275 bài tập trắc nghiệm Ứng dụng đạo hàm để khảo sát và vẽ đồ thị hàm số có lời giải (cơ bản - phần 4)
Với 275 bài tập trắc nghiệm Ứng dụng đạo hàm để khảo sát và vẽ đồ thị hàm số có lời giải chi tiết sẽ giúp học sinh ôn tập, biết cách làm bài tập trắc nghiệm Ứng dụng đạo hàm để khảo sát và vẽ đồ thị hàm số.
275 bài tập trắc nghiệm Ứng dụng đạo hàm để khảo sát và vẽ đồ thị hàm số có lời giải (cơ bản - phần 4)
(199k) Học Toán 12 KNTTHọc Toán 12 CDHọc Toán 12 CTST
Câu 1: Cho đồ thị sau.
Hỏi hàm số nào sau đây có đồ thị ở hình trên?
A. y = x3 + 3x2 + 1.
B. y = -x3 – 3x2 + 1.
C. y = x3 – 3x2 + 1.
D. y= -x3 + 3x2 + 1.
Lời giải:
Chọn đáp án: D.
Giải thích:
Đồ thị có dạng của hàm số bậc ba với hệ số a < 0 nên loại A, C.
Đồ thị có hoành độ điểm cực đại dương nên chọn D.
Câu 2: Đường cong trong hình vẽ là đồ thị của hàm số nào dưới đây?
A. y = x4 – 2x2 + 2.
B. y = x3 – 3x2 + 2.
C. y = -x4 + 2x2 + 2.
D. Tất cả đều sai.
Lời giải:
Chọn đáp án: A.
Giải thích:
Vì đồ thị hàm số trên có 3 cực trị nên nó là đồ thị của hàm số bậc 4. Mà đồ thị hàm số có điểm cực đại nằm trên Oy nên đây là hàm trùng phương.
Đồ thị có 1 cực đại, 2 cực tiểu nên có hệ số a > 0. Ta chọn A.
Câu 3: Cho hàm số y = f(x) có đồ thị như hình vẽ sau, các khẳng định sau khẳng đinh nào là đúng?
A. Hàm số đạt cực tiểu tại A(-1; -1) và cực đại tại B(1; 3).
B. Hàm số có giá trị cực đại bằng 1.
C. Hàm số đạt giá trị nhỏ nhất bằng -1 và đạt giá trị lớn nhất bằng 3.
D. Đồ thị hàm số có điểm cực tiểu A(-1; -1) và điểm cực đại B(1; 3).
Lời giải:
Chọn đáp án: D.
Câu 4: Đồ thị dưới đây là của hàm số nào?
A. y = x3 – 3x2 + 1.
B. y = x3 + x2 + 1.
C. y = -x3 + 3x2 + 1.
D. y = x3 + x + 1.
Lời giải:
Chọn đáp án: D.
Giải thích:
Đồ thị hàm số bậc ba y = ax3 + bx2 + cx + d có nhánh ngoài cùng bên phải đi lên nên a > 0
Hàm số không có cực trị nên y’ ≥ 0, ∀x ∈ R.
Câu 5: Cho hàm số y = 3/(x+1) có đồ thị (C). Mệnh đề nào sau đây là mệnh đề sai?
A. Hàm số không có điểm cực trị.
B. Đồ thị (C) không có tiệm cận ngang.
C. Đồ thị (C) nhận I(-1; 0) làm tâm đối xứng.
D. Hàm số nghịch biến trên mỗi khoảng xác định.
Lời giải:
Chọn đáp án: B.
Giải thích:
Nên đồ thị hàm số có tiệm cận ngang y = 0
Câu 6: Bảng biến thiên trong hình vẽ dưới đây là bảng biến thiên của hàm số nào?
A. y = -x4 + 2x2 – 3.
B. y = x4 – 2x2 – 3.
C. y = -x4 + x2 – 3.
D. y = x4 + 2x2 – 3.
Lời giải:
Chọn đáp án: B.
Giải thích:
Dựa vào bảng biến thiên ta suy ra hệ số a < 0. Loại A và C.
Thay x = -1 vào hàm số y = x4 – 2x2 – 3 ta có y(-1) = (-1)4 – 2(-1)2 – 3 = -4. Vậy hàm số này thỏa mãn bảng biến thiên bên trên.
Câu 7: Tìm giá trị của tham số m để đồ thị hàm số y = x3 – 3x + 2m đi qua điểm A(-1;6)
A. m = 3. B. m = -3.
C. m = -2. D. m = 2.
Lời giải:
Chọn đáp án: D.
Giải thích:
Đồ thị hàm số y = x3 – 3x + 2m đi qua điểm A(-1;6) nên
-1 + 3 + 2m = 6 ⇔ m = 2
Câu 8: Cho hàm số
Khẳng định nào đúng?
A. Hàm số đã cho nghịch biến trên R.
B. Hàm số đã cho là hàm số lẻ.
C. Giá trị của hàm số đã cho luôn không dương.
D. Đồ thị hàm số đã cho có hai tiệm cận ngang.
Lời giải:
Chọn đáp án: A.
Giải thích:
y(-1) = 3(√2 – 1) ≠ - (√2+1)/3 = - y(1).
Vậy hàm số đã cho không phải hàm lẻ nên B sai.
y(1) = (√2+1)/3 nên khẳng định C sai.
Hàm số có một đường tiệm cận ngang. Vậy khẳng định D sai.
Khẳng định đúng là khẳng định A.
Lưu ý. Câu này, ta có thể tính trực tiếp đạo hàm như sau.
Câu 9: Hình bên là đồ thị của hàm số nào sau đây:
A. y = -x2 + 2x – 1.
B. y = -x4 – 2x2 – 1.
C. y = -x4 + x2 – 1.
D. y = -x4 + 2x2 – 1.
Lời giải:
Chọn đáp án: D.
Giải thích:
Dựa vào đồ thị ta thấy đây là đồ thị của hàm số bậc bốn có hệ số a < 0 nên loại đáp án A.
Mà y = -x4 + 2x2 – 1 => y’ = -4x3 + 4x
=> y’ = 0 ⇔
thỏa mãn các điểm nằm trên đồ thị.
Câu 10: Đường cong hình bên dưới là đồ thị hàm số nào trong 4 hàm số sau:
A. y = (3x-1)/(1-x).
B. y = (3x+1)/(1-2x).
C. y = (3x-1)/(-1-2x).
D. y = (3x-2)/(1-x).
Lời giải:
Chọn đáp án: B.
Giải thích:
Dựa vào hình vẽ ta thấy đồ thị hàm số cắt trục tung tại điểm có tung độ dương nên loại đáp án A và D.
Dựa vào hình vẽ ta thấy đồ thị hàm số cắt trục hoành tại điểm có hoành độ âm nên loại đáp án C.
Câu 11: Hàm số y = -x3 + 3x2 – 1 là đồ thị nào sau đây
A.
B.
C.
D.
Lời giải:
Chọn đáp án: A.
Giải thích:
Do hệ số a = -1 nên loại đáp án B
x = 0 => y = -1 nên ta chọn đáp án A.
Câu 12: Cho hàm số y = f(x) xác định, liên tục trên R và có bảng biến thiên
Khẳng định nào sau đây là khẳng định đúng:
A. Hàm số có đúng một cực trị.
B. Hàm số có giá trị cực tiểu bằng 2.
C. Hàm số có giá trị lớn nhất bằng 2 và giá trị nhỏ nhất bằng -3.
D. Hàm số đạt cực đại tại x = 0 và đạt cực tiểu tại x = 1.
Lời giải:
Chọn đáp án: D.
Giải thích: Hàm số đạt cực đại tại x = 0 và đạt cực tiểu tại x = 1.
Câu 13: Đường cong trong hình bên là đồ thị của một hàm số trong bốn hàm số được liệt kê ở bốn phương án A, B, C, D dưới đây. Hỏi hàm số đó là hàm số nào?
A. y = x4 – 2x2 – 1.
B. y = -x4 + 2x2 – 1.
C. y = x4 + 2x2 – 1.
D. y = x4/2 + x2 – 1
Lời giải:
Chọn đáp án: A.
Giải thích:
Đồ thị có a > 0, ab < 0, đồ thị đi qua (0; -1)
Hàm số y = x4 – 2x2 – 1 thỏa mãn.
Câu 14: Cho hàm số y = f(x) xác định, liên tục trên R và có bảng biến thiên:
Khẳng định nào sau đây là khẳng định đúng?
A. Hàm số có đúng một cực trị.
B. Hàm số có giá trị cực tiểu bằng 2.
C. Hàm số có giá trị lớn nhất bằng 2 và giá trị nhỏ nhất bằng -3.
D. Hàm số đạt cực đại tại x = 0 và đạt cực tiểu tại x = 1.
Lời giải:
Chọn đáp án: D.
Giải thích: Từ BBT ta nhận thấy chỉ có D đúng.
Câu 15: Cho hàm số y = f(x) xác định, liên tục trên R và có bảng biến thiên như sau:
Khẳnkhẳng định nào sau đây đúng?
A. Hàm số có giá trị nhỏ nhất bằng 0 và giá trị lớn nhất bằng 2.
B. Giá trị cực đại của hàm số bằng 5.
C. Hàm số có đúng một điểm cực trị.
D. Hàm số đạt cực tiểu tại x = 2 và x = 8.
Lời giải:
Chọn đáp án: D.
Câu 16: Cho hàm số y = f(x) xác định, liên tục trên R và có bảng biến thiên:
Mệnh đề nào dưới đây đúng?
A. Hàm số đồng biến trên khoảng (-∞;1).
B. Đồ thị hàm số không có tiệm cận ngang.
C. Hàm số đạt cực trị tại x = -2.
D. Hàm số có giá trị lớn nhất bằng 1.
Lời giải:
Chọn đáp án: A.
Câu 17: Đồ thị ở hình bên là đồ thị của hàm số nào trong bốn hàm số dưới đây?
A. y = (x+2)/(x-1).
B. y = (2-x)/(x+1).
C. y = (x-2)/(x+1).
D. y = (x-2)/(x-1).
Lời giải:
Chọn đáp án: C.
Giải thích:
Đồ thị có tiệm cận đứng x = -1 => loại A, D.
Đồ thị có tiệm cận ngang y = 1 => loại B.
Câu 18: Đường cong trong hình bên là đồ thị của một hàm số trong bốn hàm số được liệt kê ở bốn phương án A, B, C, D dưới đây. Hỏi hàm số đó là hàm số nào?
A. y = -x4 + 2x2.
B. y = x4 + 2x2.
C. y = -x4 – 2x2.
D. y = x4 – 2x2.
Lời giải:
Chọn đáp án: D.
Giải thích:
Đồ thị quay lên suy ra a > 0. Loại A, C.
Đồ thị có ba điểm cực trị, suy ra hệ số a, b của hàm trùng phương trái dấu. Loại B.
Câu 19: Đường cong hình bên là đồ thị của một hàm số nào trong bốn hàm số dưới đây.
A. y = x4 – 4x3 + 4x2.
B. y = x2 – 4x + 4.
C. y = -x4 + 4x3 – 4x2.
D. y = -x2 + 4x – 4.
Lời giải:
Chọn đáp án: A.
Giải thích:
Đồ thị đã cho là hàm trùng phương nên loại B và D
Ta thấy nhánh bên phải của đồ thị đi lên nên a > 0. Chọn A
Câu 20: Cho hàm số y = f(x) xác định và liên tục trên R và có bảng biến thiên.
Khẳng định sai?
A. Hàm số có giá trị lớn nhất bằng 4.
B. Hàm số đồng biến trên khoảng (0;2).
C. Hàm số đạt cực tiểu tại điểm x = 0.
D. Hàm số đạt cực đại tại điểm x = 2.
Lời giải:
Chọn đáp án: A.
Câu 21: Cho hàm số y = f(x) xác định, liên tục trên R và có đồ thị là đường cong trong hình vẽ bên. Khẳng định nào sau đây là khẳng định đúng?
A. Hàm số đồng biến trên khoảng (-1;0).
B. Hàm số đồng biến trên khoảng (-4;2).
C. Hàm số nghịch biến trên khoảng (-1;0) ∪ (2;3).
D. Hàm số nghịch biến trên khoảng (-4;1).
Lời giải:
Chọn đáp án: C.
Giải thích: Dựa vào hình vẽ
Câu 22: Hình bên là đồ thị của một trong bốn hàm số được cho trong các phương án A, B, C, D; hỏi đó là hàm nào?.
A. y = (2x+1)/(x-1).
B. y = (-2x+1)/(x+1).
C. y = (-2x+1)/(x-1).
D. y = (2x-1)/(x+1).
Lời giải:
Chọn đáp án: D.
Giải thích: Hai tiệm cận là x = -1; y = 2.
Câu 23: Đồ thị hình bên là của hàm số nào?. Chọn một khẳng định ĐÚNG.
A. y = x3 – 3x2 + 1.
B. y = -x3/3 + x2 + 1.
C. y = 2x3 – 6x2 + 1.
D. y = -x3 – 3x2 + 1.
Lời giải:
Chọn đáp án: A.
Giải thích:
y = x3 – 3x2 + 1
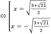
Ta có: y’ = 3x2 – 6x
y' = 0 ⇔
Ta có bảng biến thiên
Câu 24: Tìm a, b để hàm số y = (ax+b)/(x+1) có đồ thị như hình vẽ bên
A. a = -1, b = -2.
B. a = 1, b = -2.
C. a = -2, b = 1.
D. a = 2, b = 1.
Lời giải:
Chọn đáp án: C.
Giải thích:
=> y = a là tiệm cận ngang.
Dựa vào đồ thị hàm số có đường thẳng y= -2 là đường tiệm cận ngang nên a= -2
Mà đồ thị hàm số đi qua điểm (0; 1) nên b= 1
Câu 25: Cho hàm số y = f(x) liên tục trên R và có đồ thị như hình vẽ. Phát biểu nào sau đây là đúng?
A. Đồ thị hàm số có 2 điểm cực tiểu là (2;-1), (2;1) và 1 điểm cực đại là (0;1).
B. Đồ thị hàm số có 2 điểm cực đại là (-1;2), (1;2) và 1 điểm cực tiểu là (0;1).
C. Đồ thị hàm số có 1 điểm cực đại là (1;0) và 2 điểm cực tiểu là (-1;2), (1;2).
D. Đồ thị hàm số có 2 điểm cực đại là (2;-1), (2;1) và 1 điểm cực tiểu là (1;0).
Lời giải:
Chọn đáp án: B.
Giải thích: Nhìn vào đồ thị => Hàm số có 2 điểm cực đại và 1 điểm cực tiểu
Câu 26: Cho hàm số y = f(x) xác định, liên tục trên R và có bảng biến thiên.
Khẳng định nào sau đây là sai?
A. Hàm số đồng biến trên các khoảng (-1;0) và (1;+∞).
B. f(1) và f(-1) được gọi là giá trị cực tiểu của hàm số.
C. x0 = 1 được gọi là điểm cực tiểu của hàm số.
D. M(0;2) được gọi là điểm cực đại của hàm số.
Lời giải:
Chọn đáp án: D.
Giải thích:
* Hàm số đồng biến trên (-1;0) và (1;+∞) => A đúng.
* x = -1; x = 1 là các điểm cực tiểu của hàm số, f(-1); f(1) là các giá trị cực tiểu của hàm số => B,C đúng.
* M(0;2) được gọi là điểm cực tiểu của đồ thị hàm số => D sai.
Câu 27: Số giao điểm của trục hoành và đồ thị hàm số y = -x4 + 2x2 + 3 là:
A. 1. B. 3.
C. 2. D. 4.
Lời giải:
Chọn đáp án: C.
Giải thích:
Phương trình hoành độ giao điểm: -x4 + 2x2 + 3 = 0 ⇔ x = ±√3.
Vậy có hai giao điểm.
Câu 28: Tìm số giao điểm của đồ thị hàm số y = (x – 2)(x2 + x + 1) và trục hoành.
A. 1. B. 0.
C. 2. D. 3.
Lời giải:
Chọn đáp án: A.
Giải thích:
Ta có phương trình hoành độ giao điểm là
y = (x – 2)(x2 + x + 1) ⇔
⇔ x = 2 nên số giao điểm là 1.
Câu 29: Tìm số giao điểm của đồ thị (C): y = x3 + x – 2 và đường thẳng y = x – 1.
A. 2. B. 3.
C. 0. D. 1.
Lời giải:
Chọn đáp án: D.
Giải thích:
Phương trình hoành độ giao điểm: x3 + x – 2 = x – 1 ⇔ x3 = 1 ⇔ x = 1.
Vậy (C) và đường thẳng y = x – 1 chỉ có 1 giao điểm.
Câu 30: Tìm số giao điểm của đồ thị hàm số y = x4 – 2x2 và đồ thị hàm số y = x2 – 2.
A. 4. B. 2.
C. 3. D. 1.
Lời giải:
Chọn đáp án: A.
Giải thích:
Phương trình hoành độ giao điểm là
x4 – 2x2 = x2 – 2
⇔ x4 – 3x2 + 2 = 0
Vậy có 4 giao điểm của hai đồ thị.
Câu 31: Tìm số giao điểm của đồ thị hàm số y = x/(x+1) và đường thẳng y = -x.
A. 3. B. 1.
C. 2. D. 0.
Lời giải:
Chọn đáp án: C.
Giải thích:
Phương trình hoành độ giao điểm x/(x+1) = -x (DK: x ≠ -1)
⇔ x = -x2 – x
⇔ x2 + 2x = 0
Câu 32: Cho hàm số y = x4 – 2x2 – 1. Tìm số giao điểm của đồ thị hàm số với trục Ox:
A. 1. B. 3.
C. 4. D. 2.
Lời giải:
Chọn đáp án: D.
Giải thích:
Xét phương trình y = 0 ⇔ x4 – 2x2 – 1 = 0 (1)
Phương trình (1) có hai nghiệm => số giao điểm của đồ thị với trục Ox là 2
Câu 33: Cho hàm số y = x3 + x – 2 có đồ thị (C). Tìm tọa độ giao điểm của (C) và trục tung
A. (0;-2).
B. (1;0).
C. (-2;0).
D. (0;1).
Lời giải:
Chọn đáp án: A.
Giải thích:
Gọi M(x,y) là giao điểm của đồ thị (C) với trục tung.
Khi đó ta có x = 0 => y = -2.
Vậy M(0;-2).
Câu 34: Cho hàm số y = x4 – 4x2 – 2 có đồ thị (C) và đồ thị (P) : y = 1- x2. Số giao điểm của (P) và đồ thị (C) là
A. 2. B. 1.
C. 3. D. 4.
Lời giải:
Chọn đáp án: A.
Giải thích:
Phương trình hoành độ giao điểm:
x4 – 4x2 – 2 = 1 – x2 ⇔ x4 – 3x2 – 3 = 0
Câu 35: Tìm số giao điểm của đồ thị hàm số y = x4 – 2x2 và đồ thị hàm số y = x2 – 2.
A. 4 B. 2
C. 3 D. 1
Lời giải:
Chọn đáp án: A.
Giải thích:
Số giao điểm của 2 đồ thị là số nghiệm của phương trình hoành độ giao điểm
x4 – 2x2 = x2 – 2 ⇔ x4 – 3x2 + 2 = 0
Vậy có 4 giao điểm của 2 đồ thị đã cho.
Câu 36: Tọa độ giao điểm có hoành độ nhỏ hơn 1 của đường (C): y = (3x-1)/(x-1) và đường thẳng (d): y = x + 1 là:
A. A(0;-1).
B. A(0;1).
C. A(-1;2).
D. A(-2;7).
Lời giải:
Chọn đáp án: B.
Giải thích:
Hoành độ giao điểm của (C) và (d) là nghiệm của phương trình
(3x-1)/(x-1) = x + 1 (x ≠ 1)
⇔ 3x – 1 = x2 – 1 ⇔
(thỏa mãn điều kiện).
Hoành độ nhỏ hơn 1 nên ta chọn x = 0 => y = 1. Vậy tọa độ điểm cần tìm là A(0;1).
Câu 37: Đồ thị của hàm số y = -x3 + 3x2 + 2x – 1 và đồ thị của hàm số y = 3x2 – 2x – 1 có tất cả bao nhiêu điểm chung?
A. 1. B. 3.
C. 2. D. 0.
Lời giải:
Chọn đáp án: B.
Giải thích:
Số điểm chung là số nghiệm phân biệt của phương trình hoành độ giao điểm:
-x3 + 3x2 + 2x – 1 = 3x2 – 2x – 1 => x3 – 4x = 0 => x = 0; x = ±2
Phương trình có 3 nghiệm phân biệt nên số điểm chung là 3.
(199k) Học Toán 12 KNTTHọc Toán 12 CDHọc Toán 12 CTST
Xem thêm các dạng bài tập Toán lớp 12 có trong đề thi Tốt nghiệp THPT khác:
- 275 bài tập trắc nghiệm Ứng dụng đạo hàm để khảo sát và vẽ đồ thị hàm số có lời giải (cơ bản - phần 1)
- 275 bài tập trắc nghiệm Ứng dụng đạo hàm để khảo sát và vẽ đồ thị hàm số có lời giải (cơ bản - phần 2)
- 275 bài tập trắc nghiệm Ứng dụng đạo hàm để khảo sát và vẽ đồ thị hàm số có lời giải (cơ bản - phần 3)
- 275 bài tập trắc nghiệm Ứng dụng đạo hàm để khảo sát và vẽ đồ thị hàm số có lời giải (cơ bản - phần 5)
- 275 bài tập trắc nghiệm Ứng dụng đạo hàm để khảo sát và vẽ đồ thị hàm số có lời giải (cơ bản - phần 6)
- 275 bài tập trắc nghiệm Ứng dụng đạo hàm để khảo sát và vẽ đồ thị hàm số có lời giải (cơ bản - phần 7)
- 200 bài tập trắc nghiệm Ứng dụng đạo hàm để khảo sát và vẽ đồ thị hàm số có lời giải (nâng cao - phần 1)
- 200 bài tập trắc nghiệm Ứng dụng đạo hàm để khảo sát và vẽ đồ thị hàm số có lời giải (nâng cao - phần 2)
- 200 bài tập trắc nghiệm Ứng dụng đạo hàm để khảo sát và vẽ đồ thị hàm số có lời giải (nâng cao - phần 3)
- 200 bài tập trắc nghiệm Ứng dụng đạo hàm để khảo sát và vẽ đồ thị hàm số có lời giải (nâng cao - phần 4)
- 200 bài tập trắc nghiệm Ứng dụng đạo hàm để khảo sát và vẽ đồ thị hàm số có lời giải (nâng cao - phần 5)
Đã có app VietJack trên điện thoại, giải bài tập SGK, SBT Soạn văn, Văn mẫu, Thi online, Bài giảng....miễn phí. Tải ngay ứng dụng trên Android và iOS.
Theo dõi chúng tôi miễn phí trên mạng xã hội facebook và youtube:Nếu thấy hay, hãy động viên và chia sẻ nhé! Các bình luận không phù hợp với nội quy bình luận trang web sẽ bị cấm bình luận vĩnh viễn.
- Giải Tiếng Anh 12 Global Success
- Giải sgk Tiếng Anh 12 Smart World
- Giải sgk Tiếng Anh 12 Friends Global
- Lớp 12 Kết nối tri thức
- Soạn văn 12 (hay nhất) - KNTT
- Soạn văn 12 (ngắn nhất) - KNTT
- Giải sgk Toán 12 - KNTT
- Giải sgk Vật Lí 12 - KNTT
- Giải sgk Hóa học 12 - KNTT
- Giải sgk Sinh học 12 - KNTT
- Giải sgk Lịch Sử 12 - KNTT
- Giải sgk Địa Lí 12 - KNTT
- Giải sgk Giáo dục KTPL 12 - KNTT
- Giải sgk Tin học 12 - KNTT
- Giải sgk Công nghệ 12 - KNTT
- Giải sgk Hoạt động trải nghiệm 12 - KNTT
- Giải sgk Giáo dục quốc phòng 12 - KNTT
- Giải sgk Âm nhạc 12 - KNTT
- Giải sgk Mĩ thuật 12 - KNTT
- Lớp 12 Chân trời sáng tạo
- Soạn văn 12 (hay nhất) - CTST
- Soạn văn 12 (ngắn nhất) - CTST
- Giải sgk Toán 12 - CTST
- Giải sgk Vật Lí 12 - CTST
- Giải sgk Hóa học 12 - CTST
- Giải sgk Sinh học 12 - CTST
- Giải sgk Lịch Sử 12 - CTST
- Giải sgk Địa Lí 12 - CTST
- Giải sgk Giáo dục KTPL 12 - CTST
- Giải sgk Tin học 12 - CTST
- Giải sgk Hoạt động trải nghiệm 12 - CTST
- Giải sgk Âm nhạc 12 - CTST
- Lớp 12 Cánh diều
- Soạn văn 12 Cánh diều (hay nhất)
- Soạn văn 12 Cánh diều (ngắn nhất)
- Giải sgk Toán 12 Cánh diều
- Giải sgk Vật Lí 12 - Cánh diều
- Giải sgk Hóa học 12 - Cánh diều
- Giải sgk Sinh học 12 - Cánh diều
- Giải sgk Lịch Sử 12 - Cánh diều
- Giải sgk Địa Lí 12 - Cánh diều
- Giải sgk Giáo dục KTPL 12 - Cánh diều
- Giải sgk Tin học 12 - Cánh diều
- Giải sgk Công nghệ 12 - Cánh diều
- Giải sgk Hoạt động trải nghiệm 12 - Cánh diều
- Giải sgk Giáo dục quốc phòng 12 - Cánh diều
- Giải sgk Âm nhạc 12 - Cánh diều


Giải bài tập SGK & SBT
Tài liệu giáo viên
Sách
Khóa học
Thi online
Hỏi đáp

