)2 = m4
Tổng các giá trị của m thỏa mãn đầu bài là 9/4.
Chọn D.
Bài 17: Có bao nhiêu giá trị nguyên của tham số m để hàm số
y= - x3+ 3x2+ 3( m2-1 )x-3m2-1 có cực đại, cực tiểu và các điểm cực trị của đồ thị hàm số cách đều gốc tọa độ O.
A.0 B. 1 C. 2 D. 3
Lời giải:
+ Đạo hàm y’ = -3x2+ 6x+ 3( m2-1) = -3( x2- 2x-m2+1).
Đặt g( x) = x2- 2x-m2+1 là tam thức bậc hai có Δ' = m2 .
+ Do đó hàm số đã cho có cực đại cực tiểu khi và chỉ khi y’ = 0 có hai nghiệm phân biệt hay g(x) = 0 có hai nghiệm phân biệt
⇔ Δ' > 0 ⇔ m ≠0. (1)
+ Khi đó y’ có các nghiệm là: 1±m .
Tọa độ các điểm cực trị của đồ thị hàm số là A( 1-m ; -2-2m3) và B( 1+m ; -2+ 2m3).
Ta có: .
Để A và B cách đều gốc tọa độ khi và chỉ khi OA = OB hay OA2 = OB2
(1 - m)2 + 4(1+m3)2 = (1+m)2 + 4(1-m3)2 .
Đối chiếu với điều kiện (1), ta thấy chỉ m = ±1/2 thỏa mãn yêu cầu bài toán.
Vậy không có giá trị nguyên nào của m thỏa mãn yêu cầu bài toán.
Chọn A.
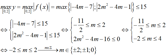
Bài 18: Có tất cả bao nhiêu giá trị nguyên của m để giá trị lớn nhất của hàm số
y = |x3 - x2 + (m2+1)x - 4m - 7| trên đoạn [ 0; 2]m không vượt quá 15 ?
A.4 B . 6 C. 5 D. 8
Lời giải:
+ Xét hàm số f( x) = x3- x2+ ( m2+ 1) x- 4m- 7 trên đoạn [ 0; 2]
Ta có f’ (x) = 3x2- 2x+ m2+ 1= 3( x-1/3)2+ m2+ 2/3 > 0 .
+ Suy ra hàm số f(x) đồng biến trên [0;2]
+ Khi đó
Vậy có 5 giá trị thoả mãn.
Chọn C.
Bài 19: Cho hàm số có đồ thị (C). Có bao nhiêu điểm A thuộc (C) sao cho tiếp tuyến của (C) tại A cắt đồ thị ( C) tại hai điểm phân biệt M( x1; y1) và N( x2; y2) ( M; N khác A) sao cho y2- y1= 8( x2- x1) .
A. 0 B. 2 C. 3 D. 5
Lời giải:
+ Đạo hàm : y’ = 4/3.x3-28/3. x
Vậy tiếp tuyến của (C) tại A có hệ số góc bằng 8 .
+ Xét phương trình
+) Với x= 3 thì A( 3; -15) nên phương trình tiếp tuyến của ( C) tại A là y= 8 ( x-3) -15 .
Phương trình hoành độ giao điểm của (C) và (d1) là
8(x-3)- 15 = 1/3x4 - 14/3x2 ⇔ (x-3)2 (x2 + 6x + 13) = 0 ⇔ x = 3
Vậy A(3; -15) loại.
+) Với x= -2 thì A(-2; -40/3). Phương trình tiếp tuyến của (C) tại A là
y = 8 ( x+ 2) -40/3 (d2) .
Phương trình hoành độ giao điểm của ( C) và (d2) là
Vậy A( -2; -40/3) thỏa mãn.
+) Với x= -1 thì A( -2; -13/ 3) nên phương trình tiếp tuyến của C tại A là
y= 8( x+ 1) -13/3 (d3).
Phương trình hoành độ giao điểm của C và d3 là
Vậy A( -1; -13/3) thỏa mãn.
Vậy có tất cả điểm A thỏa mãn yêu cầu bài toán.
Chọn B.
Bài 20: Cho hàm số y = |x4 - 4x3 + 42 + a| . Gọi M; m lần lượt là giá trị lớn nhất, giá trị nhỏ nhất của hàm số trên đoạn [0; 2] . Có bao nhiêu số nguyên a thuộc đoạn [ -3; 3] sao cho M≤ 2m?
A. 4 B. 5 C. 6 D. 3
Lời giải:
+ Xét hàm số y= xx4 - 4x3 + 42 + a trên đoạn [ 0; 2].
Ta có đạo hàm y’ = 4x3-12x2+ 8x, y' = 0 .
Khi đó; y( 0) = y( 2) = a; y( 1) = a+ 1
+ Nếu a≥ 0 thì M= a+ 1,m = a.
Để M ≤ 2m khi a≥ 1, suy ra a∈{1;2;3} thỏa mãn
+ Nếu a≤ - 1 thì M = |a| = -a, m = |a+1| = -a-1 .
Để M≤ 2m thì a≤ -2, suy ra a∈{ -2;-3}.
Vậy có giá trị nguyên của a thỏa mãn yêu cầu.
Chọn B.
Bài 21: Tìm m để giá trị lớn nhất của hàm số y = |x2 + 2x + m - 4| trên đoạn [-2; 1] đạt giá trị nhỏ nhất. Giá trị của m là
A.4 B. 3 C.1 D.2
Lời giải:
y = |x2 + 2x + m| - 4 = |(x+1)2 + m -5|
Ta có [(x+1)2 + m - 5] ∈ [m-5;m-1]
Giá trị lớn nhất của hàm số y = |x2 + 2x + m - 4| trên đoạn[ -2; 1] đạt giá trị nhỏ nhất khi
Chọn B.
Bài 22: Tìm tất cả các giá trị thực của tham số m để đồ thị hàm số y= x3-3mx2+ 3m3 có hai điểm cực trị A và B sao cho tam giác OAB có diện tích bằn g 48 .
A. m= 1 . B . m = 2 C. m= -2 D. Đáp án khác
Lời giải:
+ Đạo hàm y’ = 3x2- 6mx = 3x( x- 2m)
Đồ thị hàm số có hai điểm cực trị khi và chỉ khi :m≠0. (1)
+ Tọa độ các điểm cực trị của đồ thị hàm số là A( 0 ; 3m3) ; B( 2m; -m3)
Ta có: (2)
Ta thấy A∈Oy => OA≡Oy => d( B ; OA) = d( B ; Oy) =2|m| (3)
+ Từ (2) và (3) suy ra S= 1/2. OA.d(B ; OA)=3m4.
Do đó: SΔOAB = 48 ⇔ 3m4 = 48 ⇔ m = ±2 (thỏa mãn (1) ).
Chọn D.
Bài 23: Cho hàm số y= x4-2( m+1) x2+ m ( C). Tìm tất cả các giá trị thực của tham số m để đồ thị hàm số C có ba điểm cực trị A: B; C sao cho OA= BC ; trong đó O là gốc tọa độ, A là điểm cực trị thuộc trục tung, B và C là hai điểm cực trị còn lại.
A. m = 2 ± 2√2 B. m = 2 + 2√2 C. m = 2 - 2√2 D. m=±1
Lời giải:
Ta có : y’ = 4x3-4( m+ 1) x= 4x( x2- (m+ 1) ).
Hàm số có 3 điểm cực trị khi và chỉ khi y’ = 0 có 3 nghiệm phân biệt hay m+1 > 0 suy ra m > - 1 (*).
Khi đó, ta có: y'= 0
Ta có :
Do đó: OA = BC ⇔ m = 2 ± 2√2 (thỏa mãn ).
Vậy m = 2±2√2.
Chọn A.
Bài 24: Tìm tất cả các giá trị thực của tham số m để đồ thị hàm số: y= x3- 3mx2 + 4m3 có các điểm cực đại và cực tiểu đối xứng nhau qua đường thẳng x- y=0 .
Lời giải:
+ Đạo hàm : y’ = 3x2- 6mx
Để hàm số có cực đại và cực tiểu thì m ≠ 0.
+ Giả sử hàm số có hai điểm cực trị là: A( 0; 4m3) ; B( 2m; 0) ;
Trung điểm của đoạn AB là I (m; 2m3).
+ Điều kiện để AB đối xứng nhau qua đường thẳng x- y= 0 hay y= x là AB vuông góc với đường thẳng y= x và I ∈ (d)
Kết hợp với điều kiện ta có: m = ±√2/2 .
Chọn D.
Bài 25: Tính tổng tất cả các giá trị thực của tham số m để hàm số y= x3- 3mx2 + 3( m2-1) x- m3+ m có cực trị đồng thời khoảng cách từ điểm cực đại của đồ thị hàm số đến gốc tọa độ O bằng √2 lần khoảng cách từ điểm cực tiểu của đồ thị hàm số đến gốc tọa độ O.
A. -4 B. -5
C. -6. D. -7
Lời giải:
Ta có y’ = 3x2- 6mx + 3( m2-1).
Hàm số đã cho có cực trị thì phương trình y’ = 0 có 2 nghiệm phân biệt
⇔ x2 - 2mx + m2 - 1 = 0 có 2 nhiệm phân biệt ⇔ Δ = 1 > 0, ∀m
Khi đó, điểm cực đại A( m-1; 2-2m) và điểm cực tiểu B( m+1; -2-2m)
Ta có OA = √2OB ⇔ m2 + 6m + 1 = 0
Tổng hai giá trị này là -6.
Chọn C.
Bài 26: Tính tích tất cả các giá trị thực của tham số m để đồ thị hàm số y = mx3- 3mx2+ 3m-3 có hai điểm cực trị A; B sao cho 2AB2 - ( OA2+ OB2) = 20 .
A. 1 B. 1/2 C. -17/11 D. 13/ 5
Lời giải:
Ta có: đạo hàm y’ = m( 3x2-6x). Để hàm số đã cho có 2 điểm cực trị thì m≠ 0.
Với mọi m≠ 0 , ta có y' = 0 .
Goi tọa độ 2 điểm cực trị là A( 0 ; 3m-3) và B( 2 ; -m-3)
Ta có : 2AB2 - ( OA2+ OB2) = 20 ⇔ 11m2 + 6m - 17 = 0 ( thỏa mãn)
Vậy giá trị m cần tìm là: .
Chọn C.
Bài 27: Cho hàm số y= x3 - 3x2. Tìm tất cả các giá trị thực tham số m để đường thẳng đi qua 2 điểm cực trị của đồ thị C tạo với đường thẳng x+ my+ 3=0 một góc α biết cosα= 4/5.
A. m= 2 hoặc m = -2/11 . B. m= -2 hoặc m = -2/11 .
C. m= 2 hoặc m = 2/11 . D. m=2
Lời giải:
+ Đường thẳng đi qua 2 điểm cực trị của hàm số là 2x+ y=0 có VTPT
+ Đường thẳng đã cho x+ my+ 3= 0 có VTPT
Yêu cầu bài toán :
⇔ 25 (m2 + 4m + 4) = 5.16(m2 + 1) ⇔ 11m2 - 20m - 4 = 0
Chọn A.
Bài 28: Có giá trị của tham số m để đồ thị hàm số y= x4-4( m-1)x2+2m-1 có 3 điểm cực trị tạo thành 3 đỉnh của một tam giác đều. Hỏi số nguyên nào gần với số m nhất?
A: 2 B: 3 C: 4 D: đáp án khác
Lời giải:
Ta có đao hàm y’ = 4x3- 8( m-1) x= 4x( x2- 2( m-1) )
nên hàm số có 3 điểm cực trị khi m > 1.
Với điều kiện m > 1 đồ thị hàm số có 3 điểm cực trị là:
Ta có: AB2 = AC2 = 2( m-1) + 16( m-1) 4; BC2= 8( m-1)
Để 3 điểm cực trị của đồ thị hàm số tạo thành tam giác đều thì:
AB= AC= BC tương đương AB2= AC2 = BC2
Do đó: 2( m-1) + 16( m-1)4= 8( m-1)
⇔ 8( m-1)4 - 3( m-1) = 0 ⇔ ( m-1)[8( m-1)3 - 3] = 0
So sánh với điều kiện ta có: thỏa mãn.
Chọn A.
Bài 29: Tìm tất cả các giá trị thực của tham số m để điểm M( 2m3; m) tạo với hai điểm cực đại, cực tiểu của đồ thị hàm số y= 2x3-3( 2m+ 1) x2+ 6m( m+1) x+1 (C) một tam giác có diện tích nhỏ nhất.
A.-1 B.0 C.1 D. 2
Lời giải:
+ Ta có: y’ = 6x2-6( 2m+1) x+ 6m(m+1)
,do đó hàm số luôn có cực đại cực tiểu với mọi m.
+ Tọa độ các điểm CĐ, CT của đồ thị là A( m; 2m3+3m2+1 ) và B( m+1; 2m3+3m2)
Suy ra AB = √2 và phương trình đường thẳng AB: x+ y-2m3-3m2-m-1=0.
+ Do đó, tam giác MAB có diện tích nhỏ nhất khi và chỉ khi khoảng cách từ M tới AB nhỏ nhất.
Ta có: đạt được khi m=0..
Chọn B.
Bài 30: Với giá trị nào của tham số m thì hàm số y= sin x- cosx + 2017 √2 mx đồng biến trên R.
A. m ≥ 2017 B.1 C. m ≥ 1/2017 D. m ≥ -1/2017
Lời giải:
+ Tính đạo hàm y’ = cos x+ sinx+ 2017√2 m.
+ Theo bất đẳng thức Bunhiacopxki thì
(-sinx-cosx) )2≤[(-1)2+(-1)2 ][sin2x+ cos2x]=2
-√2≤(-sinx-cosx)≤√2
Do đó :
F(x) đạt giá trị lớn nhất là
Chọn C.
Bài 31: Cho hàm số với m là tham số thực. Hàm số
có đồ thị C và bảng biến thiên sau:
Tìm m sao cho hàm số f(x) đạt cực trị ít nhất tại một điểm mà điểm đó lớn hơn -1
A.m > 2 B. C.m < -5/2 D. m > 5/2
Lời giải:
Xét phương trình f’(x) = x2+(4-m) x+5-2m=0
⇔ x2 + 4x + 5 = m(x+2)
Ta có nghiệm của f’ (x)=0 cũng là hoành độ giao điểm của g(x)=m
Khi đó từ bảng biến thiên ta có YCBT khi m > 2
Chọn A
Bài 32: Cho hai số thực x, y thỏa mãn x≥ 0; y≥1 ; x+ y= 3 . Giá trị lớn nhất và giá trị nhỏ nhất của biểu thức P= x3+ 2y2+ 3x2 + 4xy- 5x lần lượt bằng:
A. 20 và 18 . B. 20 và 15. C. 16 và 15 . D. 16 và 13.
Lời giải:
Ta có y= 3-x≥ 1 nên x≤ 2 do đó : x∈[0;2]
Khi đó P= x3+ 2( 3-x)2+ 3x2+4x( 3-x) -5x = x3+x2-5x+18
Xét hàm số f(x) = x3+x2-5x+18 trên đoạn [0 ; 2] ta có:
f'(x) = 3x2 + 2x - 5
F(0) =18; f(1) = 15; f(2) =20
Vậy giá trị lớn nhất và giá trị nhỏ nhất của biểu thức P lần lượt bằng 20 và 15.
Chọn B.
Bài 33: Cho các số thực x; y thõa mãn x≥0; y≥0 và x+y=1
Giá trị lớn nhất M , giá trị nhỏ nhất m của biểu thức S = (4x2+3y)(4y2+3x)+ 25xy là:
A. M = 25/2; m = 191/16 . B. M = 12; m = 191/16 .
C. M = 25/2; m = 12 . D. M = 25/2; m = 0 .
Lời giải:
Do x+ y= 1 nên S = 16x2y2 + 12(x+y)(x2-xy+y2)+34xy = 16x2y2 + 12[(x+y)2 - 3xy] + 34xy, do x + y = 1 = 16x2y2 - 2xy + 12
Đặt t= xy . Do x≥ 0 ; y≥0 nên
Xét hàm số f(t) = 16t2- 2t + 12 trên [0 ; 1/4].
Ta có f’ (t) = 32t- 2 ; f’(t) =0 khi t= 1/ 16 .
Bảng biến thiên
Từ bảng biến thiên ta có:
Vậy giá trị lớn nhất của S là 25/2 đạt được khi
giá trị nhỏ nhất của S là 191/ 16 đạt được khi
Chọn A.
Bài 34: Có bao nhiêu giá trị nguyên của tham số m sao cho đồ thị của hàm số có hai tiệm cận ngang.
A. 8 B. 10
C. 12 D. Vô số
Lời giải:
Điều kiện: mx2+ 1 > 0.
- Nếu m= 0 thì hàm số trở thành y= x+ 1 không có tiệm cận ngang.
- Nếu m < 0 thì hàm số xác định .
Do đó, không tồn tại nên đồ thị hàm số không có tiệm cận ngang.
- Nếu m > 0 thì hàm số xác định với mọi x.
Suy ra đường thẳng y= 1/√m là tiệm cận ngang của đồ thị hàm số khi x → +∞ .
Suy ra đường thẳng y= -1/√m là tiệm cận ngang của đồ thị hàm số khi x → -∞ .
Vậy m > 0 thỏa mãn yêu cầu đề bài.
Chọn D.
Bài 35: Tìm tất cả các giá trị thực của tham số m sao cho đồ thị của hàm số có tiệm cận đứng.
A. m > 1 B .m= 1
C. m≤ 1 D.m > 1
Lời giải:
Điều kiện:
-Nếu m > 1 thì không tồn tại nên đồ thị hàm số không có tiệm cận đứng.
Nếu m= 1 thì hàm số trở thành
Suy ra đường thẳng x= 1 là tiệm cận đứng của đồ thị hàm số khi x → 1- .
không tồn tại.
Do đó, m= 1 thỏa mãn.
- Nếu m < 1 thì
Suy ra đường thẳng x= m là tiệm cận đứng của đồ thị hàm số khi x → m+ và x → m- .
Vậy m ≤ 1 thỏa mãn yêu cầu đề bài.
Chọn C.
Bài 36: Tìm tất cả các giá trị thực của tham số m sao cho đồ thị của hàm số có đúng một tiệm cận đứng.
A.m > 0 B. m < -4 C. m > 0 hoặc m ≤ - 4 D. m < 3
Lời giải:
TH1 : Phương trình: x3 - 3x2 - m = 0 có một nghiệm đơn x= -1 và một nghiệm kép.
Phương trình x3- 3x2 - m = 0 có nghiệm x= -1 nên ( -1)3 - 3( -1)2-m=0 hay m= -4.
Với m= -4 phương trình trở thành x3 - 3x2 + 4 = 0
TH2: Phương trình x3- 3x2-m=0 có đúng một nghiệm khác – 1 hay x3- 3x2 = m có một nghiệm khác -1
Vậy với m > 0 hoặc m≤ - 4 thỏa mãn yêu cầu đề bài.
Chọn C.
Bài 37: Cho hàm số có đồ thị C. Gọi M là một điểm bất kì trên C. Tiếp tuyến của C tại M cắt các đường tiệm cận của C tại A và B . Gọi I là giao điểm của các đường tiệm cận của C . Tính diện tích của tam giác IAB.
A.2 B . 8 C. 6 D. 4
Lời giải:
Tập xác định D= R\ { 1}.
Đạo hàm .
Đồ thị hàm số C có tiệm cận đứng là x= 1 và tiệm cận ngang y= 2 nên I (1 ;2 ) là giao của 2 đường tiệm cận.
Gọi
Tiếp tuyến ∆ của C tại M có phương trình là :
∆ cắt TCĐ tại và cắt TCN tại B( 2xo-1 ; 2) .
Ta có
Do đó
Chọn D.
Bài 38: Tìm tất cả các tiệm cận đứng của đồ thị hàm số .
A. x= 3 và x= - 2. B. x= -3 C.x= 3và x= 2. D. x= 3
Lời giải:
Tập xác định: D= R\ { 2; 3}
Tương tự
Suy ra đường thẳng x= 2 không là tiệm cận đứng của đồ thị hàm số đã cho.
Suy ra đường thẳng x= 3 là tiệm cận đứng của đồ thị hàm số đã cho.
Chọn D.
Bài 39: Tìm tập hợp tất cả các giá trị của tham số thực của m để hàm số y= ln( x2 + 1) –mx+1 đồng biến trên R.
A. m > 1 B. m < 1 C. m≤ -1 D. m≥ -1
Lời giải:
Ta có:
Hàm số y= ln( x2+ 1) – mx+1 đồng biến trên R khi và chỉ khi y’≥ 0 với mọi x.
Bảng biến thiên:
Dựa vào bảng biến thiên ta có: với mọi x khivà chỉ khi m≤ -1.
Chọn C.
Bài 40: Gọi d là đường thẳng đi qua điểm A( -1; 0) với hệ số góc k. Tìm k để đường thẳng d cắt đồ thị hàm số C: y= x3-3x2+ 4 tại ba điểm phân biệt A; B; C và tam giác OBC có diện tích bằng 1?
A:k =2 B: k= -1 C: k= 1 D: Đáp án khác
Lời giải:
Đường thẳng d đi qua A và có hệ số góc k nên có dạng y= k( x+ 1) hay kx- y+k=0 .
Phương trình hoành độ giao điểm của C và d là:
x3 - 3x2 + 4 = kx + k ⇔ (x+1)(x2 - 4x + 4 - k) = 0
D cắt (C) tại ba điểm phân biệt khi phương trình (*) có hai nghiệm phân biệt khác -1
Khi đó g(x) = 0 khi x=2-√k;x=2+√k. Vậy các giao điểm của hai đồ thị lần lượt là
A( -1; 0) ; B( 2-√k;3k-k√k;C( 2+ √k;3k+k√k).
Tính được . Khi đó
⇔ |k|√k = 1 ⇔ k3 = 1 => k = 1
Vậy k= 1 thỏa yêu cầu bài toán.
Chọn C.
(199k) Học Toán 12 KNTTHọc Toán 12 CDHọc Toán 12 CTST
Xem thêm các dạng bài tập Toán lớp 12 có trong đề thi Tốt nghiệp THPT khác:
- 275 bài tập trắc nghiệm Ứng dụng đạo hàm để khảo sát và vẽ đồ thị hàm số có lời giải (cơ bản - phần 1)
- 275 bài tập trắc nghiệm Ứng dụng đạo hàm để khảo sát và vẽ đồ thị hàm số có lời giải (cơ bản - phần 2)
- 275 bài tập trắc nghiệm Ứng dụng đạo hàm để khảo sát và vẽ đồ thị hàm số có lời giải (cơ bản - phần 3)
- 275 bài tập trắc nghiệm Ứng dụng đạo hàm để khảo sát và vẽ đồ thị hàm số có lời giải (cơ bản - phần 4)
- 275 bài tập trắc nghiệm Ứng dụng đạo hàm để khảo sát và vẽ đồ thị hàm số có lời giải (cơ bản - phần 5)
- 275 bài tập trắc nghiệm Ứng dụng đạo hàm để khảo sát và vẽ đồ thị hàm số có lời giải (cơ bản - phần 6)
- 275 bài tập trắc nghiệm Ứng dụng đạo hàm để khảo sát và vẽ đồ thị hàm số có lời giải (cơ bản - phần 7)
- 200 bài tập trắc nghiệm Ứng dụng đạo hàm để khảo sát và vẽ đồ thị hàm số có lời giải (nâng cao - phần 1)
- 200 bài tập trắc nghiệm Ứng dụng đạo hàm để khảo sát và vẽ đồ thị hàm số có lời giải (nâng cao - phần 3)
- 200 bài tập trắc nghiệm Ứng dụng đạo hàm để khảo sát và vẽ đồ thị hàm số có lời giải (nâng cao - phần 4)
- 200 bài tập trắc nghiệm Ứng dụng đạo hàm để khảo sát và vẽ đồ thị hàm số có lời giải (nâng cao - phần 5)
Đã có app VietJack trên điện thoại, giải bài tập SGK, SBT Soạn văn, Văn mẫu, Thi online, Bài giảng....miễn phí. Tải ngay ứng dụng trên Android và iOS.
Theo dõi chúng tôi miễn phí trên mạng xã hội facebook và youtube:Nếu thấy hay, hãy động viên và chia sẻ nhé! Các bình luận không phù hợp với nội quy bình luận trang web sẽ bị cấm bình luận vĩnh viễn.
- Giải Tiếng Anh 12 Global Success
- Giải sgk Tiếng Anh 12 Smart World
- Giải sgk Tiếng Anh 12 Friends Global
- Lớp 12 Kết nối tri thức
- Soạn văn 12 (hay nhất) - KNTT
- Soạn văn 12 (ngắn nhất) - KNTT
- Giải sgk Toán 12 - KNTT
- Giải sgk Vật Lí 12 - KNTT
- Giải sgk Hóa học 12 - KNTT
- Giải sgk Sinh học 12 - KNTT
- Giải sgk Lịch Sử 12 - KNTT
- Giải sgk Địa Lí 12 - KNTT
- Giải sgk Giáo dục KTPL 12 - KNTT
- Giải sgk Tin học 12 - KNTT
- Giải sgk Công nghệ 12 - KNTT
- Giải sgk Hoạt động trải nghiệm 12 - KNTT
- Giải sgk Giáo dục quốc phòng 12 - KNTT
- Giải sgk Âm nhạc 12 - KNTT
- Giải sgk Mĩ thuật 12 - KNTT
- Lớp 12 Chân trời sáng tạo
- Soạn văn 12 (hay nhất) - CTST
- Soạn văn 12 (ngắn nhất) - CTST
- Giải sgk Toán 12 - CTST
- Giải sgk Vật Lí 12 - CTST
- Giải sgk Hóa học 12 - CTST
- Giải sgk Sinh học 12 - CTST
- Giải sgk Lịch Sử 12 - CTST
- Giải sgk Địa Lí 12 - CTST
- Giải sgk Giáo dục KTPL 12 - CTST
- Giải sgk Tin học 12 - CTST
- Giải sgk Hoạt động trải nghiệm 12 - CTST
- Giải sgk Âm nhạc 12 - CTST
- Lớp 12 Cánh diều
- Soạn văn 12 Cánh diều (hay nhất)
- Soạn văn 12 Cánh diều (ngắn nhất)
- Giải sgk Toán 12 Cánh diều
- Giải sgk Vật Lí 12 - Cánh diều
- Giải sgk Hóa học 12 - Cánh diều
- Giải sgk Sinh học 12 - Cánh diều
- Giải sgk Lịch Sử 12 - Cánh diều
- Giải sgk Địa Lí 12 - Cánh diều
- Giải sgk Giáo dục KTPL 12 - Cánh diều
- Giải sgk Tin học 12 - Cánh diều
- Giải sgk Công nghệ 12 - Cánh diều
- Giải sgk Hoạt động trải nghiệm 12 - Cánh diều
- Giải sgk Giáo dục quốc phòng 12 - Cánh diều
- Giải sgk Âm nhạc 12 - Cánh diều


Giải bài tập SGK & SBT
Tài liệu giáo viên
Sách
Khóa học
Thi online
Hỏi đáp

