275 bài tập trắc nghiệm Ứng dụng đạo hàm để khảo sát và vẽ đồ thị hàm số có lời giải (cơ bản - phần 3)
Với 275 bài tập trắc nghiệm Ứng dụng đạo hàm để khảo sát và vẽ đồ thị hàm số có lời giải chi tiết sẽ giúp học sinh ôn tập, biết cách làm bài tập trắc nghiệm Ứng dụng đạo hàm để khảo sát và vẽ đồ thị hàm số.
275 bài tập trắc nghiệm Ứng dụng đạo hàm để khảo sát và vẽ đồ thị hàm số có lời giải (cơ bản - phần 3)
(199k) Học Toán 12 KNTTHọc Toán 12 CDHọc Toán 12 CTST
Câu 1: Đường thẳng nào sau đây lần lượt là đường tiệm cận đứng, tiệm cận ngang của đồ thị hàm số y = (2x+1)/(x+2)?
A. x = -2, y = 1/2
B. x = 2, y = -2
C. x = 2, y = 2.
D. x = -2, y = 2.
Lời giải:
Chọn đáp án: D.
Giải thích: Hàm y = (2x+1)/(x+2) có tiệm cận đứng x = -2 và tiệm cận ngang y = 2.
Câu 2: Tìm tiệm cận đứng của đồ thị hàm số y = (x-1)/(x+1)?
A. y = -1.
B. x = -1.
C. x = 1.
D. y = 1.
Lời giải:
Chọn đáp án: B.
Giải thích:
Tập xác định: D = R \ {-1}.
Ta có:
Vậy x = -1 là tiệm cận đứng.
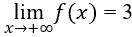
Câu 3: Cho hàm số y = f(x) xác định trên khoảng (0; +∞) và thỏa mãn
Với giả thiết đó, hãy chọn mệnh đề đúng trong các mệnh đề sau:
A. Đường thẳng y = 1 là tiệm cận ngang của đồ thị hàm số y = f(x).
B. Đường thẳng x = 1 là tiệm cận đứng của đồ thị hàm số y = f(x).
C. Đường thẳng x = 1 là tiệm cận ngang của đồ thị hàm số y = f(x).
D. Đường thẳng y = 1 là tiệm cận đứng của đồ thị hàm số y = f(x).
Lời giải:
Chọn đáp án: A.
Câu 4: Cho hàm số y = f(x) xác định trên các khoảng (0; +∞) và thỏa mãn
Với giả thiết đó, hãy chọn mệnh đề đúng trong các mệnh đề sau?
A. Đường thẳng y = 2 là tiệm cận đứng của đồ thị hàm số y = f(x).
B. Đường thẳng x = 2 là tiệm cận ngang của đồ thị hàm số y = f(x).
C. Đường thẳng y = 2 là tiệm cận ngang của đồ thị hàm số y = f(x).
D. Đường thẳng x = 2 là tiệm cận đứng của đồ thị hàm số y = f(x).
Lời giải:
Chọn đáp án: A.
Câu 5: Tìm tiệm cận đứng của đồ thị hàm số y = (x-1)/(x+1)?
A. x = -1
B. x = 1
C. y = -1
D. y = 1
Lời giải:
Chọn đáp án: A.
Giải thích:
Vậy hàm số có đường tiệm cận đứng là x = -1
Câu 6: Đồ thị của hàm số nào dưới đây không có đường tiệm cận ?
A. y = (x+1)/√(x2+4).
B. y = (x+3)/(x-1).
C. y = x4 – 2016.
D. y = (x2-2x+3)/(x-1).
Lời giải:
Chọn đáp án: C.
Giải thích: Vì hàm số y = x4 – 2016 là hàm đa thức nên đồ thị hàm số không có đường tiệm cận.
Câu 7: Cho hàm số y = (3x+1)/(2x-1). Khẳng định nào dưới đây đúng?
A. Đồ thị hàm số không có tiệm cận.
B. Đồ thị hàm số có tiệm cận đứng là y = 3/2.
C. Đồ thị hàm số có tiệm cận ngang là y = 3/2.
D. Đồ thị hàm số có tiệm cận đứng là x = -1/2.
Lời giải:
Chọn đáp án: C.
Giải thích:
suy ra đồ thị hàm số có tiệm cận ngang là y = 3/2
Câu 8: Cho hàm số y = 1/√(x-1), chọn phát biểu đúng trong các phát biểu sau
A. Đồ thị hàm số chỉ có tiệm cận đứng x = 1.
B. Đồ thị hàm số chỉ có tiệm cận ngang y = 0.
C. Đồ thị hàm số có tiệm cận đứng x = 1 và tiệm cận ngang y = 0.
D. Đồ thị hàm số không có tiệm cận đứng.
Lời giải:
Chọn đáp án: C.
Giải thích:
=> x = 1 là đường tiệm cận đứng của đồ thị hàm số.
=> y = 0 là đường tiệm cận ngang của đồ thị hàm số.
Câu 9: Tìm tiệm cận đứng của đồ thị hàm số y = (x+1)/(x+2)?
A. x = 1
B. y = 1
C. x = -2
D. y = -2
Lời giải:
Chọn đáp án: C.
Giải thích: Ta có:
nên đồ thị hàm số có đường tiệm cận đứng là: x = -2
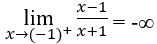
Câu 10: Cho hàm số y = f(x) có
và
. Khẳng định nào sau đây là khẳng định đúng:
A. Đồ thị hàm số đã cho không có tiệm cận ngang.
B. Đồ thị hàm số đã cho có đúng một tiệm cận ngang.
C. Đồ thị hàm số đã cho có hai tiệm cận ngang là các đường thẳng y = 3 và y = -3.
D. Đồ thị hàm số đã cho có hai tiệm cận ngang là các đường thẳng x = 3 và x = -3.
Lời giải:
Chọn đáp án: C.
Giải thích:
Câu 11: Cho hàm số y = (3x+1)/(2x-1). Khẳng định nào sau đây đúng?
A. Đồ thị hàm số có tiệm cận ngang là y = 3/2.
B. Đồ thị hàm số có tiệm cận đứng là x = 3/2.
C. Đồ thị hàm số có tiệm cận đứng là x = 1.
D. Đồ thị hàm số có tiệm cận ngang là y = 1/2.
Lời giải:
Chọn đáp án: A.
Giải thích:
=> y = 3/2 là tiệm cận ngang.
Câu 12: Cho hàm số y = (x-2)/(3-2x) có đồ thị (C). Tìm khẳng định đúng.
A. Đồ thị (C) có tiệm cận đứng x = 3/2 và tiệm cận ngang y = -1/2.
B. Đồ thị (C) có một đường tiệm cận y = -1/2.
C. Đồ thị (C) có tiệm cận đứng x = 3/2 và tiệm cận ngang y = 1/3.
D. Đồ thị (C) có một đường tiệm cận x = 3/2.
Lời giải:
Chọn đáp án: A.
Giải thích:
=> y = -1/2 là tiệm cận ngang.
=> x = 3/2 là tiệm cận đứng.
Câu 13: Tiệm cận ngang của đồ thị hàm số y = (x-1)/(3-2x) là đường thẳng
A. x = -1/2.
B. y = 3/2.
C. x = 3/2.
D. y = -1/2.
Lời giải:
Chọn đáp án: D.
Câu 14: Cho đường cong (C): y = (x-2)/(x+2). Điểm nào dưới đây là giao của hai tiệm cận của (C)?
A. L(-2;1)
B. M(2;1)
C. N(-2;-2)
D. K(-2;2)
Lời giải:
Chọn đáp án: A.
Giải thích:
Đồ thị hàm số có tiệm cận ngang y = 1.
Đồ thị hàm số có tiện cận đứng x = -2
Giao điểm của hai tiệm cận là L(-2;1)
Câu 15: Đường thẳng nào dưới đây là tiệm cận ngang của đồ thị hàm số y = (2x+1)/(3-x)?
A. y = -2.
B. y = 2/3.
C. y = 1/3.
D. y = 2
Lời giải:
Chọn đáp án: A.
Câu 16: Đường thẳng x = 1 là tiệm cận đứng của đồ thị hàm số nào sau đây?
A. y = (x-2)/(x+1).
B. y = (2x+1)/(2x-3).
C. y = (x-2)/(1-x).
D. y = (x-1)/(2x-1).
Lời giải:
Chọn đáp án: C.
Giải thích:
Câu 17: Tìm đường tiệm cận đứng của đồ thị hàm số y = (2x-1)/(x-1)
A. x = 1
B. x = 2
C. y = 1
D. y = 2
Lời giải:
Chọn đáp án: A.
Giải thích:
=> đường x = 1 là tiệm cận đứng.
Câu 18: Cho hàm số y = (2x-3)/(x+1). Hỏi trong các khẳng định sau, khẳng định nào đúng?
A. Hàm số luôn nghịch biến trên miền xác định của nó.
B. Hàm số luôn đồng biến trên tập số thực R
C. Hàm số có tập xác định là D = R \ {1}
D. Đồ thị hàm số có đường tiệm cận ngang là y = 2
Lời giải:
Chọn đáp án: D.
Giải thích: Vì
nên đồ thị hàm số có đường tiệm cận ngang là y = 2.
Câu 19: Đường thẳng nào dưới đây là tiệm cận ngang của đồ thị hàm số y = (3x-1)/(x-1)?
A. x = 3
B. y = 3
C. x = 1
D. y = 1
Lời giải:
Chọn đáp án: B.
Giải thích:
Ta có:
Do đó y = 3 là tiệm cận ngang của đồ thị hàm số y = (3x-1)/(x-1).
Câu 20: Cho hàm số y = (3x+1)/(2x-1). Khẳng định nào sau đây đúng?
A. Đồ thị hàm số có tiệm cận ngang là y = 3/2
B. Đồ thị hàm số có tiệm cận đứng là x = 1.
C. Đồ thị hàm số không có tiệm cận.
D. Đồ thị hàm số có tiệm cận đứng là y = 3/2.
Lời giải:
Chọn đáp án: A.
Giải thích:
Hàm số y = (3x+1)/(2x-1) là hàm phân thức hữu tỉ bậc nhất và có bậc tử bằng bậc mẫu nên
Đồ thị hàm số có một đường tiệm cận ngang y = 3/2. Có
Câu 21: Tìm phương trình đường tiệm cận ngang của đồ thị hàm số y = (3x+2)/(x+1)?
A. x = -1.
B. x = 1.
C. y = 3.
D. y = 2.
Lời giải:
Chọn đáp án: C.
Giải thích:
y = 3 là tiệm cận ngang.
Câu 22: Đồ thị của hàm số y = (x+1)/(x2+2x-3) có bao nhiêu tiệm cận ?
A. 1. B. 0.
C. 3. D. 2.
Lời giải:
Chọn đáp án: C.
Giải thích:
Ta có: D = R \ {1 ; -3}.
=> y = 0 là TCN.
=> x = 1 là TCĐ.
=> x = -3 là TCĐ.
Câu 23: Số đường tiệm cận của hàm số y = (1-x)/(1+x) là
A. 0. B. 1.
C. 2. D. 3.
Lời giải:
Chọn đáp án: C.
Giải thích: Hàm số đã cho có tiệm cận đứng là đường thẳng x = -1; tiệm cận ngang là đường thẳng y = -1. Tóm lại là nó có hai đường tiệm cận.
Câu 24: Số tiệm cận của đồ thị hàm số y = (2x+1)/(x-2) là:
A. 1. B. 0.
C. 2. D. 3.
Lời giải:
Chọn đáp án: C.
Giải thích:
Ta có
nên đồ thị hàm số có đường tiệm cận ngang là y = 2.
Và
nên đồ thị hàm số có đường tiệm cận đứng là x = 2.
Vậy đồ thị hàm số có 2 đường tiệm cận.
Chú ý: đồ thị hàm số y = (ax+b)/(cx+d) (c ≠ 0; ad – bc ≠ 0) luôn có 2 đường tiệm cận.
Câu 25: Tìm số đường tiệm cận của đồ thị hàm số y = (3x-2)/x.
A. 0. B. 1.
C. 2. D. 3.
Lời giải:
Chọn đáp án: C.
Giải thích:
=> Đồ thị có đường tiệm cận ngang y = 3
=> Đồ thị có đường tiệm cận đứng x = 0
Vậy số đường tiệm cận hàm số là 2.
Câu 26: Tìm tiệm cận đứng và tiệm cận ngang của đồ thị hàm số y = (2x+1)/(x-1).
A. Tiệm cận đứng x = 1, tiệm cận ngang y = -1.
B. Tiệm cận đứng y = 1, tiệm cận ngang y = 2.
C. Tiệm cận đứng x = 1, tiệm cận ngang y = 2.
D. Tiệm cận đứng x = 1, tiệm cận ngang x = 2.
Lời giải:
Chọn đáp án: C.
Giải thích:
Ta có
nên đồ thị hàm số có tiệm cận ngang là y = 2.
(do ∀x > 1, x – 1 > 0)
(do ∀x < 1, x – 1 < 0) nên đồ thị hàm số có tiệm cận đứng là x = 1.
Câu 27: Cho hàm số y = √(1-x)/(x2-1). Mệnh đề nào dưới đây đúng?
A. Đồ thị hàm số đã cho có đúng một tiệm cận đứng.
B. Đồ thị hàm số đã cho có đúng hai tiệm cận đứng.
C. Đồ thị hàm số đã cho không có tiệm cận ngang.
D. Đồ thị hàm số đã cho có đúng hai tiệm cận ngang.
Lời giải:
Chọn đáp án: B.
Giải thích:
Vậy hàm số có đúng 2 tiệm cần đứng.
Câu 28: Đồ thị của hàm số y = (x+1)/(x2+2x-3) có bao nhiêu tiệm cận?
A. 1 B. 2
C. 3 D. 4
Lời giải:
Chọn đáp án: C.
Giải thích:
Ta có:
=> đồ thị hàm số có 1 tiệm cận ngang y = 0
Ta có :
=> đồ thị hàm số có 2 tiệm cận đứng x = 1; x = -3
Vậy có 3 đường tiệm cận.
Câu 29: Số đường tiệm cận của đồ thị hàm số y = (x-2)/(3-x) là
A. 2. B. 3.
C. 1. D. 0.
Lời giải:
Chọn đáp án: A.
Giải thích:
=> y = -1 là tiệm cận ngang.
=> x = 3 là tiệm cận đứng.
Câu 30: Đường cong (C): y = (5x+2)/(x2-4) có bao nhiêu tiệm cận?
A. 4. B. 2.
C. 3. D. 1.
Lời giải:
Chọn đáp án: C.
Giải thích:
Đồ thị có hai tiệm cận đứng là x = 2 và x = -2
và có một tiệm cận ngang là y = 0
Câu 31: Số đường tiệm cận của đồ thị hàm số y = (1-x)/(1+x) là
A. 1. B. 2.
C. 3. D. 0.
Lời giải:
Chọn đáp án: B.
Giải thích:
Đồ thị hàm số có tiệm cận đứng là x = -1 và tiệm cận ngang là y = -1.
Số tiệm cận của đồ thị là 2.
Câu 32: Cho hàm số y = f(x) có
và
Khẳng định nào sau đây là khẳng định đúng?
A. Đồ thị hàm số đã cho không có tiệm cận đứng.
B. Đồ thị hàm số đã cho có đúng một tiệm cận đứng.
C. Đồ thị hàm số đã cho có hai tiệm cận đứng là các đường thẳng y = 0 và y = 2.
D. Đồ thị hàm số đã cho có hai tiệm cận đứng là các đường thẳng x = 0 và x = 2.
Lời giải:
Chọn đáp án: D.
Giải thích: Đồ thị hàm số đã cho có hai tiệm cận đứng là các đường thẳng x = 0 và x = 2.
Câu 33: Số đường tiệm cận của hàm số y = √(1+x2 )/(1-x) là:
A. 1. B. 2.
C. 0. D. 3.
Lời giải:
Chọn đáp án: D.
Giải thích:
Tập xác định: D = R \ {1}
Tiệm cận đứng:
Suy ra x = 1 là tiệm cận đứng.
Tiệm cận ngang:
=> y = -1 là tiệm cận ngang
=> y = 1 là tiệm cận ngang
Vậy đồ thị hàm số có ba tiệm cận.
Câu 34: Hàm số y = f(x) có đồ thị như hình vẽ bên. Khẳng định nào sau đây là khẳng định đúng?
A. Đồ thị hàm số có tiệm cận đứng là x = 1 và tiệm cận ngang là y = -2.
B. Hàm số đồng biến trên các khoảng (-∞; -2), (-2; +∞).
C. Đồ thị hàm số cắt trục hoành tại điểm M(0; -1).
D. Hàm số nghịch biến trên các khoảng (-∞; -2), (-2; +∞).
Lời giải:
Chọn đáp án: B.
Giải thích: Ta thấy hàm số đồng biến trên các khoảng (-∞; -2), (-2; +∞).
Câu 35: Cho hàm số y = f(x) có đồ thị như hình vẽ.
Hàm số y = f(x) đồng biến trên khoảng nào sau đây?
A. (0; +∞).
B. (-1; 1).
C. (-1; 3).
D. (1; +∞).
Lời giải:
Chọn đáp án: B.
Giải thích: Hàm số đồng biến nếu x tăng giá trị y cũng tăng theo.
Câu 36: Đường cong trong hình vẽ dưới đây là đồ thị của một hàm số trong bốn hàm số được liệt kê ở bốn phương án A, B, C, D dưới đây. Hỏi hàm số đó là hàm số nào?.
A. y = x4 – 2x2 – 1
B. y = x4 – 2x2 + 1
C. y = x4 – 2x2
D. y = x4 – 2x2 + 2
Lời giải:
Chọn đáp án: D.
Giải thích:
Ta thấy đồ thị hàm số đã cho cắt trục tung tại điểm A(0; 2).
Do đó đồ thị ở đáp án D là đáp án duy nhất thỏa mãn đầu bài.
Câu 37: Ðường cong trong hình dưới là đồ thị của một hàm số trong bốn hàm số được liệt kê ở bốn phương án A, B, C, D dưới đây. Hỏi hàm số đó là hàm số nào?.
A. y = x4 – 2x2 – 1.
B. y = x4 – 2x2 – 3.
C. y = x3 – x2 – 1.
D. y = -x4 + 2x2 + 1.
Lời giải:
Chọn đáp án: A.
Giải thích:
Nhìn vào hình vẽ ta thấy đây là đồ thị hàm số trùng phương với hệ số a > 0 nên loại phương án C và D.
Mặt khác ta thấy đồ thị cắt trục tung tại điểm có tọa độ (0; -1) nên ta có hệ số c = -1.
Vậy ta chọn A.
Câu 38: Đường cong hình bên là đồ thị của hàm số nào trong các hàm số sau?
A. y = x2 – 1.
B. y = x4 + 2x2 – 1.
C. y = -x4 – 2x2 – 1.
D. y = x3 + 2x2 – 1.
Lời giải:
Chọn đáp án: B.
Giải thích:
Nhìn hình vẽ ta loại phương án C và D vì phương án C là hàm trùng phương với hệ số a < 0, còn phương án D là hàm bậc ba.
Mặt khác chọn x = 1 thay vào phương án A và B, thì phương án A có y = 0 còn phương án B thì y = 2. Vậy chọn B.
Câu 39: Đường cong hình bên là đồ thị của một hàm số. Hãy chọn khẳng định đúng.
A. Hàm số đồng biến trên các khoảng (-∞; 1) và (1; +∞).
B. Hàm số nghịch biến trên R.
C. Hàm số đồng biến trên R.
D. Hàm số nghịch biến trên các khoảng (-∞; 1) và (1; +∞).
Lời giải:
Chọn đáp án: D.
Giải thích: Dựa vào đồ thị ta thấy hàm số nghịch biến trên khoảng (-∞; 1) và (1; +∞).
Câu 40: Đường cong hình bên là đồ thị của một hàm số trong bốn hàm số được liệt kê ở bốn phương án A, B, C, D dưới đây. Hàm số đó là hàm số nào?
A. y = (2x-3)/(x+1).
B. y = (2x+1)/(-x-1)
C. y = (2x+1)/(x+1).
D. y = (2x-1)/(x+1).
Lời giải:
Chọn đáp án: D.
Giải thích:
Hàm số tiệm cận ngang y = 2 nên loại B.
Đồ thị hàm số cắt trục tung tại điểm (0; -1) nên loại A, C.
(199k) Học Toán 12 KNTTHọc Toán 12 CDHọc Toán 12 CTST
Xem thêm các dạng bài tập Toán lớp 12 có trong đề thi Tốt nghiệp THPT khác:
- 275 bài tập trắc nghiệm Ứng dụng đạo hàm để khảo sát và vẽ đồ thị hàm số có lời giải (cơ bản - phần 1)
- 275 bài tập trắc nghiệm Ứng dụng đạo hàm để khảo sát và vẽ đồ thị hàm số có lời giải (cơ bản - phần 2)
- 275 bài tập trắc nghiệm Ứng dụng đạo hàm để khảo sát và vẽ đồ thị hàm số có lời giải (cơ bản - phần 4)
- 275 bài tập trắc nghiệm Ứng dụng đạo hàm để khảo sát và vẽ đồ thị hàm số có lời giải (cơ bản - phần 5)
- 275 bài tập trắc nghiệm Ứng dụng đạo hàm để khảo sát và vẽ đồ thị hàm số có lời giải (cơ bản - phần 6)
- 275 bài tập trắc nghiệm Ứng dụng đạo hàm để khảo sát và vẽ đồ thị hàm số có lời giải (cơ bản - phần 7)
- 200 bài tập trắc nghiệm Ứng dụng đạo hàm để khảo sát và vẽ đồ thị hàm số có lời giải (nâng cao - phần 1)
- 200 bài tập trắc nghiệm Ứng dụng đạo hàm để khảo sát và vẽ đồ thị hàm số có lời giải (nâng cao - phần 2)
- 200 bài tập trắc nghiệm Ứng dụng đạo hàm để khảo sát và vẽ đồ thị hàm số có lời giải (nâng cao - phần 3)
- 200 bài tập trắc nghiệm Ứng dụng đạo hàm để khảo sát và vẽ đồ thị hàm số có lời giải (nâng cao - phần 4)
- 200 bài tập trắc nghiệm Ứng dụng đạo hàm để khảo sát và vẽ đồ thị hàm số có lời giải (nâng cao - phần 5)
Đã có app VietJack trên điện thoại, giải bài tập SGK, SBT Soạn văn, Văn mẫu, Thi online, Bài giảng....miễn phí. Tải ngay ứng dụng trên Android và iOS.
Theo dõi chúng tôi miễn phí trên mạng xã hội facebook và youtube:Nếu thấy hay, hãy động viên và chia sẻ nhé! Các bình luận không phù hợp với nội quy bình luận trang web sẽ bị cấm bình luận vĩnh viễn.
- Giải Tiếng Anh 12 Global Success
- Giải sgk Tiếng Anh 12 Smart World
- Giải sgk Tiếng Anh 12 Friends Global
- Lớp 12 Kết nối tri thức
- Soạn văn 12 (hay nhất) - KNTT
- Soạn văn 12 (ngắn nhất) - KNTT
- Giải sgk Toán 12 - KNTT
- Giải sgk Vật Lí 12 - KNTT
- Giải sgk Hóa học 12 - KNTT
- Giải sgk Sinh học 12 - KNTT
- Giải sgk Lịch Sử 12 - KNTT
- Giải sgk Địa Lí 12 - KNTT
- Giải sgk Giáo dục KTPL 12 - KNTT
- Giải sgk Tin học 12 - KNTT
- Giải sgk Công nghệ 12 - KNTT
- Giải sgk Hoạt động trải nghiệm 12 - KNTT
- Giải sgk Giáo dục quốc phòng 12 - KNTT
- Giải sgk Âm nhạc 12 - KNTT
- Giải sgk Mĩ thuật 12 - KNTT
- Lớp 12 Chân trời sáng tạo
- Soạn văn 12 (hay nhất) - CTST
- Soạn văn 12 (ngắn nhất) - CTST
- Giải sgk Toán 12 - CTST
- Giải sgk Vật Lí 12 - CTST
- Giải sgk Hóa học 12 - CTST
- Giải sgk Sinh học 12 - CTST
- Giải sgk Lịch Sử 12 - CTST
- Giải sgk Địa Lí 12 - CTST
- Giải sgk Giáo dục KTPL 12 - CTST
- Giải sgk Tin học 12 - CTST
- Giải sgk Hoạt động trải nghiệm 12 - CTST
- Giải sgk Âm nhạc 12 - CTST
- Lớp 12 Cánh diều
- Soạn văn 12 Cánh diều (hay nhất)
- Soạn văn 12 Cánh diều (ngắn nhất)
- Giải sgk Toán 12 Cánh diều
- Giải sgk Vật Lí 12 - Cánh diều
- Giải sgk Hóa học 12 - Cánh diều
- Giải sgk Sinh học 12 - Cánh diều
- Giải sgk Lịch Sử 12 - Cánh diều
- Giải sgk Địa Lí 12 - Cánh diều
- Giải sgk Giáo dục KTPL 12 - Cánh diều
- Giải sgk Tin học 12 - Cánh diều
- Giải sgk Công nghệ 12 - Cánh diều
- Giải sgk Hoạt động trải nghiệm 12 - Cánh diều
- Giải sgk Giáo dục quốc phòng 12 - Cánh diều
- Giải sgk Âm nhạc 12 - Cánh diều


Giải bài tập SGK & SBT
Tài liệu giáo viên
Sách
Khóa học
Thi online
Hỏi đáp

