200 bài tập trắc nghiệm Ứng dụng đạo hàm để khảo sát và vẽ đồ thị hàm số có lời giải (nâng cao - phần 4)
Với 200 bài tập trắc nghiệm Ứng dụng đạo hàm để khảo sát và vẽ đồ thị hàm số nâng cao có lời giải chi tiết sẽ giúp học sinh ôn tập, biết cách làm bài tập trắc nghiệm Ứng dụng đạo hàm để khảo sát và vẽ đồ thị hàm số.
200 bài tập trắc nghiệm Ứng dụng đạo hàm để khảo sát và vẽ đồ thị hàm số có lời giải (nâng cao - phần 4)
(199k) Học Toán 12 KNTTHọc Toán 12 CDHọc Toán 12 CTST
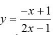
Bài 1: Biết đồ thị hàm số (m, n là tham số) nhận trục hoành và trục tung làm hai đường tiệm cận. Tính m+ n
A.3 B. 8 C. 9 D.10
Lời giải:
+ Ta có
Do đó đường thẳng y= 2m- n là TCN
+ Mà y= 0 là tiệm cận ngang của ĐTHS nên 0 = 2m- n
+ Vì x= 0 là TCĐ của ĐTHS nên x= 0 là nghiệm của phương trình x2+ mx+n - 6= 0
Vậy
Chọn C.
Bài 2: Có bao nhiêu giá trị nguyên của tham số m để phương trình có nghiệm thực?
A. 3 B. 1 C. 4 D.6
Lời giải:
Xét x ∈ [-π; π] mà
Ta có
Đặt t = sinx + cosx = √sin (x + π/4)
Và 2.sinx.cos x= t2- 1
Khi đó
Suy ra y= f( t) là hàm số đồng biến trên
Do đó, để f( t) = m2/8 có nghiệm
Mà mm nguyên chọn m= 5; 6;7; 8.
Chọn C.
Bài 3: Xét hàm số f(x) = |x2 + ax + b| với a, b là tham số. Gọi M là giá trị lớn nhất của hàm số trên [- 1; 3]. Khi M nhận giá trị nhỏ nhất có thể được, tính a. b
A.2 B. -3 C. -3/2 D.2/3
Lời giải:
Ta có
Từ (1) và (2), kết hợp với |x| + |y| + |z| ≥ |x+y+z|, ta được
4M ≥ |b-a+1| + |b+3a+9| + |-2b-2a-2| ≥ |b-a+1+b+3a+9-2b-2c-2| = 8
=> M≥ 2
Giá trị nhỏ nhất của M là 2 .
Dấu bằng xảy ra khi cùng dấu
Do đó → ab = 2
Chọn A.
Bài 4: Cho hàm số có đồ thị (C) . Tìm tất cả các giá trị thực của tham m số sao cho đường thẳngd: y= x+m-1 cắt (C) tại hai điểm phân biệt A; B thỏa mãn AB = 2√3
A. 2 ± √10 B. 4 ± √10 C. 4 ± √3 D. 2 ± √3
Lời giải:
Xét phương trình hoành độ giao điểm:
⇔ x2 + (m-2)x + m-2 = 0
Đường thẳng d cắt (C) tại hai điểm phân biệt khi và chỉ khi phương trình có hai nghiệm phân biệt khác - 1
Khi đó d cắt ( C) tại A( x1; x1+ m- 1) ; B ( x2; x2+ m- 1)
⇔ 2(x2 - x1)2 = 12 ⇔ x12 - 2x1x2 + x22 = 6
⇔ (x1 + x2)2 - 4x1x2 = 6
Áp dụng định lý Vi-et ta có:
(m-2)2 - (4m-2) - 6 = 0
Vậy 4 ± √10
Chọn B.
Bài 5: Cho hàm số có đồ thị ( C) . Gọi tập S tất cả các giá trị của tham số thực m để ( C) có đúng hai tiệm cận đứng. Hỏi tập S có bao nhiêu giá trị nguyên
A.0 B. 1 C. 3 D. 4
Lời giải:
ĐKXĐ:
Ta có nên để ( C) có hai tiệm cận đứng thì phương trình
có hai nghiệm phân biệt thuộc [ 0; 4]
Đế phương trình có 2 nghiệm phân biệt thì Δ' = 9 -2m > 0 ⇔ m < 9/2
Gọi 2 nghiệm phân biệt của (*) là x1 < x2 ta có 0≤ x1 < x2≤ 4.
Theo định lí Vi-et ta có
Khi đó
Kết hợp nghiệm ta có 4 ≤ m ≤ 9/2
Mà m nguyên nên m= 4
Chọn B.
Bài 6: Cho hàm số y= f( x) có đồ thị như hình vẽ bên
Tìm số điểm cực trị của hàm số y= 2f( x) – 3f( x)
A. 6 B. 5
C. 4 D. 3
Lời giải:
Xét hàm số g( x)= 2f( x) – 3f( x)
=> g'( x) = f'( x)2f( x).ln2 - f'( x).3f( x)ln3, ∀ x ∈ R
Ta có
Dựa vào đồ thị hàm số y= f( x) , ta thấy:
Phương trình (1) có 3 nghiệm phân biệt (vì hàm số y= f (x) có 3 điểm cực trị).
Phương trình (2) vô nghiệm vì đường thẳng không cắt ĐTHS.
Vậy phương trình g’ (x) =0 có 3 nghiệm phân biệt hay hàm số đã cho có 3 điểm cực trị.
Chọn D.
Bài 7: Cho là đa thức thỏa mãn . Tính
Lời giải:
Đặt
Vì nên f( x) -20 =0 hay f( x) = 20 nên P =5
Khi đó
Suy ra
Chọn B
Bài 8: Tìm tập hợp S tất cả các giá trị của tham số m để đồ thị hàm số y= x4-2m2x2+ m4+ 3 có ba điểm cực trị đồng thời ba điểm cực trị đó cùng với gốc tọa độ O tạo thành tứ giác nội tiếp.
Lời giải:
Ta có đạo hàm y' = 4x3 - 4m2x = 0 ⇔ x(x2-m2) = 0
Để hàm số có 3 điểm cực trị khi và chỉ khi m≠0.
Khi đó, tọa độ 3 điểm cực trị là: A( 0; m4+ 3) ; B( m; 3) và C( -m; 3) là ba điểm cực trị.
Vì yA > yB = yC nên yêu cầu bài toán; tứ giác ABOC nội tiếp đường tròn ( C)
Và suy ra OA là đường trung trực của đoạn thẳng BC.
Suy ra OA là đường kính của đường tròn
Mà suy ra (1) ⇔ m.m - 3m4 = 0 ⇔ m2 = 1/3
Chọn C.
Bài 9: Cho là các số thực dương thỏa mãn điều kiện . Tính giá trị nhỏ nhất của biểu thức T =x + y.
A. Tmin = 2 + 3√2 B. Tmin = 3 + 2√3 C. Tmin = 1 + √5 D. Tmin = 5 + 3√2
Lời giải:
Từ giả thiết ta suy ra
Xét hàm số f( t) = 5t - 1/3t + t với t ∈ R có f'( t) = 5'.ln5 + 3-t.ln3 + 1 > 0 ∀t ∈ R
Suy ra y= f( t) là hàm số đồng biến trên R mà từ (*) suy ra
f (x+ 2y) =f( xy-1) hay x+ 2y= xy-1
với x > 0 => y > 1
Khi đó
Xét hàm số trên khoảng (1;+∞) có
Tính các giá trị f(1+√3) = 3 + 2√3 và
Do đó, giá trị nhỏ nhất của hàm số là 3 + 2√3 .
Vậy Tmin = 3 + 2√3
Chọn B.
Bài 10: Cho hàm số y=f(x)=x4+2mx2+m . Tìm m để f(x) > 0 mọi x .
A. m > 0 B.m < 0 C. m≠0 D. m > 1
Lời giải:
Chọn A
y= f(x)=x4+2mx2+m > 0 mọi x
⇔ m(2x2+1) > -x4, ∀x ∈ R
Xét có
Khi đó : g’(x) =0 khi x=0
Bảng biến thiên
Dựa vào bảng biến thiên (*) suy ra m > 0.
Bài 11: Hỏi có bao nhiêu giá trị nguyên dương của tham số m sao cho hàm số đồng biến trên khoảng (1;+∞) ?
A. 3. B. 1. C. 2. D. 0.
Lời giải:
Tập xác định D=R\{m}.
Ta có
Hàm số đồng biến trên (1;+∞) khi và chỉ khi g(x)≥0 và (1)
Vì Δ'g = 2(m+1)2 ≥ 0, ∀ m nên (1) tương đương g(x)=0 có hai nghiệm thỏa x1 < x2 < 1
Điều kiện tương đương là ⇔ m < 3 - 2√2 ≈ 0,2
Do đó không có giá trị nguyên dương của m thỏa yêu cầu bài toán.
Chọn D.
Bài 12: Tìm tất cả các giá trị thực của tham số α và β sao cho hàm số luôn giảm trên R?
Lời giải:
Điều kiện xác định: β ≥ 2
Yêu cầu của bài toán đưa đến giải bất phương trình 1/2 ≤ sin2 α ≤ 1
Kết luận: π/12 + kπ ≤ α ≤ 5π/12 + kπ, k ∈ Z và β ≥ 2
Chọn B.
Bài 13: Tìm mối liên hệ giữa các tham số a và b sao cho hàm số y=f(x)=2x+a.sinx+b.cosx luôn tăng trên R?
Lời giải:
Tập xác định D=R.
Ta có: y’=2+a.cosx-b.sinx
Áp dụng bất đẳng thức Schwartz ta có
Yêu cầu của bài toán đưa đến giải bất phương trình
y' ≥ 0, ∀x ⇔ 2 - √(a2+b2) ⇔ a2+b2 ≤ 4.
Chọn C.
Bài 14: Tìm tất cả các giá trị thực của tham số m sao cho hàm số y= (m-3)x- (2m+1).cos x luôn nghịch biến trên R?
Lời giải:
Chọn A.
Tập xác định:D= R. Ta có:y'= m-3 + (2m+1).sinx
Hàm số nghịch biến trên R ⇔ y' ≤ 0, ∀ x ∈ R
⇔ (2m+1).sinx ≤ 3 - m, ∀ x ∈ R
Trường hợp 1: m= -1/ 2 ; ta có 0 ≤ 7/2, ∀ x ∈ R .
Vậy hàm số luôn nghịch biến trên R.
Trường hợp 2:m < -1/ 2 ; ta có
Trường hợp 3:m > -1/2 ; ta có:
⇔ 3 - m ≥ 2m + 1 ⇔ m ≤ 2/3
Vậy -4≤m≤2/3.
Bài 15: Tìm tất cả các giá trị thực của tham số m sao cho đồ thị của hàm số đồng biến trên khoảng (0;π4).
A. m ≤ 0 hoặc 1 ≤ m ≤ 2 B. m ≤ 0 C. 1 ≤ m ≤ 2 D. m ≥ 2
Lời giải:
Chọn A
Đặt t= tanx, vì x ∈ (0; π/4) => t ∈ (0;1)
Xét hàm số
Tập xác định : D= R \{m}
Ta có
Để hàm số y đồng biến trên khoảng (0; π/4) khi và chỉ khi: f’(t) > 0 với 0 < t < 1
Bài 16: Tìm tập hợp tất cả các giá trị của tham số thực m để hàm số y = ln(x2+1) - mx + 1 đồng biến trên khoảng ( -∞; +∞).
A. ( -∞; -1] . B. ( -∞; -1) . C. [-1; 1] . D. Đáp án khác
Lời giải:
Chọn A.
Ta có:
Hàm số y = ln(x2+1) - mx + 1 đồng biến trên khoảng( -∞; +∞). Khi và chỉ khi y’ ≥0 với mọi x.
Ta có
Bảng biến thiên:
Dựa vào bảng biến thiên ta có: ⇔ m ≤ -1
Bài 17: Gọi x1; x2 là hai điểm cực trị của hàm số y= 4x3+mx2-3x. Tìm các giá trị thực của tham số m để x1+4x2=0
A. m = ±9/2 . B. m=±1 C.m=0 D.m= ±2
Lời giải:
Ta có y’=12x2+2mx-3.
Do Δ' = m2 + 36 > 0, ∀ m ∈ R nên hàm số luôn có hai điểm cực trị x1; x2.
Theo Viet, ta có
Mà x1+4x2 = 0
Suy ra
Chọn A.
Bài 18: Cho hàm số y = 2x3 + 3(m-1)x2 + 6(m-2)x - 1 với m là tham số thực. Tìm tất cả các giá trị của m để hàm số có điểm cực đại và điểm cực tiểu nằm trong khoảng (-2; 3).
A. m ∈ (-1;3)∪(3; 4) . B.(1; 3)
C.(3; 4) D.(-1; 4)
Lời giải:
Ta có y' = 6x2 + 6(m-1)x + 6(m-2); y' = 0
Để hàm số có hai cực trị kh y’=0 có hai nghiệm phân biệt ⇔ 2-m ≠ -1 ⇔ m ≠ 3.
● Nếu -1 < 2-m hay m < 3, ycbt ⇔ -2 < -1 < 2-m < 3
● Nếu 2-m < -1 hay m >3, ycbt ⇔ -2 < 2-m < -1 < 3
Vậy m ∈ (-1;3)∪(3; 4)
Chọn A.
Bài 19: Tìm tất cả các giá trị thực của tham số m để hàm số y= x3-3x2+3mx+1 có các điểm cực trị nhỏ hơn 2
A. -1 > m B.m < 1
C.m > 0 D.0 < m < 1
Lời giải:
Ta có y’= 3x2-6x+3m
Yêu cầu bài toán khi y’=0 có hai nghiệm phân biệt x1 < x2 < 2
Chọn D.
Bài 20: Cho hàm số y=2x3+mx2-12x-13 với m là tham số thực. Tìm giá trị của m để đồ thị hàm số có hai điểm cực trị cách đều trục tung.
A.m=2 B.m=-1 C.m=1 D.m=0
Lời giải:
Ta có y’= 6x2+2mx-12
Do Δ' = m2 + 72 > 0, ∀ m ∈ R nên hàm số luôn có hai điểm cực trị x1; x2 với x1; x2 là hai nghiệm của phương trình y’=0 .
Theo định lí Viet, ta có x1+ x2 = -m/3
Gọi A( x1; y1) và B( x2; y2) là hai điểm cực trị của đồ thị hàm số.
Yêu cầu bài toán ⇔ |x1| = |x2| ⇔ x1 = -x2 (do x1 ≠ x2 )
⇔ x1 + x2 = 0 ⇔ -m/3 = 0 ⇔ m = 0
Chọn D.
Bài 21: Cho hàm số y= -x3+3mx2-3m-1 với m là tham số thực. Tìm giá trị của m để đồ thị hàm số đã cho có hai điểm cực trị đối xứng với nhau qua đường thẳng d: x+8y-74=0.
A.m=1 B.m=- 2 C.m= -1 D.m=1
Lời giải:
Ta có y' = -3x2 + 6mx = -3x(x-2m); y'= 0
Để đồ thị hàm số có hai điểm cực trị khi m khác 0.
Khi đó gọi A( 0 ; -3m-1) và B( 2m ; 4m3-3m-1) là hai điểm cực trị của đồ thị hàm số.
Suy ra trung điểm của AB là điểm I ( m ; 2m3-3m-1) và
Đường thẳng d có một vectơ chỉ phương là u− = (8;-1)
Chọn D.
Bài 22: Cho hàm số y=x3+3x2+mx+m-2 với m là tham số thực, có đồ thị là (C) . Tìm tất cả các giá trị của m để (C) có các điểm cực đại và cực tiểu nằm về hai phía đối với trục hoành.
A. m < 2 B. m ≤ 3 . C.m < 3 D. m ≤ 2 .
Lời giải:
Đạo hàm: y’ = 3x2+6x+m. Ta có Δ'y' = 9 - 3m
Hàm số có cực đại và cực tiểu khi Δ'y' > 0 ⇔ m < 3
Ta có
Gọi x1; x2 là hoành độ của hai điểm cực trị khi đó
Theo định lí Viet, ta có
Hai điểm cực trị nằm về hai phía trục hoành khi y1.y2 < 0
Chọn C.
Bài 23: Cho hàm số y= x3-3x2-mx+2 với m là tham số thực. Tìm giá trị của m để đường thẳng đi qua hai điểm cực trị của đồ thị hàm số tạo với đường thẳng d ; x+4y-5=0 một góc α = 45o
A. m= -1/2 B.m= 1/2 C.m=0 D. m= 1
Lời giải:
Ta có y’=3x2-6x-m
Để đồ thị hàm số đã cho có hai điểm cực trị khi phương trình y’= 0 có hai nghiệm phân biệt ⇔ Δ' = 9 + 3m > 0 ⇔ m > -3
Ta có
Đường thẳng đi qua hai điểm cực trị A và B là
Đường thẳng d: x+4y-5=0 có một VTPT là
Đường thẳng có một VTPT là
Ycbt suy ra:
Suy ra:
Chọn A.
Bài 24: Cho hàm số y= 2x3-3( m+1)x2+ 6mx+ m3 với m là tham số thực. Tìm tất cả các giá trị của m để đồ thị hàm số có hai điểm cực trị A; B thỏa mãn AB= √2.
A.m=0 B.m=0; m= 2.
C.m=1 D.m=2
Lời giải:
Ta có y' = 6x2 - 6(m+1)x + 6m, y' = 0 ⇔ x2 - (m+1)x + m = 0
Để hàm số có hai điểm cực trị khi m khác -1
Tọa độ các điểm cực trị là A( 1; m3+ 3m-1) và B( m; 3m2).
Suy ra AB2 = (m-1)2 + (m3 - 3m2 + 3m - 1)2 = (m-1)2 + (m-1)6
Ycbt ⇔ AB2 = 2 ⇔ (m-1)2 + (m-1)6 - 2 = 0
⇔ [(m-1)2]3 - 1 = 0
Chọn B.
Bài 25: Cho hàm số y = x3- 3mx2+4m2-2 với m là tham số thực. Tìm giá trị của m để đồ thị hàm số có hai điểm cực trị A; B sao cho I( 1; 0) là trung điểm của đoạn thẳng AB.
A. 0 B.-1. C.1. D. 2
Lời giải:
Ta có y'= 3x2 - 6mx = 3x (x-2m); y' = 0
Đề đồ thị hàm số có hai điểm cực trị khi m khác 0.
Khi đó tọa độ hai điểm cực trị là A( 0 ; 4m2- 2) và B( 2m; 4m2- 4m3-2).
Do I( 1; 0) là trung điểm của AB nên
⇔ m = 1: thỏa mãn.
Chọn C.
Bài 26: Tìm tất cả các giá trị của tham số m để đồ thị hàm số y= x3-3mx2+2 có hai điểm cực trị A: B sao cho A: B và M( 1; -2) thẳng hàng.
A.m=0 B. m=√2. C.m=-√2 . D.Đáp án khác
Lời giải:
Ta có y' = 3x2 - 6mx = 3x(x-2m); y' = 0
Hàm số có hai điểm cực trị khi y’= 0 có hai nghiệm phân biệt suy ra 0≠2m hay m≠0
Tọa độ các điểm cực trị của đồ thị hàm số là: A( 0; 2) và B( 2m; 2-4m3).
Suy ra
Theo giả thiết A; B và M thẳng hàng
Chọn D.
Bài 27: Cho hàm số y=x4-2( m2-m+1)x2+m-1 với m là tham số thực. Tìm giá trị của m để đồ thị hàm số có một điểm cực đại và hai điểm cực tiểu, đồng thời khoảng cách giữa hai điểm cực tiểu ngắn nhất.
A.m= -1/2 B.m= 1/2 C.m=2 D. m=1
Lời giải:
Ta có y' = 4x3 - 4(m2 - m + 1)x = 4x[x2 - (m2-m+1)];
Suy ra đồ thị có hai điểm cực tiểu là
Khi đó AB2 = 4(m2 - m + 1)
Dấu "=" xảy ra khi m=1/2.
Chọn B.
Bài 28: Cho hàm số y=x4-2mx2+2 với m là tham số thực. Có bao nhiêu giá trị nguyên của m để đồ thị hàm số có ba điểm cực trị A; B; C thỏa mãn OA.OB.OC=12?
A.2 B.1 C.0 D.4
Lời giải:
Để hàm số có ba điểm cực trị khi và chỉ khi ab < 0 hay 1.( -2m) < 0
Suy ra m > 0
Khi dó y' = 4x3 - 4mx = 4x(x2 -m); y' = 0
Suy ra tọa độ các điểm cực trị của đồ thị hàm số là: A(0;2); B(√m; -m2+2), C(-√m; -m2 +2)
Ycbt OA.OB.OC = 12 ⇔ 2[m + (-m2 + 2)2 ] = 12
Giải ra ta được m=2; có một giá trị nguyên.
Chọn B.
Bài 29: Cho với a > 1; b > 1 và P = loga2b + 16logba . Tìm m sao cho P đạt giá trị nhỏ nhất.
A.m=1. B. m = 1/2 . C.m=4. D.m=2.
Lời giải:
Ta có
=> logab = 3m-1; logba = 1/(3m-1)
Do đó P = loga2b + 16logba = (3m-1)2 + 16/(3m-1)
Xét hàm số
Khi đó f'(m)= 0 khi 3m-1=2 hay m=1
Bảng biến thiên
Vậy giá trị nhỏ nhất của P là 12 tại m=1.
Chọn A.
Bài 30: Xét các số thực a; b thỏa mãn a > b > 1 . Tìm giá trị nhỏ nhất Pmin của biểu thức
A. 19 B.13 C. 14 D.15
Lời giải:
Ta có:
Đặt t= logba-1 > logbb -1 = 0
khi đó:
Ta có:
f’(t) =0 khi 3t3-8( t+1) =0 hay t= 2.
Suy ra Pmin = f(2) =15
Chọn D.
Bài 31: Cho x; y > 0 thỏa mãn log 2x+ log2y=log4(x+y) Tìm x; y để biểu thức P= x2+y2 đạt giá trị nhỏ nhất.
Lời giải:
Theo đầu bài ta có: log2x + log2y = log4(x+y) hay 2 log2(xy) =log2(x+y)
Suy ra x+y=(xy)2
Đặt u= x+ y; v= xy ta có điều kiện u2-4v≥0; u > 0; v > 0 .
Mà u = v2 => v4 - 4v ≥ 0 ⇔ v3 - 4 ≥ 0 ⇔
Ta có P = v4 - 2v = g(v)
g'(v) = 4v3 - 2 > 0 ∀ nên
Chọn A.
Bài 32: Tìm tất cả các giá trị thực của tham số ,m sao cho đồ thị của hàm số có hai tiệm cận ngang.
A.m < 0 B.m > 0
C.m= 0 D. Không có giá trị thực nào của m thỏa mãn yêu cầu đề bài.
Lời giải:
Điều kiện:mx2+1 > 0.
- Nếu m=0 thì hàm số trở thành y=x+1 không có tiệm cận ngang.
- Nếu m < 0 thì hàm số xác định
Do đó, không tồn tại nên đồ thị hàm số không có tiệm cận ngang.
- Nếu m > 0 hì hàm số xác định với mọi x.
Suy ra đường thẳng là tiệm cận ngang của đồ thị hàm số khi x → +∞ .
Suy ra đường thẳng là tiệm cận ngang của đồ thị hàm số khi x → -∞ .
Vậy m > 0 thỏa mãn yêu cầu đề bài.
Chọn B.
Bài 33: Tìm tất cả các giá trị thực của tham số m sao cho đồ thị của hàm số có đúng một tiệm cận đứng.
Lời giải:
TH1 : Phương trình x3-3x2-m=0 có một nghiệm đơn x= -1 và một nghiệm kép.
Phương trình x3-3x2-m=0 có nghiệm x=-1 nên (-1)3-3(-1)2-m=0 hay m = -4.
Với m= -4 phương trình trở thành x3 - 3x2 + 4 = 0
(thỏa mãn vì x=2 là nghiệm kép).
TH2: Phương trình x3-3x2-m= 0 có đúng một nghiệm khác -1 hay x3-3x2=m có một nghiệm khác -1
Vậy với thỏa mãn yêu cầu đề bài.
Chọn C.
Bài 34: Cho hàm số có đồ thị (C). Gọi M là một điểm bất kì trên (C). Tiếp tuyến của (C) tại M cắt các đường tiệm cận của (C) tại A và B. Gọi I là giao điểm của các đường tiệm cận của (C). Tính diện tích của tam giác IAB.
A.2 B.12 C.4 D.6
Lời giải:
Tập xác định D= R\{1}.
Đạo hàm
(C) có tiệm cận đứng x=1 (d1) và tiệm cận ngang y=2 (d2) nên I(1 ;2).
Gọi
Tiếp tuyến ∆ của (C) tại M có phương trình
∆ cắt d1 tại và cắt d2 tại B(2xo-1 ; 2).
Ta có
Do đó
Chọn C.
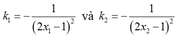
Bài 35: Cho hàm số có đồ thị là (C) , đường thẳng d: y=x+m. Với mọi m ta luôn có d cắt (C) tại 2 điểm phân biệt A: B. Gọi k1; k2 lần lượt là hệ số góc của các tiếp tuyến với (C) tại A; B . Tìm m để tổng k1+k2 đạt giá trị lớn nhất.
A. m=-1. B.m=-2 . C. m=3 . D. m=-5.
Lời giải:
Phương trình hoành độ giao điểm của d và (C) là
Theo định lí Viet ta có x1+x2=-m; x1.x2=(-m-1)/2.
Giả sử A( x1; y1); B( x2; y2).
Ta có , nên tiếp tuyến của (C) tại A và B có hệ số góc lần lượt là
Vậy
Dấu "=" xảy ra khi và chỉ kjhi m=-1.
Vậy k1+ k2 đạt giá trị lớn nhất bằng -2 khi m= -1.
Chọn A.
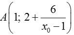
Bài 36: Cho hàm số có đồ thị là (C). Gọi điểm M(xo; yo) với xo > -1 là điểm thuộc (C) biết tiếp tuyến của (C) tại điểm M cắt trục hoành, trục tung lần lượt tại hai điểm phân biệt A; B và tam giác OAB có trọng tâm G nằm trên đường thẳng d: 4x+y=0. Hỏi giá trị của xo+2yo bằng bao nhiêu?
A . -7/2 B. 7/2 C. 2 D.1
Lời giải:
Gọi với xo≠-1 là điểm cần tìm.
Gọi ∆ tiếp tuyến của (C) tại M ta có phương trình.
Gọi A = Δ ∩Ox và B = Δ ∩ Oy
Khi đó ∆ tạo với hai trục tọa độ tam giác OAB có trọng tâm là
Do G thuộc đường thẳng 4x+y=0 nên
(vì A; B không trùng O nên xo2 - 2xo - 1 ≠ 0 )
Vì xo > -1 nên chỉ chọn xo = 1/2 = > M(-1/2;-3/2) => xo + 2yo = -7/2
Chọn A.
Bài 37: Cho hàm số có đồ thị là (C) . Có bao nhiêu tiếp tuyến của đồ thị (C) tại những điểm thuộc đồ thị có khoảng cách đến đường thẳng d1: 3x+4y-2=0 bằng 2.
A. 2. B. 3. C. 4. D. 0.
Lời giải:
Giả sử M(xo; yo)∈C
Ta có
Với
Với
Suy ra có 4 tiếp tuyến.
Chọn C.
Bài 38: Cho hàm số có đồ thị (C) .Gọi ∆ là tiếp tuyến tại điểm M(xo; yo) (với xo > 0) thuộc đồ thị (C). Để khoảng cách từ tâm đối xứng I của đồ thị (C) đến tiếp tuyến ∆ là lớn nhất thì tung độ của điểm M gần giá trị nào nhất?
A. 7π/2 . B. 3π/2 . C. 5π/2 . D. π/2 .
Lời giải:
+ Hàm số đã cho có TCĐ là x=1 và TCN là y= 1 nên tâm đối xứng- là giao điểm của 2 đường tiệm cận có tọa độ là I (1; 1)
+ Ta có
Gọi
+ Phương trình tiếp tuyến tại M có dạng
+
+ Dấu "="" xảy ra khi và chỉ khi
Tung độ này gần với giá trị π/2 nhất trong các đáp án.
Chọn D.
Bài 39: Cho hàm số có đồ thị (C) . Phương trình tiếp tuyến ∆ của đồ thị hàm số (C) tạo với hai đường tiệm cận một tam giác có bán kính đường tròn nội tiếp lớn nhất. Khi đó, khoảng cách từ tâm đối xứng của đồ thị đến ∆ bằng?
A. √3 . B. 2√6 . C. 2√3 . D. √6 .
Lời giải:
+ Đồ thi hàm số đã cho co TCĐ là : x= -1 và TCN là y= 1; tâm đối xứng- giao của 2 đườg tiệm cận có tọa độ là I ( -1; 1)
Gọi
+ Phương trình tiếp tuyến tại M có dạng
+ Giao điểm của ∆ với tiệm cận đứng là
+ Giao điểm của ∆ với tiệm cận ngang là B( 2xo+1; 1).
Ta có , IB = 2|xo + 1| => IA.IB = 12
Bán kính đường tròn ngoại tiếp tam giác IAB là S=p.r, suy ra
Suy ra rmax = 2√3 - √6 ⇔ IA = IB ⇔ |xo - 1|2 = 3
Chọn D.
Bài 40: Cho hàm số có đồ thị (C) . Gọi I là giao điểm của hai tiệm cận. Tiếp tuyến của (C) cắt 2 tiệm cận tại A và B sao cho chu vi tam giác IAB đạt giá trị nhỏ nhất. Khoảng cách lớn nhất từ gốc tọa độ đến tiếp tuyến ∆ gần giá trị nào nhất?
A. 6. B. 4. C. 3. D. 5.
Lời giải:
+ Gọi
Phương trình tiếp tuyến tại M có dạng
+ Giao điểm của ∆ với tiệm cận đứng là
+ Giao điểm của ∆ với tiệm cận ngang là B( 2xo-1; 2).
Ta có SΔIAB = 1/2IA.IB =
Tam giác IAB vuông tại I có diện tích không đổi nên chu vi tam giác IAB đạt giá trị nhỏ nhất khi
+ Với xo =1+√3 thì phương trình tiếp tuyến là Δ: y = -x + 3 + 2√3. Suy ra
+ Vớixo=1-√3 thì phương trình tiếp tuyến là Δ: y = -x + 3 - 2√3 . Suy ra
Vậy khoảng cách lớn nhất là gần với giá trị 5 nhất trong các đáp án.
Chọn D.
(199k) Học Toán 12 KNTTHọc Toán 12 CDHọc Toán 12 CTST
Xem thêm các dạng bài tập Toán lớp 12 có trong đề thi Tốt nghiệp THPT khác:
- 275 bài tập trắc nghiệm Ứng dụng đạo hàm để khảo sát và vẽ đồ thị hàm số có lời giải (cơ bản - phần 1)
- 275 bài tập trắc nghiệm Ứng dụng đạo hàm để khảo sát và vẽ đồ thị hàm số có lời giải (cơ bản - phần 2)
- 275 bài tập trắc nghiệm Ứng dụng đạo hàm để khảo sát và vẽ đồ thị hàm số có lời giải (cơ bản - phần 3)
- 275 bài tập trắc nghiệm Ứng dụng đạo hàm để khảo sát và vẽ đồ thị hàm số có lời giải (cơ bản - phần 4)
- 275 bài tập trắc nghiệm Ứng dụng đạo hàm để khảo sát và vẽ đồ thị hàm số có lời giải (cơ bản - phần 5)
- 275 bài tập trắc nghiệm Ứng dụng đạo hàm để khảo sát và vẽ đồ thị hàm số có lời giải (cơ bản - phần 6)
- 275 bài tập trắc nghiệm Ứng dụng đạo hàm để khảo sát và vẽ đồ thị hàm số có lời giải (cơ bản - phần 7)
- 200 bài tập trắc nghiệm Ứng dụng đạo hàm để khảo sát và vẽ đồ thị hàm số có lời giải (nâng cao - phần 1)
- 200 bài tập trắc nghiệm Ứng dụng đạo hàm để khảo sát và vẽ đồ thị hàm số có lời giải (nâng cao - phần 2)
- 200 bài tập trắc nghiệm Ứng dụng đạo hàm để khảo sát và vẽ đồ thị hàm số có lời giải (nâng cao - phần 3)
- 200 bài tập trắc nghiệm Ứng dụng đạo hàm để khảo sát và vẽ đồ thị hàm số có lời giải (nâng cao - phần 5)
Đã có app VietJack trên điện thoại, giải bài tập SGK, SBT Soạn văn, Văn mẫu, Thi online, Bài giảng....miễn phí. Tải ngay ứng dụng trên Android và iOS.
Theo dõi chúng tôi miễn phí trên mạng xã hội facebook và youtube:Nếu thấy hay, hãy động viên và chia sẻ nhé! Các bình luận không phù hợp với nội quy bình luận trang web sẽ bị cấm bình luận vĩnh viễn.
- Giải Tiếng Anh 12 Global Success
- Giải sgk Tiếng Anh 12 Smart World
- Giải sgk Tiếng Anh 12 Friends Global
- Lớp 12 Kết nối tri thức
- Soạn văn 12 (hay nhất) - KNTT
- Soạn văn 12 (ngắn nhất) - KNTT
- Giải sgk Toán 12 - KNTT
- Giải sgk Vật Lí 12 - KNTT
- Giải sgk Hóa học 12 - KNTT
- Giải sgk Sinh học 12 - KNTT
- Giải sgk Lịch Sử 12 - KNTT
- Giải sgk Địa Lí 12 - KNTT
- Giải sgk Giáo dục KTPL 12 - KNTT
- Giải sgk Tin học 12 - KNTT
- Giải sgk Công nghệ 12 - KNTT
- Giải sgk Hoạt động trải nghiệm 12 - KNTT
- Giải sgk Giáo dục quốc phòng 12 - KNTT
- Giải sgk Âm nhạc 12 - KNTT
- Giải sgk Mĩ thuật 12 - KNTT
- Lớp 12 Chân trời sáng tạo
- Soạn văn 12 (hay nhất) - CTST
- Soạn văn 12 (ngắn nhất) - CTST
- Giải sgk Toán 12 - CTST
- Giải sgk Vật Lí 12 - CTST
- Giải sgk Hóa học 12 - CTST
- Giải sgk Sinh học 12 - CTST
- Giải sgk Lịch Sử 12 - CTST
- Giải sgk Địa Lí 12 - CTST
- Giải sgk Giáo dục KTPL 12 - CTST
- Giải sgk Tin học 12 - CTST
- Giải sgk Hoạt động trải nghiệm 12 - CTST
- Giải sgk Âm nhạc 12 - CTST
- Lớp 12 Cánh diều
- Soạn văn 12 Cánh diều (hay nhất)
- Soạn văn 12 Cánh diều (ngắn nhất)
- Giải sgk Toán 12 Cánh diều
- Giải sgk Vật Lí 12 - Cánh diều
- Giải sgk Hóa học 12 - Cánh diều
- Giải sgk Sinh học 12 - Cánh diều
- Giải sgk Lịch Sử 12 - Cánh diều
- Giải sgk Địa Lí 12 - Cánh diều
- Giải sgk Giáo dục KTPL 12 - Cánh diều
- Giải sgk Tin học 12 - Cánh diều
- Giải sgk Công nghệ 12 - Cánh diều
- Giải sgk Hoạt động trải nghiệm 12 - Cánh diều
- Giải sgk Giáo dục quốc phòng 12 - Cánh diều
- Giải sgk Âm nhạc 12 - Cánh diều


Giải bài tập SGK & SBT
Tài liệu giáo viên
Sách
Khóa học
Thi online
Hỏi đáp

