275 bài tập trắc nghiệm Ứng dụng đạo hàm để khảo sát và vẽ đồ thị hàm số có lời giải (cơ bản - phần 2)
Với 275 bài tập trắc nghiệm Ứng dụng đạo hàm để khảo sát và vẽ đồ thị hàm số có lời giải chi tiết sẽ giúp học sinh ôn tập, biết cách làm bài tập trắc nghiệm Ứng dụng đạo hàm để khảo sát và vẽ đồ thị hàm số.
275 bài tập trắc nghiệm Ứng dụng đạo hàm để khảo sát và vẽ đồ thị hàm số có lời giải (cơ bản - phần 2)
(199k) Học Toán 12 KNTTHọc Toán 12 CDHọc Toán 12 CTST
Câu 1: Hàm số y = f(x) liên tục trên R và có bảng biến thiên dưới đây. Khẳng định nào sau đây là đúng?
A. Hàm số có ba điểm cực trị.
B. Hàm số đạt cực đại tại x = 0.
C. Hàm số đạt cực tiểu tại x = -1.
D. Hàm số đạt cực đại tại x = 2.
Lời giải:
Chọn đáp án: C.
Câu 2: Cho hàm số y = f(x) có bảng biến thiên như hình vẽ. Khẳng định nào sau đây là khẳng định sai?
A. Hàm số nghịch biến trên R
B. Hàm số đạt cực tiểu tại x = 1
C. Hàm số không có cực trị.
D.
Lời giải:
Chọn đáp án: B.
Giải thích:
Từ bảng biến thiên của hàm số ta thấy hàm số nghịch biến trên R, hàm số không có cực trị và
Vậy khẳng định sai là “Hàm số đạt cực tiểu tại x = 1”
Câu 3: Hàm số y = 1/3x3 + x2 - 2/3 có
A. Điểm cực đại tại x = -2, điểm cực tiểu tại x = 0.
B. Điểm cực tiểu tại x = -2, điểm cực đại tại x = 0.
C. Điểm cực đại tại x = -3, điểm cực tiểu tại x = 0.
D. Điểm cực đại tại x = -2, điểm cực tiểu tại x = 2.
Lời giải:
Chọn đáp án: A.
Giải thích:
y' = x2 + 2x
y’ = 0 ⇔
Do a > 0 nên hàm số đạt cực đại tại x = -2, đạt cực tiểu tại x = 0.
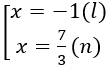
Câu 4: Đồ thị hàm số y = x3 – 3x2 – 9x – 5 có điểm cực tiểu là:
A. (3; 32).
B. (-1; 0).
C. x = -1.
D. x = 3.
Lời giải:
Chọn đáp án: A.
Giải thích:
Ta có: D = R và y’ = 3x2 – 6x – 9, y’’ = 6x – 6.
Do đó y’ = 0 ⇔ x = -1 ∨ x = 3.
Do y’’(-1) = -12 < 0 và y’’(3) = 12 > 0 nên hàm số đạt cực tiểu tại x = 3.
Đồ thị hàm số y = x3 – 3x2 – 9x – 5 có điểm cực tiểu là (3; 32)
Câu 5: Hàm số y = 2x4 – 8x3 + 15:
A. Nhận điểm x = 3 làm điểm cực đại.
B. Nhận điểm x = 0 làm điểm cực đại.
C. Nhận điểm x = 3 làm điểm cực tiểu.
D. Nhận điểm x = 3 làm điểm cực tiểu.
Lời giải:
Chọn đáp án: C.
Giải thích:
Ta có D = R và y’ = 8x3 – 24x2, y’ = 0 ⇔ x = 0 ∨ x = 3.
BBT
Vậy hàm số nhận điểm x = 3 làm điểm cực tiểu.
Câu 6: Hàm số y = -x4 – 2x2 + 3 có bao nhiêu điểm cực trị?
A. 1. B. 0.
C. 3. D. 2.
Lời giải:
Chọn đáp án: A.
Giải thích:
y’ = -4x3 – 4x
y’ = 0 ⇔ x = 0.
Bảng biến thiên
Câu 7: Biết hàm số y = x3 – 3x + 1 có hai điểm cực trị x1; x2. Tính tổng x12 + x22.
A. x12 + x22 = 0
B. x12 + x22 = 9
C. x12 + x22 = 2
D. x12 + x22
Lời giải:
Chọn đáp án: C.
Giải thích:
Tập xác định: R
y = x3 – 3x + 1 => y’ = 3x2 – 3 ⇔ x = ± 1. Vậy hai điểm cực trị thỏa mãn: x12 + x22 = 2
Câu 8: Hàm số y = x4 – 4x2 – 5
A. Nhận điểm x = 3 làm điểm cực đại.
B. Nhận điểm x = 0 làm điểm cực đại.
C. Nhận điểm x = 3 làm điểm cực tiểu.
D. Nhận điểm x = 0 làm điểm cực tiểu.
Lời giải:
Chọn đáp án: B.
Giải thích:
Ta có: y’ = 4x3 – 8x
y' = 0 ⇔
y’’ = 12x2 – 8
y’’(0) = -8 < 0
Suy ra x = 0 là điểm cực đại.
Câu 9: Hàm số nào trong bốn hàm số được liệt kê ở bốn phướng án A, B, C, D dưới đây, không có cực trị?
A. y = x3 + 3x2 – 4x + 1.
B. y = -x4 – 4x2 + 3.
C. y = x3 – 3x + 5.
D. y = (x+4)/(x-1).
Lời giải:
Chọn đáp án: D.
Giải thích:
Hàm số y = (x+4)/(x-1) có y’ = (-5)/(x-1)2 < 0 ∀x ≠ 1
Suy ra hàm số nghịch biến trên các khoảng xác định của nó do đó đồ thị hàm số không có cực trị
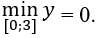
Câu 10: Cho hàm số y = f(x) xác định, liên tục trên đoạn [ - 2;3] và có đồ thị là đường cong trong hình vẽ bên. Tìm số điểm cực đại của hàm số y = f(x) trên đoạn [ - 2; 3]
A. 1. B. 0.
C. 2. D. 3.
Lời giải:
Chọn đáp án: C.
Giải thích: Quan sát đồ thị hàm số, ta thấy có hai điểm cực đại thuộc đoạn [- 2; 3]
Câu 11: Trong các hàm số sau, hàm số nào có hai điểm cực đại và một điểm cực tiểu?
A. y = x4 – x2 + 3.
B. y = -x4 – x2 + 3.
C. y = -x4 + x2 + 3.
D. y = x4 + x2 + 3.
Lời giải:
Chọn đáp án: C.
Giải thích:
Hàm số bậc 4 có hai điểm cực đại và một điểm cực tiểu ⇔
=> đáp án C.
Câu 12: Hàm số y = x3 – 3x2 – 1 đạt cực đại tại?
A. x = 0.
B. x = 2.
C. x = -2.
D. Không có cực trị.
Lời giải:
Chọn đáp án: A.
Giải thích:
Tập xác định D = R.
y' = 3x2 – 6x
y’ = 0 ⇔ x = 0 hoặc x = 2.
Bảng biến thiên:
Hàm số đạt cực đại tại x = 0.
Câu 13: Cho hàm số y = 1/4x4 – 2x2 + 2. Kết luận nào sau đây sai?
A. Nghịch biến (-2; 2).
B. Đồng biến (2; +∞)
C. xCT = ± 2.
D. yCT = -2.
Lời giải:
Chọn đáp án: A.
Giải thích:
Tập xác định D = R.
y' = x3 – 4x
y’ = 0 ⇔ x3 – 4x = 0 ⇔ x = 0 hoặc x = -2 hoặc x = 2.
Bảng biến thiên:
Hàm số đồng biến trên các khoảng (-2; 0) và (2; +∞) nên đáp án A sai
Câu 14: Hàm số nào sau đây có 2 cực đại?
A. y = -1/2x4 + 2x2 – 3.
B. y = -x4 – 2x2 + 3.
C. y = 1/4x4 – 2x2 – 3.
D. y = 2x4 + 2x2 – 3.
Lời giải:
Chọn đáp án: A.
Giải thích: Hàm số bậc 4 trùng phương y = ax4 + bx2 + x có hai cực đại khi a < 0, b > 0.
Câu 15: Cho hàm số y = f(x) xác định, liên tục trên R và có bảng biến thiên.
Khẳng định nào sau đây là sai?
A. M(0; 2) được gọi là điểm cực đại của hàm số.
B. f(-1) được gọi là giá trị cực tiểu của hàm số.
C. x0 = 1 được gọi là điểm cực tiểu của hàm số.
D. Hàm số đồng biến trên các khoảng (-1; 0) và (1; +∞).
Lời giải:
Chọn đáp án: A.
Giải thích: Điểm M(0; 2) được gọi là điểm cực đại của đồ thị hàm số.
Câu 16: Cho hàm số y = f(x) có đồ thị là hình vẽ bên. Trong các khẳng định sau, khẳng định nào sai?
A. Hàm số nghịch biến trên các khoảng (-∞; -1) và (0; 1).
B. Tọa độ điểm cực đại của đồ thị hàm số là (-1; 0).
C. Hàm số đạt cực tiểu tại các điểm x = 1 và x = -1.
D. Hàm số có ba điểm cực trị.
Lời giải:
Chọn đáp án: B.
Giải thích: Hàm số có ba điểm cực trị, đạt cực tiểu tại các điểm x = 1 và x = -1 và hàm số nghịch biến trên các khoảng (-∞; -1) và (0; 1). Hàm số đạt cực đại tại điểm có hoành độ x = 0.
Câu 17: Hàm số nào sau đây có xCĐ ⇔ xCT:
A. y = x3 + 3x – 1.
B. y = x3 – 3x2 + 2x – 1
C. y = -x3 + 3x2 + 2.
D. y = x4 + x2 – 1
Lời giải:
Chọn đáp án: B.
Giải thích:
Hàm số có xCĐ ⇔ xCT nếu là hàm số bậc ba thì phải có hệ số a > 0 nên ta loại C.
Ta loại đáp án A vì hàm số y = x3 + 3x – 1 không có cực trị (y’ = 3x2 + 3 > 0, ∀x ∈ R).
Loại đáp án D vì hs y = x4 + x2 – 1 chỉ có 1 cực trị.
Vậy ta chọn đáp án B.
Câu 18: Khẳng định nào sau đây đúng khi nói về hàm số y = x4 + 4x2 – 2?
A. Đạt cực tiểu tại x = 0.
B. Có cực đại và cực tiểu.
C. Có cực đại và không có cực tiểu.
D. Không có cực trị.
Lời giải:
Chọn đáp án: A.
Giải thích:
Tập xác định: D = R
Ta có: y’ = 4x3 + 8x => y’ = 0 ⇔ x = 0
Vì y = x4 + 4x2 – 2 là hàm số trùng phương có hệ số a = 1 > 0 và y’ = 0 có một nghiệm x = 0 nên hàm số đạt cực tiểu tại x = 0
Câu 19: Cho hàm số y = f(x) có đồ thị là đường cong trong hình vẽ bên. Hàm số f(x) đạt cực tiểu tại điểm nào dưới đây?
A. x = 1.
B. x = -1.
C. x = 2.
D. x = 0.
Lời giải:
Chọn đáp án: D.
Giải thích: Hàm số f(x) đạt cực tiểu tại điểm x = 0.
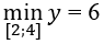
Câu 20: Kí hiệu m, M lần lượt là giá trị nhỏ nhất và giá trị lớn nhất của hàm số y = (x+3)/(2x-1) trên đoạn [1;4]. Tính giá trị biểu thức d = M – m.
A. d = 3
B. d = 4
C. d = 5
D. d = 2
Lời giải:
Chọn đáp án: A.
Giải thích:
y’ = (-7)/(2x-1)2 < 0 ∀x ≠ 1/2. Suy ra hàm nghịch biến trên từng khoảng xác định, do đó hàm số nghịch biến trên đoạn [1; 4].
Vậy m = y(4) = 1; M = y(1) = 4
=> d = M – m = 4 – 1 = 3
Câu 21: Hàm số y = (x2-3x)/(x+1) có giá trị lớn nhất trên đoạn [0;3] là:
A. 1. B. 3.
C. 2. D. 0.
Lời giải:
Chọn đáp án: D.
Giải thích:
Xét hàm số y = (x2-3x)/(x+1)
Ta có: y’ = (x2+2x-3)/(x+1)2 , y’ = 0 ⇔ (x2+2x-3)/(x+1)2 = 0 ⇔
y(0) = 0, y(3) = 0, y(1) = -1
Vậy:
Câu 22: Tìm giá trị nhỏ nhất của hàm số y = (x2+3)/(x-1) trên đoạn [2 ;4]
A.
B.
C.
D.
Lời giải:
Chọn đáp án: A.
Giải thích:
Ta có:
f(2) = 7; f(3) = 6; f(4) = 19/3
Vậy:
Câu 23: Trên đoạn [-1; 1], hàm số y = -4/3x3 – 2x2 – x – 3
A. Có giá trị nhỏ nhất tại x = -1 và giá trị lớn nhất tại x = 1.
B. Có giá trị nhỏ nhất tại x = 1 và giá trị lớn nhất tại x = -1.
C. Có giá trị nhỏ nhất tại x = -1 và không có giá trị lớn nhất.
D. Không có giá trị nhỏ nhất và có giá trị lớn nhất tại x = 1.
Lời giải:
Chọn đáp án: B.
Giải thích:
Hàm số liên tục trên [-1; 1]
Ta có y’ = -4x2 – 4x – 1
y' = 0 ⇔ -4x2 – 4x – 1 = 0 ⇔ x = -1/2
Vậy y(1) = -22/3, y(-1) = -8/3, y(-1/2) = -17/6
Câu 24: Tìm giá trị lớn nhất của hàm số y = (3x-1)/(x-3) trên đoạn [0; 2]
A. -1/3.
B. -5.
C. 5.
D. 1/3.
Lời giải:
Chọn đáp án: D.
Giải thích:
y' = (-8)/(x-3)2 < 0, ∀x ≠ 3
Câu 25: Tìm giá trị lớn nhất của hàm số y = (3x-1)/(x-3) trên đoạn [0;2]
A. 1/3
B. -5
C. 5
D. -1/3
Lời giải:
Chọn đáp án: A.
Giải thích:
y(0) = 1/3, y(2) = -5
Giá trị lớn nhất của hàm số là y = 1/3
Câu 26: Tìm M và m lần lượt là giá trị lớn nhất và giá trị nhỏ nhất của hàm số y = x3 – 3x2 – 9x + 35 trên đoạn [-4;4] là:
A. M = 40; m = -41.
B. M = 40; m = -8.
C. M = -41; m = 40.
D. M = 15; m = -8.
Lời giải:
Chọn đáp án: A.
Giải thích:
Hàm số liên tục trên đoạn [-4;4]
y' = 3x2 – 6x – 9, y’ = 0 => x2 – 2x – 3 = 0 =>
Ta có y(-4) = -41; y(4) = 15; y(-1) = 40; y(3) = 8
Vậy M =
= 40 và m =
= -41.
Câu 27: Hàm số y = x3 – 2x2 – 7x + 5 có giá trị nhỏ nhất là m và giá trị lớn nhất là M trên đoạn [1;3]. Khi đó tổng m + M bằng
A. -338/27.
B. -446/27.
C. -10.
D. -14/27.
Lời giải:
Chọn đáp án: A.
Giải thích:
y = x3 – 2x2 – 7x + 5
Hàm số xác định và liên tục trên đoạn [1;3].
y' = 3x2 – 4x – 7
y’ = 0 ⇔
y(1) = -3; y(3) = -7; y(7/3) = (-257)/27 => m = (-257)/27; M = -3 => m + M = -338/27
Câu 28: Tìm giá trị nhỏ nhất của hàm số y = (x2-4x)/(2x+1) trên đoạn [0;3]
A.
B.
C.
D.
Lời giải:
Chọn đáp án: D.
Giải thích:
y’ = (2x2+2x-4)/(2x+1)2 ; y’ = 0 ⇔ (2x2+2x-4)/(2x+1)2 = 0 ⇔
y(0) = 0 ; y(1) = -1 ; y(3) = (-3)/7
Câu 29: Giá trị lớn nhất của hàm số y = x3 – 3x + 1 trên [0; 1] là:
A. -1. B. 0.
C. 2. D. 1.
Lời giải:
Chọn đáp án: D.
Giải thích:
Tập xác định: D = R
y' = 3x2 – 3 => y’ = 0 ⇔
y(0) = 1, y(1) = -1
Hàm số
= y(0) = 1
Câu 30: Tìm giá trị nhỏ nhất của hàm số y = √(5x2+4) trên đoạn [-3;1].
A.
B.
C.
D.
Lời giải:
Chọn đáp án: C.
Giải thích:
Cách 1: y = √(5x2+4)
Hàm số xác định và liên tục trên đoạn [-3;1].
y’ = 0 ⇔ x = 0 ∈ [-3;1].
Ta có: y(-3) = 7, y(0) = 2, y(1) = 3
Vậy
Cách 2: Sử dụng tabe
w7s5Q)d+4==p3=1=0.5=
Câu 31: Giá trị nhỏ nhất và giá trị lớn nhất của hàm số y = -3 + √(4-x2 ) lần lượt là
A. -3 và 0.
B. -3 và -1.
C. 0 và 2.
D. -2 và 2.
Lời giải:
Chọn đáp án: B.
Giải thích:
Điều kiện -2 ≤ x ≤ 2
y = -3 + √(4-x2 ) => y’ = (-x)/√(4-x2 ) = 0 ⇔ x = 0
f(0) = -1, f(2) = f(-2) = -3
Câu 32: Kết luận nào là đúng về giá trị lớn nhất và giá trị nhỏ nhất của hàm số y = √(x-x2 )?
A. Có giá trị lớn nhất và có giá trị nhỏ nhất.
B. Có giá trị nhỏ nhất và không có giá trị lớn nhất.
C. Có giá trị lớn nhất và không có giá trị nhỏ nhất.
D. Không có giá trị lớn nhất và giá trị nhỏ nhất.
Lời giải:
Chọn đáp án: A.
Giải thích:
Tập xác định D = [0; 1].
Hàm số đã cho liên tục trên [0; 1] nên luôn có giá trị lớn nhất và giá trị nhỏ nhất trên [0; 1].
Câu 33: Cho hàm số y = f(x) có
và
. Khẳng định nào sau đây là khẳng định đúng?
A. Đồ thị hàm số đã cho có đúng một tiệm cận ngang.
B. Đồ thị hàm số đã cho có hai tiệm cận ngang là các đường thẳng x = 3 và x = -3.
C. Đồ thị hàm số đã cho có hai tiệm cận ngang là các đường thẳng y = 3 và y = -3
D. Đồ thị hàm số đã cho không có tiệm cận ngang.
Lời giải:
Chọn đáp án: C.
Giải thích:
Ta có: có
và
=> y = 3, y = -3 là hai tiệm cận ngang.
Câu 34: Tìm phương trình đường tiệm cận đứng của đồ thị hàm số y = (x-1)/(x+2).
A. x = -2.
B. x = 1.
C. y = 1.
D. x = 2.
Lời giải:
Chọn đáp án: A.
Giải thích: Ta có: x = -2 là TCĐ.
Câu 35: Đường tiệm cận ngang của hàm số y = (x-3)/(2x+1) là
A. x = 1/2.
B. x = -1/2.
C. y = -1/2.
D. y = 1/2.
Lời giải:
Chọn đáp án: D.
Giải thích: Ta có:
nên TCN là y = 1/2.
Câu 36: Cho hàm số y = (2x-1)/(x+1). Khẳng định nào sau đây đúng?
A. Đồ thị có tiệm cận đứng x = -1.
B. Đồ thị có tiệm cận ngang y = 1
C. Đồ thị có tiệm cận đứng x = 1.
D. Đồ thị có tiệm cận ngang y = 3
Lời giải:
Chọn đáp án: A.
Giải thích: Ta có:
nên đường thẳng x = -1 là tiệm cận đứng của đồ thị.
Câu 37: Đồ thị hàm số y = (1-2x)/(x-1) có tiệm cận đứng là đường thẳng nào sau đây?
A. x = -2.
B. y = -2.
C. y = 1.
D. x = 1.
Lời giải:
Chọn đáp án: D.
Giải thích: Ta có
nên đồ thị hàm số có tiệm cận đứng là x = 1.
Câu 38: Tìm tiệm cận đứng của đồ thị hàm số y = (2x+1)/(x+1)
A. x = 1
B. y = 2
C. x = -1
D. x = -2
Lời giải:
Chọn đáp án: C.
Giải thích: Vì:
và
Câu 39: Đường thẳng nào dưới đây là tiệm cận ngang của đồ thị hàm số y = (2x+3)/(x+1)?
A. y = 2
B. y = -1
C. x = 1
D. x = -1
Lời giải:
Chọn đáp án: A.
Giải thích: Vì
nên đồ thị hàm số có tiệm cận ngang là y = 2.
Câu 40: Cho hàm số y = f(x) có
và
. Khẳng định nào sau đây là khẳng định đúng?
A. Đồ thị hàm số đã cho không có tiệm cận đứng.
B. Trục hoành và trục tung là hai tiệm cận của đồ thị hàm số đã cho.
C. Đồ thị hàm số đã cho có một tiệm cận đứng là đường thẳng y = 0.
D. Hàm số đã cho có tập xác định là D = (0; +∞).
Lời giải:
Chọn đáp án: B.
Giải thích:
Vì
=> TCN y = 0 => TCN là trục hoành
Vì
=> TCĐ x = 0 => TCĐ là trục tung
(199k) Học Toán 12 KNTTHọc Toán 12 CDHọc Toán 12 CTST
Xem thêm các dạng bài tập Toán lớp 12 có trong đề thi Tốt nghiệp THPT khác:
- 275 bài tập trắc nghiệm Ứng dụng đạo hàm để khảo sát và vẽ đồ thị hàm số có lời giải (cơ bản - phần 1)
- 275 bài tập trắc nghiệm Ứng dụng đạo hàm để khảo sát và vẽ đồ thị hàm số có lời giải (cơ bản - phần 3)
- 275 bài tập trắc nghiệm Ứng dụng đạo hàm để khảo sát và vẽ đồ thị hàm số có lời giải (cơ bản - phần 4)
- 275 bài tập trắc nghiệm Ứng dụng đạo hàm để khảo sát và vẽ đồ thị hàm số có lời giải (cơ bản - phần 5)
- 275 bài tập trắc nghiệm Ứng dụng đạo hàm để khảo sát và vẽ đồ thị hàm số có lời giải (cơ bản - phần 6)
- 275 bài tập trắc nghiệm Ứng dụng đạo hàm để khảo sát và vẽ đồ thị hàm số có lời giải (cơ bản - phần 7)
- 200 bài tập trắc nghiệm Ứng dụng đạo hàm để khảo sát và vẽ đồ thị hàm số có lời giải (nâng cao - phần 1)
- 200 bài tập trắc nghiệm Ứng dụng đạo hàm để khảo sát và vẽ đồ thị hàm số có lời giải (nâng cao - phần 2)
- 200 bài tập trắc nghiệm Ứng dụng đạo hàm để khảo sát và vẽ đồ thị hàm số có lời giải (nâng cao - phần 3)
- 200 bài tập trắc nghiệm Ứng dụng đạo hàm để khảo sát và vẽ đồ thị hàm số có lời giải (nâng cao - phần 4)
- 200 bài tập trắc nghiệm Ứng dụng đạo hàm để khảo sát và vẽ đồ thị hàm số có lời giải (nâng cao - phần 5)
Đã có app VietJack trên điện thoại, giải bài tập SGK, SBT Soạn văn, Văn mẫu, Thi online, Bài giảng....miễn phí. Tải ngay ứng dụng trên Android và iOS.
Theo dõi chúng tôi miễn phí trên mạng xã hội facebook và youtube:Nếu thấy hay, hãy động viên và chia sẻ nhé! Các bình luận không phù hợp với nội quy bình luận trang web sẽ bị cấm bình luận vĩnh viễn.
- Giải Tiếng Anh 12 Global Success
- Giải sgk Tiếng Anh 12 Smart World
- Giải sgk Tiếng Anh 12 Friends Global
- Lớp 12 Kết nối tri thức
- Soạn văn 12 (hay nhất) - KNTT
- Soạn văn 12 (ngắn nhất) - KNTT
- Giải sgk Toán 12 - KNTT
- Giải sgk Vật Lí 12 - KNTT
- Giải sgk Hóa học 12 - KNTT
- Giải sgk Sinh học 12 - KNTT
- Giải sgk Lịch Sử 12 - KNTT
- Giải sgk Địa Lí 12 - KNTT
- Giải sgk Giáo dục KTPL 12 - KNTT
- Giải sgk Tin học 12 - KNTT
- Giải sgk Công nghệ 12 - KNTT
- Giải sgk Hoạt động trải nghiệm 12 - KNTT
- Giải sgk Giáo dục quốc phòng 12 - KNTT
- Giải sgk Âm nhạc 12 - KNTT
- Giải sgk Mĩ thuật 12 - KNTT
- Lớp 12 Chân trời sáng tạo
- Soạn văn 12 (hay nhất) - CTST
- Soạn văn 12 (ngắn nhất) - CTST
- Giải sgk Toán 12 - CTST
- Giải sgk Vật Lí 12 - CTST
- Giải sgk Hóa học 12 - CTST
- Giải sgk Sinh học 12 - CTST
- Giải sgk Lịch Sử 12 - CTST
- Giải sgk Địa Lí 12 - CTST
- Giải sgk Giáo dục KTPL 12 - CTST
- Giải sgk Tin học 12 - CTST
- Giải sgk Hoạt động trải nghiệm 12 - CTST
- Giải sgk Âm nhạc 12 - CTST
- Lớp 12 Cánh diều
- Soạn văn 12 Cánh diều (hay nhất)
- Soạn văn 12 Cánh diều (ngắn nhất)
- Giải sgk Toán 12 Cánh diều
- Giải sgk Vật Lí 12 - Cánh diều
- Giải sgk Hóa học 12 - Cánh diều
- Giải sgk Sinh học 12 - Cánh diều
- Giải sgk Lịch Sử 12 - Cánh diều
- Giải sgk Địa Lí 12 - Cánh diều
- Giải sgk Giáo dục KTPL 12 - Cánh diều
- Giải sgk Tin học 12 - Cánh diều
- Giải sgk Công nghệ 12 - Cánh diều
- Giải sgk Hoạt động trải nghiệm 12 - Cánh diều
- Giải sgk Giáo dục quốc phòng 12 - Cánh diều
- Giải sgk Âm nhạc 12 - Cánh diều


Giải bài tập SGK & SBT
Tài liệu giáo viên
Sách
Khóa học
Thi online
Hỏi đáp

