200 bài tập trắc nghiệm Ứng dụng đạo hàm để khảo sát và vẽ đồ thị hàm số có lời giải (nâng cao - phần 3)
Với 200 bài tập trắc nghiệm Ứng dụng đạo hàm để khảo sát và vẽ đồ thị hàm số nâng cao có lời giải chi tiết sẽ giúp học sinh ôn tập, biết cách làm bài tập trắc nghiệm Ứng dụng đạo hàm để khảo sát và vẽ đồ thị hàm số.
200 bài tập trắc nghiệm Ứng dụng đạo hàm để khảo sát và vẽ đồ thị hàm số có lời giải (nâng cao - phần 3)
(199k) Học Toán 12 KNTTHọc Toán 12 CDHọc Toán 12 CTST
Bài 1: Cho hàm số y=x4-(3m+4) x2+ m2 có đồ thị là C. Có mấy giá trị nguyên của m để đồ thị C cắt trục hoành tại bốn điểm phân biệt có hoành độ lập thành một cấp số cộng.
A: 0 B: 1 C: 2 D: 3
Lời giải:
Phương trình hoành độ giao điểm: x4-(3m+4) x2+ m2 = 0 ( 1)
Đặt t= x2, phương trình trở thành: t2-(3m+4)t+ m2 = 0 ( 2)
C cắt trục hoành tại bốn điểm phân biệt khi và chỉ khi ( 1) có bốn nghiệm phân biệt
+ Khi đó phương trình *(2) có hai nghiệm 0 < t1 < y2. Suy ra phương trình (1) có bốn nghiệm phân biệt là x1 = -√(t2) < x2 = -√(t1) < x3 = √(t1) < x2 = √(t2). Bốn nghiệm x1; x2; x3; x4 lập thành cấp số cộng
⇔ x2 - x1 = x3 - x2 = x4 - x3
⇔ -√(t1) + √(t2) = 2√(t1)
⇔ √(t2) = 3√(t1)
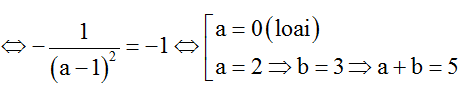
⇔ t2 = 91 (3)
Theo định lý Viet ta có
Từ (3) và (4) ta suy ra được
Thay (6) vào (5) ta được
Vậy giá trị m cần tìm làm =12; m= -12/ 19
Chọn B.
Bài 2: Cho phương trình x3 - 3x2 + 1 - m = 0 (1) . Điều kiện của tham số m để (1) có ba nghiệm phân biệt thỏa mãn x1 < 1 < x2 < x3 khi
A. m =- 1 B.-1 < m < 3 C. -3 < m < -1 D. m > -3
Lời giải:
Ta có x3 - 3x2+ 1- m=0 là phương trình hoành độ giao điểm giữa hai đồ thị hàm số
y= x3 - 3x2+ 1 và y= m (là đường thẳng song song hoặc trùng với Ox).
+ Xét y= x3 - 3x2+ 1 .
Đạo hàm y’ = 3x2- 6x
Ta có y' = 0 ⇔ 3x2 - 6x = 0
Khi x= 1 thì y= -1
Dựa vào đồ thị, yêu cầu bài toán khi và chỉ khi -3 < m < -1 .
Chọn C.
Bài 3: Cho đồ thị C: y= 2x3-3x2-1. Gọi d là đường thẳng qua A( 0; -1) có hệ số góc bằng k . Tất cả giá trị k để C cắt d tại ba điểm phân biệt là
Lời giải:
+ Phương trình đường thẳng d có dang d: y= kx-1.
Phương trình hoành độ giao điểm của đồ thị C và đường thẳng d:
2x3-3x2-1 = kx- 1 hay x( 2x2- 3x-k) = 0
+ Để C cắt d tại ba điểm phân biệt khi và chỉ khi phương trình (2) có hai nghiệm phân biệt khác
Vậy chọn
Chọn B.
Bài 4: Với những giá trị nào của tham số m thì (C) : y= x3- 3( m+ 1) x2+ 2( m2 + 4m+1 ) x-4m( m+1 ) cắt trục hoành tại ba điểm phân biệt có hoành độ lớn hơn 1?
A. 1/2 < m ≠ 1 B.m < 1 C. m > 1/2 D. m≠ 1
Lời giải:
+ Phương trình hoành độ giao điểm của đồ thị C và trục Ox:
x3- 3( m+ 1) x2+ 2( m2+ 4m+1 )= 0
hay ( x- 2) ( x2-( 3m+ 1) x+ 2m2+ 2m) =0
Yêu cầu bài toán
Vậy 1/2 < m và m≠ 1.
Chọn A.
Bài 5: Hỏi phương trình 3x2- 6x+ ln( x+1)3+1=0 có bao nhiêu nghiệm phân biệt?
A. 2. B. 1. C. 3. D. 4.
Lời giải:
Điều kiện: x > -1
Ta có: 3x2- 6x+ ln( x+1)3+1 = 0 hay 3x2- 6x+ 3ln( x+1)+1=0
f(x) = 3x2 - 6x + 3ln( x+1) = 0
Đạo hàm f’ (x) = 0 khi và chỉ khi (2x- 2)(x+ 1) +1=0
Từ đây, ta có bảng biến thiên của f(x):
Nhìn vào bảng biến thiên ta sẽ có phương trình đã cho có 3 nghiệm phân biệt.
Chọn C.
Bài 6: Gọi S là tập hợp tất cả các giá trị thực của tham số m để hàm số y = 1/3x3 - mx2 +(m2- 1)x có hai điểm cực trị A và B sao cho A, B nằm khác phía và cách đều đường thẳng d: y= 5x- 9 . Tính tổng tất cả các phần tử của S.
A. 0. B. 6. C. -6 D. 3.
Lời giải:
+ Ta có đạo hàm y’ = x2- 2mx+ (m2-1).
Phương trình y’ = 0 có
+ Không mất tính tổng quát, giả sử A(x1, y1); B(x2, y2)
A, B nằm khác phía khi và chỉ khi x1. x2 < 0 hay ( m-1) (m+ 1) < 0
Suy ra -1 < m < 1
A, B cách đều đường thẳng y= 5x-9 suy ra trung điểm I của AB nằm trên đường thẳng đó.
Khi đó ta có:
Ta có:
Suy ra
Chọn A.
Bài 7: Tìm tất cả các giá trị thực của tham số m để đồ thị của hàm số y = x4 - 2mx2 có ba điểm cực trị tạo thành một tam giác có diện tích nhỏ hơn 1.
A.m > 0 B.m < 1 C. 0 < m < 4 D. 0 < m < 1
Lời giải:
+ Điều kiện để hàm số có 3 cực trị là m > 0
y' = 4x3 - 4mx; y' = 0
+ Các điểm cực trị tạo thành tam giác cân có đáy bằng 2√m, đường cao bằng m2. (như hình bên )
Ta được SΔABC = 1/2 AC.BD = √m . m2 .
+ Để tam giác có diện tích nhỏ hơn 1 thì √m m2 < 1 hay 0 < m < 1.
Chọn D.
Bài 8: Cho hàm số có đồ thị C và d: y= x+ m. Giá trị của tham số m để d cắt C tại hai điểm phân biệt A; B sao cho tiếp tuyến tại A và B song song với nhau.
A. m=6 B. m= 0 C. m= -3 D. Đáp án khác
Lời giải:
+ Phương trình hoành độ giao điểm của đồ thị C và đường thẳng d
+ Khi đó d cắt C tại hai điểm phân biệt A; B khi và chi khi phương trình (1) có hai nghiệm phân biệt khác -1
Khi đó ta lại có A( x1 ; x1+m) ; B( x2 ; x2 + m)
Từ đây ta có
Vậy m= 0 hoặc m= 6.
Chọn D.
Bài 9: Tìm tất cả các giá trị thực của tham số m để đường thẳng y= - mx cắt đồ thị của hàm số y= x3- 3x2-m+ 2 tại ba điểm phân biệt A; B; C sao cho AB= BC.
A.m < 1 B. m > 2 C.m < 3 D.m > 4
Lời giải:
+ Hoành độ giao điểm là nghiệm của phương trình
x3- 3x2-m+ 2= -mx hay ( x-1) ( x2-2x+ m-2) =0
Hay x=1; x2-2x+m-2=0
+ Đặt nghiệm x2 = 1; từ giải thiết bài toán trở thành tìm m để phương trình có 3 nghiệm lập thành cấp số cộng.
Khi đó phương trình : x2-2x+m-2 = 0 phải có 2 nghiệm phân biệt (vì theo hệ thức Viet ta có: x1+ x3= 2 = 2x2 ).
Vậy khi đó ta cần ∆’ > 0( để phương trình có 2 nghiệm phân biệt )
Δ' = 1 - (m - 2) > 0 ⇔ m < 3
Chọn C.
Bài 10: Cho hàm số y= x3- 3x2-m- 1 có đồ thị ( C) . Giá trị của tham số m để đồ thị C cắt trục hoành tại ba điểm phân biệt lập thành cấp số cộng là
A.m= 1 B.m= -1 C. m= -3 D.m= 3
Lời giải:
+ Đồ thị C cắt trục hoành tại điểm phân biệt tạo thành cấp số cộng khi và chỉ khi phương trình x3- 3x2- 1= m có ba nghiệm phân biệt lập thành cấp cố cộng.
+ Suy ra đường thẳng y= m đi qua điểm uốn của đồ thị y= x3- 3x2- 1
(do đồ thị (C) nhận điểm uốn làm tâm đối xứng).
+ Mà điểm uốn của đồ thị đã cho là I( 1 ; -3)
( hoành độ điểm uốn là nghiệm phương trình y’’= 0 hay y’’= 6x-6=0 do đó x= 1 ; y= -3)
Suy ra m= -3.
Chọn C
Bài 11: Có bao nhiêu giá trị nguyên âm của tham số m để hàm số đồng biến với x > 0?
A. 4 B. 5 C. 3 D. 2
Lời giải:
+ Hàm số xác định và liên tục với mọi x > 0.
Ta có
+ Hàm số đồng biến trên khoảng (0; +∞) khi và chỉ khi với mọi x > 0.
Bảng biến thiên
Suy ra maxg( x) = g(1) = -4 và do đó để hàm số đã cho đồng biến t với x > 0 thì m≥ -4
Mà m nguyên âm nên m∈{-4;-3;-2;-1} .
Chọn A.
Bài 12: Gọi S là tập hợp tất cả các giá trị của tham số thực m sao cho giá trị lớn nhất của hàm số y = |x3 - 3x +m| trên đoạn [ 0; 2] bằng 3. Số phần tử của S là
A.1 B. 2 C. 3 D. 5
Lời giải:
+ Xét hàm số f(x) = x3-3x+ m là hàm số liên tục trên đoạn [0; 2] .
Ta có đạo hàm f’ (x) = 3x2- 3 và f’ (x) = 0 khi x= 1 ( nhận ) hoặc x= -1( loại)
+ Suy ra GTLN và GTNN của f(x) thuộc { f(0); f(1) ; f(2) }={m;m-2; m+2}.
+ Xét hàm số y = |x3 - 3x +m| trên đoạn [0; 2 ] ta được giá trị lớn nhất của y là max{|m|; |m-2|; |m+2|} = 3
TH1: m= 3 thì max {1;3;5}= 5 ( loại )
TH2: |m-2| = 3 thì m = -1 hoặc m = 5
+ Với m= -1. Ta có max {1; 3}= 3 (nhận).
+ Với m= 5. Ta có max { 3;5;7}= 7 (loại).
TH3: |m+2| = 3 thì m = 1 hoặc m = -5
+ Với m= 1. Ta có max {1; 3} = 3 (nhận).
+ Với m= -5. Ta có max {3;5;7} = 7 (loại).
Do đó m = -1 hoặc m= 1
Vậy tập hợp S có phần tử.
Chọn B.
Bài 13: Cho hàm số y = f(x).Hàm số y= f’(x) có đồ thị như hình bên. Hỏi hàm số y= f(2-x) đồng biến trên khoảng:
A. ( 1; 3) B. x > 3 C. x < -2 D. đáp án khác
Lời giải:
Ta có:( f( 2-x) )’= ( 2-x)’.f’(2-x) = -f’(2-x)
Hàm số đồng biến khi
( f( 2-x) )’ > 0 ⇔ f'( 2-x) < 0
Chọn D.
Bài 14: Cho hàm số có đồ thị (C) và điểm A( a; 1). Gọi S là tập hợp tất cả các giá trị thực của a để có đúng một tiếp tuyến từ C đi qua A. Hỏi trong tập S có bao nhiêu giá trị nguyên
A. 1. B.0 C.3 D. 4
Lời giải:
+ Phương trình đường thẳng d đi qua A và có hệ số góc k là: y= k( x-a) +1
+ Phương trình hoành độ giao điểm của d và (C) :
⇔ (kx - ka + 1) (x-1) = -x + 2 ( x ≠ 1)
⇔ kx2 + (-k-ka+2)x - 3 + ka = 0 ( x ≠ 1) (*)
+ Với k= 0, ta có d: y= 1 là tiệm cận ngang đồ thị hàm số nên không thể tiếp xúc được.
Với k≠0 , d và (C) tiếp xúc nhau khi và chỉ khi (1) có nghiệm kép
⇔ Δx = [k(1+a)2-2]2 - 4k(-3+ka) = 0
⇔ Δx = k2(1-a)2 - 4k(a-2) + 4 = 0
Coi đây là phương trình bậc 2 ẩn k tham số a
+ Để qua A( a; 1) vẽ được đúng tiếp tuyến thì phương trình Δx = 0 có đúng một nghiệm k≠ 0.
* Xét 1-a= 0 hay a=1, ta có 4k+ k= 0 hạy k= -1 thỏa.
* Có f(0) = 4≠0 nên loại đi trường hợp có hai nghiệm trong đó có một nghiệm là .
* Còn lại là trường hợp ∆x= 0 có nghiệm kép khi
Δ'k = 4((a-2)2 - (a-1)2) = 4(2a-3) = 0 ⇔ a = 3/2
Vậy có 2 giá trị của a thỏa mãn đầu bài là a= 1 hoặc a= 3/2.
Chọn A.
Bài 15: Có bao nhiêu giá trị nguyên âm của tham số m để hàm số y = |3x4 - 4x3 -12x2 + m| có 7 điểm cực trị?
A.0 B. 4 C. 5 D. 1
Lời giải:
Xét hàm số y= 34 - 4x3 -12x2+m
Có y' = 12x3 12x2 - 24x ,
Ta có bảng biến thiên
Từ bảng biến thiên, để hàm số đã cho có 7 cực trị thì
Vì m nguyên nên các giá trị cần tìm của m là m∈{1;2;3;4}.
Chọn A.
Bài 16: Cho hàm số: y= x4- (2m-1) x2+2m có đồ thị (C) . Có tất cả bao nhiêu giá trị nguyên của tham số m để đường thẳng d: y= 2 cắt đồ thị (C) tại bốn điểm phân biệt đều có hoành độ lớn hơn 3 là
A.1 B.2 C.3 D.4
Lời giải:
+ Phương trình hoành độ giao điểm của (C) và đường thẳng d:
x4- (2m-1) x2+2m = 2 hay x4- (2m-1) x2+2m -2=0
Suy ra x2= 1 hoặc x2= 2m-2 (1)
+ Đường thẳng d cắt C tại bốn điểm phân biệt có hoành độ nhỏ hơn 3 khi và chỉ khi phương trình (1) có hai nghiệm phân biệt nhỏ hơn 3.
Do đó có 4 giá trị nguyên của m thỏa mãn đầu bài.
Chọn D.
Bài 17: Cho hàm số y= x3- 3mx2+ 3( m+1)x+1 (1) với m là tham số. Gọi (C) là đồ thị hàm số (1) và K là điểm thuộc (C) có hoành độ bằng . Tìm tất cả các giá trị của tham số m để tiếp tuyến của ( C) tại điểm K song song với đường thẳng d: 3x+ y= 0 là
A. 1 B. 2 C. 3 D. không có giá trị nào của m thỏa mãn
Lời giải:
+ Ta có đạo hàm y’ = 3x2- 6mx+ 3( m+ 1).
Do K thuộc (C) và có hoành độ bằng -1, suy ra K( -1; -6m-3)
Khi đó tiếp tuyến tại K có phương trình
∆: y= ( 9m+ 6) x+ 3m+ 3
Đường thẳng ∆ song song với đường thẳng d
=> 3x + y = 0 ⇔ y = -3x
Vậy không tồn tại m thỏa mãn đầu bài.
Chọn D.
Bài 18: Cho hàm số y= x3- x2+ x= 1 có đồ thị ( C) . Tiếp tuyến tại điểm N( x; y) của (C) cắt đồ thị (C) tại điểm thứ hai là M( -1; -2). Khi đó x+ y=?
A. 1 B. 2 C. 3 D. 4
Lời giải:
+ Đường thẳng ∆ đi qua điểm M( -1; -2) có hệ số góc k có dạng ∆: y= k( x+ 1) -2 .
+ ∆ là tiếp tuyến của (C ) khi và chỉ khi hệ sau có nghiệm:
+ Thay (2) vào (1) ta được
x3- x2+ x+ 1= ( 3x2- 2x+1) (x+1) -2
Hay ( x+ 1)2(x-1) =0
Suy ra x= -1 ( trùng với M nên loại ) hoặc x= 1
Với x= 1 thì y= 2. Vậy N( 1;2)
Chọn C.
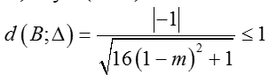
Bài 19: Cho hàm số y= x4- 2mx2+m (1) với m là tham số thực. Gọi (C) là đồ thị hàm số (1); d là tiếp tuyến của (C) tại điểm có hoành độ bằng 1. Tìm m để khoảng cách từ điểm B( 3/4; 1) đến đường thẳng d đạt giá trị lớn nhất?
A. 0 B. 1 C. 2 D. 3
Lời giải:
+ Do A thuộc (C) nên A( 1; 1-m) .
Đạo hàm y’ = 4x3-4mx nên y’ (1) = 4-4m .
+ Phương trình tiếp tuyến của (C) tại A là y- 1+ m= y’ (1) (x-1)
Hay (4-4m) x-y-3( 1-m) = 0.
+ Khi đó Dấu ‘=’ xảy ra khi và chỉ khi khi m= 1.
Do đó khoảng cách từ B đến ∆ lớn nhất bằng 1 khi và chỉ khi m= 1.
Chọn B.
Bài 20: Cho hàm số có đồ thị là (C) . Có bao nhiêu tiếp tuyến của đồ thị (C) tại những điểm thuộc đồ thị có khoảng cách đến đường thẳng d1: 3x+ 4y-2=0 bằng 2.
A. 2. B. 3. C. 4. D. 0.
Lời giải:
+ Giả sử M( xo; yo) ∈( C) suy ra .
+ Ta có
+ Với
+ Với
Ta tìm được 4 điểm M suy ra có 4 tiếp tuyến.
Chọn C.
Bài 21: Cho hàm số có đồ thị là (C) . Gọi I là giao điểm hai tiệm cận của (C) . tồn tại điểm M( a; b) với; a; b nguyên dương thuộc (C) có hoành độ lớn hơn 1 sao cho tiếp tuyến của (C) tại M vuông góc với đường thẳng MI. Khi đó b-a= ?
A.0 B. -1 C. 2 D.1
Lời giải:
+ Đồ thị hàm số đã cho có TCĐ là x= 1 và TCN là y= 2; giao điểm của hai tiệm cận là I (1; 2) .
Lấy điểm M ( a; b) ∈( C)
+ Phương trình tiếp tuyến của (C ) tại M là
+ Phương trình đường thẳng MI là
+ Tiếp tuyến tại M vuông góc với MI nên ta có
Vì yêu cầu hoành độ và tung độ của M nguyên dương nên điểm cần tìm là M( 2; 3).
Chọn D.
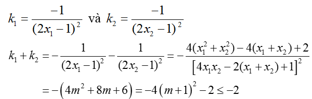
Bài 22: Cho hàm số có đồ thị là (C) , đường thẳng d: y= x+ m. Với mọi m ta luôn có d cắt (C) tại 2 điểm phân biệt A: B . Gọi k1; k2 lần lượt là hệ số góc của các tiếp tuyến với ( C) tại A; B. Tìm m để tổng k1+ k2 đạt giá trị lớn nhất.
A. -2 B. -1 C. 1 D.2
Lời giải:
+ Phương trình hoành độ giao điểm của d và (C) là
Theo định lí Vi-et ta có x1 + x2 = -m; x1.x2 = (-m-1)/2
Gọi A( x1; y1) ; B( x2; y2).
+ Ta có , nên tiếp tuyến của ( C) tại A và B có hệ số góc lần lượt là
Dấu "=" xảy ra khi và chỉ khi m= -1.
Vậy k1+ k2 đạt giá trị lớn nhất bằng - 2 khi m= -1.
Chọn B.
Bài 23: Cho hàm số .Viết phương trình tiếp tuyến của đồ thị hàm số đã cho, biết tiếp tuyến đó cắt trục hoành, trục tung lần lượt tại hai điểm phân biệt A; B và tam giác OAB cân tại gốc tọa độ.
A. y= -x+1 B. y= -x C.y= -x- 1 D.y= -x- 2
Lời giải:
+ Gọi M(a; b) là toạ độ của tiếp điểm
Đạo hàm
+ Do tam giác OAB cân tại O nên tiếp tuyến ∆ song song với đường thẳng y= -x (vì tiếp tuyến có hệ số góc âm).
Nghĩa là
- Với a= -1; b= 1 phương trình ∆: y- 1= -( x+ 1) hay y= -x ( loại) .
- Với a= -2; b= 0 thì ∆ : y- 0= -( x+ 2) hay y=-x-2 (nhận).
Vậy phương trình tiếp tuyến cần tìm là y= -x- 2.
Chọn D.
Bài 24: Cho hàm số . Mệnh đề nào dưới đây đúng?
A. Đồ thị hàm số không có tiệm cận ngang và có đúng một tiệm cận đứng là x= -1
B. Đồ thị hàm số có hai tiệm cận ngang là các đường thẳng y= -2; y= 2 và không có tiệm cận đứng.
C. Đồ thị hàm số không có tiệm cận ngang và có đúng hai tiệm cận đứng là các đường thẳng.
D. tất cả sai
Lời giải:
Ta có > y = 2 là TCN
> y = -2 là TCN
=> đồ thị hàm số có 2TCN là y= 2 và y= -2 .
Chọn B.
Bài 25: Biết đường thẳng y= (3m-1) x+ 6m+3 cắt đồ thị hàm số y= x3-3x2+ 1 tại ba điểm phân biệt sao cho một giao điểm cách đều hai giao điểm còn lại. Khi đó m thuộc khoảng nào dưới đây?
A. (1;3/2 B. (0;1) C. (-1; 0) D. (3/2;2)
Lời giải:
PT hoành độ giao điểm là
(3m-1) x+ 6m+ 3 = x3-3x2+ 1 hay x3-3x2 – (3m-1) x-6m-2=0 ( *)
Giả sử A( x1; y1) ; B( x2; y2) lần lượt là giao điểm của (C) và (d)
Vì B cách đều hai điểm A và C nên B là trung điểm của AC
Suy ra x1 + x3 = 2x2
Thay x2 = 1 vào (*), ta có 13 - 3.12 - (3m-1) - 6m -2 = 0
⇔ -9m-3 = 0 ⇔ m = -1/3
Thử lại, với m = -1/3 => x3 - 3x2 + 2x = 0 (TM).
Vậy -1 < m < 0
Chọn C.
Bài 26: Số nguyên nhỏ nhất của tham số để PT có nghiệm là
A. 6 B. 8 C. 7 D. 9
Lời giải:
Điều kiện x≥ 0 .
Dễ thấy x= 0 không là nghiệm của phương trình.
Xét x > 0 , chia cả 2 vế của phương trình cho x ta được
Đặt , khi đó phương trình ( *) trở thành: t2- (m -1) t+ m+ 2=0
Vì t≥ 2 nên t-1≠0 nên phương trình ( *) ⇔ t2 + t + 2 = m(t -1)
Xét hàm số trên có [2; +∞]
Khi đó, để phương trình m =f( t) có nghiệm
Chọn C.
Bài 27: Để chặn đường hành lang hình chữ L người ta dung một que sào thẳng dài đặt kín những điểm chạm với hành lang (như hình vẽ bên). Biết rằng và hỏi cái sào thỏa mãn điều kiện trên có chiều dài tối thiểu là bao nhiêu?
A. 18√5 B. 27√5
C. 15√5 D. 12√5
Lời giải:
Theo bài ra, thanh sào sẽ đi qua các điểm B, M , C (hình vẽ dưới)
Suy ra độ dài thanh sào là L = BM + MC
Đặt ∠BHM = x => ∠CMK = 90o -x , do đó
Yêu cầu bài toán
Ta có
Suy ra . Vậy độ dài tối thiểu của thanh sào là
Chọn C.
Bài 28: Gọi S là tập hợp tất cả các giá trị nguyên của tham số m để điểm cực tiểu của đồ thị hàm số y= x3+ x2+ mx-1 nằm bên phải trục tung. Tìm số phần tử nguyên của tập hợp (-5;6)∩S
A. 2 B. 5 C. 3 D. 4
Lời giải:
Ta có đạo hàm y’ = 3x2+ 2x+ m.
Hàm số có cực trị khi Δ' = 1 - 3m > 0 ⇔ m < 1/3
Do hàm số có a = 1 > 0 => xCT > xCD
Yêu cầu bài toán trở thành phương trình y’ = 0 có ít nhất 1 nghiệm dương
Do => m < 0 là giá trị cần tìm.
Vậy (-5;6)∩S = (-5;0)
Mà m nguyên nên chọn -4; -3; -2; -1. Có 4 giá trị thỏa mãn.
Chọn D.
Bài 29: Cho hàm số y = x3 - 3/4x2 - 3/2x. Tìm tất cả các giá trị thực của tham số m sao cho phương trình 4|x3| - 3x2 - 6|x| = m2 - 6m có đúng 3 nghiêm phân biệt.
A. m=0 hoặc m= 6 B.m > 0 hoặc m < 6 C. 0 < m < 3 D. 1 < m < 6
Lời giải:
Phương trình 4|x3| - 3x2 - 6|x| = m2 - 6m ⇔ |x3| - 3/4|x|2 - 3/2|x| = (m2-6m) /4 (*)
Dựa vào đồ thị hàm số y = f(x) = x3 - 3/4x2 - 3/2x
→ Đồ thị hàm số y = f(|x|) (C)
Số nghiệm của phương trình (*) là số giao điểm của (C) và đường thẳng y = (m2 -6m)/4
Vậy để (*) có 3 nghiệm phân biệt ⇔ (m2 -6m)/4 = 0 ⇔ m = 0 hoặc m =6
( học sinh tự vẽ đồ thị hàm số (C) ).
Chọn A.
Bài 30: Tìm tất cả các giá trị thực của m để đường thẳng y= x+ m-1 cắt đồ thị hàm số tại hai điểm phân biệt A, B sao cho
A. m = 2 ± √10 B. 4 ± √3 C. 2 ± √3 D. 4 ± √10
Lời giải:
Phương trình hoành độ giao điểm của ( C) và d là
Để ( C) cắt ( d) tại hai điểm phân biệt khi và chỉ khi f( x) =0 có hai nghiệm phân biệt
Gọi A( x1; y1) ; B( x2; y2) là giao điểm của ( C) và d
Theo hệ thức Viet, ta được
mà AB = 2√3 => (2-m)2 - 4(m-2) = 6 ⇔ m = 4 ± √10
chọn D.
Bài 31: Cho hàm số có đồ thị như hình vẽ bên. Tính giá trị của biểu thức A= a+ b+ c
A.- 2 B. -3 C.- 4 D. -5
Lời giải:
Dựa vào đồ thị hàm số ta thấy:
Đồ thị hàm số có TCĐ và TCN là x = 2, y = 1
Đồ thị hàm số đi qua điểm có tọa độ ( -2; 0) nên a = -2
Suy ra A = a+ b+ c = -2+ 1+ (-2) = -3
Chọn B.
Bài 32: Xét phương trình ax3- x2+ bx-1=0 với a, b là các số thực a≠0; a≠ b sao cho các nghiệm đều là số thực dương. Tìm giá trị nhỏ nhất của biểu thức
A. 15√3 B. 8√2 C. 11√6 D. 12√3
Lời giải:
Giả sử phương trình đã cho có 3 nghiệm x1, x2, x3
Khi đó mà
Do
Suy ra
Xét hàm số
Chọn D.
Bài 33: Cho hàm số y= f( x) liên tục trên R. Đồ thị của hàm số y= f’ (x) như hình bên. Đặt g(x) = 2f(x)-(x+ 1)2 . Mệnh đề nào dưới đây đúng?
Lời giải:
Ta có: g'( x) = 2f'( x) - 2(x+1) = 0
Với x < - 3 ta có: f’ (x) < x= 1 suy ra hàm số nghịch biến trên khoảng ( -∞; -3)
+ xét hàm số g( x) ; ta cần so sánh g( -3) và g( 3)
Ta có g(x) = 2f(x) –( x+ 1) 2 nên g’ (x) =2f’ (x) -2(x+1)
Phương trình g'(x) = 0 ⇔ f'(x) = x+1 (Dựa vào đồ thị hàm số y= f’ (x)) .
Bảng xét dấu của g’(x)
Dựa vào bảng xét dấu, ta được
Dựa vào hình vẽ lại có
Do đó g( 1) – g( -3) > g( 1) – g( 3) hay g( 3) > g( -3) .
Suy ra GTNN của hàm số trên đoạn [- 3; 3] là g( -3) .
Chọn B.
Bài 34: Cho hàm số có đồ thị (c) và điểm I ( 1; 2) . Điểm M( a; b) ; a > 0 thuộc (C) sao cho tiếp tuyến tại M của (C) vuông góc với đường thẳng IM.
Giá trị a+ b bằng
A. 3 B . 4 C. 5 D. 6
Lời giải:
Hệ số góc của đường thẳng IM là:
Mặt khác tiếp tuyến tại M có hệ số góc k = y'(a)
Giả thiết bài toán
Chọn C.
Bài 35: Có bao nhiêu giá trị nguyên dương của m để hàm số y= 3x+ m(sinx+ cosx+m) đồng biến trên R ?
A. 5 B. 4 C. 3 D. 2
Lời giải:
Đạo hàm : y’ =3+ m( cosx- sinx) = 3 + m√2cos (x + π/4)
Hàm số đồng biến trên R khi y’ ≥ 0 với mọi x
Vậy có 2 giá trị nguyên dương của m thỏa mãn đầu bài.
Chọn D.
Bài 36: Cho hàm số M và N là hai điểm thuộc đồ thị hàm số sao cho tiếp tuyến của đồ thị hàm số tại M và N song song với nhau. Khẳng định nào sau đây là SAI?
A. Hai điểm M và N đối xứng nhau qua gốc tọa độ.
B. Đường tiệm cận ngang của đồ thị hàm số đi qua trung điểm của đoạn thẳng MN.
C. Hai điểm M và N đối xứng nhau qua giao điểm của hai đường tiệm cận.
D. Đường tiệm cận đứng của đồ thị hàm số đi qua trung điểm của đoạn thẳng MN.
Lời giải:
Tiếp tuyến của đồ thị hàm số tại M và N song song với nhau nên hệ số góc của chúng bằng nhau g=hay y'(M) = y/(xN)
Gọi là hai điểm thuộc đồ thị hàm số.
Tiếp tuyến của đồ thị hàm số tại M và N song song với nhau
Gọi I là trung điểm của MN ta có: I (1; 1)
Dễ thấy đồ thị hàm số có TCN là y= 1và tiệm cận đứng x= 1 nên I (1; 1) là giao điểm của hai đường tiệm cận => C đúng.
TCN y= 1 và tiệm cận đứng x= 1 rõ ràng đi qua trung điểm I của đoạn MN => B, D đúng.
Chọn A.
Bài 37: Cho hàm số y= f( x) có đạo hàm liên tục trên R, hàm số y= f’ (x-2) có đồ thị hàm số như hình bên. Số điểm cực trị của hàm số y= f( x) là :
A. 0 B. 2
C. 1 D. 3
Lời giải:
Ta có: f'(x-2) = f'(x).(x-2) = f'(x)
Do đó; đồ thị hàm số y= f’ (x) có hình dạng tương tự như trên.
Đồ thị hàm số y= f( x-2) có 3 điểm cực trị khi và chỉ khi đồ thị hàm số y= f( x) cũng có 3 điểm cực trị.
Chọn D.
Bài 38: Giá trị của m để hàm số nghịch biến trên (π/4; π/2) là
Lời giải:
Ta có
Để hàm số nghịch biến trên khoảng (π/4; π/2)
Mà suy ra
Vậy là giá trị cần tìm.
Chọn B.
Bài 39: Cho hàm số y= f(x) đạo hàm f’(x) = -x2- 1 Với các số thực dương a, b thỏa mãn a < b. Giá trị nhỏ nhất của hàm số f( x) trên đoạn [ a; b] bằng
A. f(a) B. f( √ab) C. f( b) D. f( (a+b)/2)
Lời giải:
Hàm số đơn điệu trên đoạn nên giá trị nhỏ nhất – lớn nhất sẽ đạt tại đầu mút của đoạn
Ta có f’ (x) = -x2-1< 0 với a< x< b ; suy ra hàm số y= f( x) là hàm số nghịch biến trên [ a; b].
Mà a< b nên f(a) > f( b)
Vậy
Chọn C.
Bài 40: Cho hàm số y= f(x) có đạo hàm f'(x) = (x+1)4(x-2)5(x+3)3. Số điểm cực trị của hàm số f(|xƯ) là
A. 5 B. 3 C. 1 D. 2
Lời giải:
Ta có: [f(u)]' = f'(u).u'(x) => [f(|x|)]' = f'(x).|x|' = (|x|+1)4(|x|-2)5(|x| +3)3.x/|x|
Chú ý:
Do đó hàm số có 3 điểm cực trị tại x= 2; x= -2 và x= 0
Chọn B.
(199k) Học Toán 12 KNTTHọc Toán 12 CDHọc Toán 12 CTST
Xem thêm các dạng bài tập Toán lớp 12 có trong đề thi Tốt nghiệp THPT khác:
- 275 bài tập trắc nghiệm Ứng dụng đạo hàm để khảo sát và vẽ đồ thị hàm số có lời giải (cơ bản - phần 1)
- 275 bài tập trắc nghiệm Ứng dụng đạo hàm để khảo sát và vẽ đồ thị hàm số có lời giải (cơ bản - phần 2)
- 275 bài tập trắc nghiệm Ứng dụng đạo hàm để khảo sát và vẽ đồ thị hàm số có lời giải (cơ bản - phần 3)
- 275 bài tập trắc nghiệm Ứng dụng đạo hàm để khảo sát và vẽ đồ thị hàm số có lời giải (cơ bản - phần 4)
- 275 bài tập trắc nghiệm Ứng dụng đạo hàm để khảo sát và vẽ đồ thị hàm số có lời giải (cơ bản - phần 5)
- 275 bài tập trắc nghiệm Ứng dụng đạo hàm để khảo sát và vẽ đồ thị hàm số có lời giải (cơ bản - phần 6)
- 275 bài tập trắc nghiệm Ứng dụng đạo hàm để khảo sát và vẽ đồ thị hàm số có lời giải (cơ bản - phần 7)
- 200 bài tập trắc nghiệm Ứng dụng đạo hàm để khảo sát và vẽ đồ thị hàm số có lời giải (nâng cao - phần 1)
- 200 bài tập trắc nghiệm Ứng dụng đạo hàm để khảo sát và vẽ đồ thị hàm số có lời giải (nâng cao - phần 2)
- 200 bài tập trắc nghiệm Ứng dụng đạo hàm để khảo sát và vẽ đồ thị hàm số có lời giải (nâng cao - phần 4)
- 200 bài tập trắc nghiệm Ứng dụng đạo hàm để khảo sát và vẽ đồ thị hàm số có lời giải (nâng cao - phần 5)
Đã có app VietJack trên điện thoại, giải bài tập SGK, SBT Soạn văn, Văn mẫu, Thi online, Bài giảng....miễn phí. Tải ngay ứng dụng trên Android và iOS.
Theo dõi chúng tôi miễn phí trên mạng xã hội facebook và youtube:Nếu thấy hay, hãy động viên và chia sẻ nhé! Các bình luận không phù hợp với nội quy bình luận trang web sẽ bị cấm bình luận vĩnh viễn.
- Giải Tiếng Anh 12 Global Success
- Giải sgk Tiếng Anh 12 Smart World
- Giải sgk Tiếng Anh 12 Friends Global
- Lớp 12 Kết nối tri thức
- Soạn văn 12 (hay nhất) - KNTT
- Soạn văn 12 (ngắn nhất) - KNTT
- Giải sgk Toán 12 - KNTT
- Giải sgk Vật Lí 12 - KNTT
- Giải sgk Hóa học 12 - KNTT
- Giải sgk Sinh học 12 - KNTT
- Giải sgk Lịch Sử 12 - KNTT
- Giải sgk Địa Lí 12 - KNTT
- Giải sgk Giáo dục KTPL 12 - KNTT
- Giải sgk Tin học 12 - KNTT
- Giải sgk Công nghệ 12 - KNTT
- Giải sgk Hoạt động trải nghiệm 12 - KNTT
- Giải sgk Giáo dục quốc phòng 12 - KNTT
- Giải sgk Âm nhạc 12 - KNTT
- Giải sgk Mĩ thuật 12 - KNTT
- Lớp 12 Chân trời sáng tạo
- Soạn văn 12 (hay nhất) - CTST
- Soạn văn 12 (ngắn nhất) - CTST
- Giải sgk Toán 12 - CTST
- Giải sgk Vật Lí 12 - CTST
- Giải sgk Hóa học 12 - CTST
- Giải sgk Sinh học 12 - CTST
- Giải sgk Lịch Sử 12 - CTST
- Giải sgk Địa Lí 12 - CTST
- Giải sgk Giáo dục KTPL 12 - CTST
- Giải sgk Tin học 12 - CTST
- Giải sgk Hoạt động trải nghiệm 12 - CTST
- Giải sgk Âm nhạc 12 - CTST
- Lớp 12 Cánh diều
- Soạn văn 12 Cánh diều (hay nhất)
- Soạn văn 12 Cánh diều (ngắn nhất)
- Giải sgk Toán 12 Cánh diều
- Giải sgk Vật Lí 12 - Cánh diều
- Giải sgk Hóa học 12 - Cánh diều
- Giải sgk Sinh học 12 - Cánh diều
- Giải sgk Lịch Sử 12 - Cánh diều
- Giải sgk Địa Lí 12 - Cánh diều
- Giải sgk Giáo dục KTPL 12 - Cánh diều
- Giải sgk Tin học 12 - Cánh diều
- Giải sgk Công nghệ 12 - Cánh diều
- Giải sgk Hoạt động trải nghiệm 12 - Cánh diều
- Giải sgk Giáo dục quốc phòng 12 - Cánh diều
- Giải sgk Âm nhạc 12 - Cánh diều


Giải bài tập SGK & SBT
Tài liệu giáo viên
Sách
Khóa học
Thi online
Hỏi đáp

