200 bài tập trắc nghiệm Ứng dụng đạo hàm để khảo sát và vẽ đồ thị hàm số có lời giải (nâng cao - phần 1)
Với 200 bài tập trắc nghiệm Ứng dụng đạo hàm để khảo sát và vẽ đồ thị hàm số nâng cao có lời giải chi tiết sẽ giúp học sinh ôn tập, biết cách làm bài tập trắc nghiệm Ứng dụng đạo hàm để khảo sát và vẽ đồ thị hàm số.
200 bài tập trắc nghiệm Ứng dụng đạo hàm để khảo sát và vẽ đồ thị hàm số có lời giải (nâng cao - phần 1)
(199k) Học Toán 12 KNTTHọc Toán 12 CDHọc Toán 12 CTST
Bài 1: Tìm tất các giá trị thực của tham số m để hàm số
y= 1/3x3+ (m+3)x2 + 4(m+3)x+ m3 - m đạt cực trị tại x1;x2 thỏa mãn -2 < x1 < x2
A. m < -2. B.m < 1. C. m < -3 D.m > 3
Lời giải:
+ Ta có y'= x2+2(m+3)x+4(m+3)
Yêu cầu của bài toán tường đương y’ = 0 có hai nghiệm phân biệt x1; x2 thỏa mãn: -2 < x1 < x2
Chọn C.
Bài 2: Tìm các giá trị của tham số m để hàm số:
y= 1/3mx3-(m-1)x2+ 3(m-2)x+1/6 đạt cực trị tại x1 < x2 thỏa mãn 4x1 + 3x2 = 3
Lời giải:
Ta có y'= mx2- 2(m-1)x+3(m-2)
Yêu cầu của bài toán tương đương y’ = 0 có hai nghiệm phân biệt x1;x2 thỏa mãn: 4x1+3x2 = 3
Chọn D.
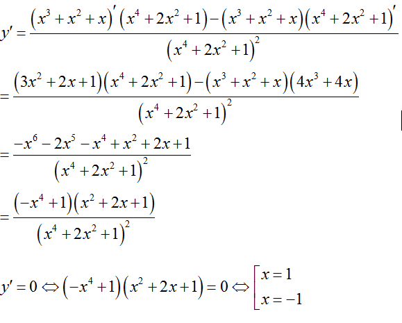
Bài 3: Cho hàm số y= f(x) = ax3 + bx2 + cx + d có đạo hàm là hàm số y= f’ (x) với đồ thị như hình vẽ bên. Biết rằng đồ thị hàm số y= f( x) tiếp xúc với trục hoành tại điểm có hoành độ dương . Khi đó đồ thị hàm số y= f( x) cắt trục tung tại điểm có tung độ là bao nhiêu?
A. 2/3 B. 1 C. 3/2 D. 4/3
Lời giải:
+Ta có đạo hàm f’ (x)= 3ax2+ 2bx+c .
+ Dựa vào đồ thị hàm số y= f’(x) ta thấy đồ thị hàm số đi qua các điểm (0 ; 0) ; (1 ; -1) ; (2 ; 0) nên a= 1/3 ; b= -1 ; c= 0.
Do vậy hàm số cần tìm có dạng y= 1/3 x3-x2+ d .
Điểm tiếp xúc với trục hoành là cực trị của đồ thị hàm số và tại đó ta có x= 0 hoặc x= 2. + Vì đồ thị hàm số y= f(x) tiếp xúc với trục hoành tại điểm có hoành độ dương nên đồ thị hàm số tiếp xúc trục hoành tại điểm x= 2 nghĩa là:
f(2) = 0 hay 8/3-4+ d = 0 nên d= 4/3
chọn D.
Bài 4: Giá trị lớn nhất của hàm số bằng
Lời giải:
+ Điều kiện -4≤x≤4.
Ta thấy hàm số f(x) liên tục trên đoạn [ -4; 4]
Ta có y = t - 4(t2-8/2) + 5 = -2t2 + t + 21 = f(t)
+ Tìm điều kiện của t:
Xét hàm số g(x) = √(x+4) + √(4-x) với -4≤x≤ 4
Chọn D.
Bài 5: Cho hàm số y= 2x3 - 3x2 + 1 có đồ thị và đường thẳng d: y=x-1. Giao điểm của (C) và d lần lượt là A( 1; 0); B và C. Khi đó khoảng cách giữa B và C là
Lời giải:
Phương trình hoành độ giao điểm của đồ thị (C) và đường thẳng d
2x3 - 3x2 + 1 = x-1 hay 2x3-3x2-x+2=0
Khi đó ta có A(1 ; 0) ; B( x1 ; x1-1) và C( x2 ; x2-1) ( x1 ; x2 là nghiệm của (1))
Ta có , suy ra
Chọn B.
Bài 6: Giá trị nhỏ nhất của hàm số y= 2sin4x+ cos2x+ 3 bằng
A. 5 B. 6 C.4 D.tất cả sai
Lời giải:
Ta có 2sin4x+ cos2x+ 3 = 2sin4x- sin2x+ 4.
Đặt t= sin2x; 0≤ t= sin2 t ≤1
Xét hàm số f(t) = 2t4- t2+ 4 liên tục trên đoạn [0;1]
Có đạo hàm f’(t) = 8t3-2t= 2t( 4t2-1)
Trên khoảng (0;1) phương trình f’ (t) =0 khi và chỉ khi t= 1/2
Ta có: f(0) = 4; f(1/ 2) = 31/ 8 và f( 1) = 5
Vậy tại t= 1/2
⇔ cos2x = 0 ⇔ x = π/4 + kπ/2
Chọn D.
Bài 7: Gọi M là giá trị lớn nhất và m là giá trị nhỏ nhất của hàm số y= 2sin8x+ cos42x. Khi đó M + m bằng
A. 28/27 . B. 4 . C. 82/27 . D. 2.
Lời giải:
Do nên ta có
Đặt t= cos 2x; -1≤ t ≤1
Bài toán trở thành tìm giá trị lớn nhất, giá trị nhỏ nhất của hàm số
G(t) = 1/8. (1-t)4+ t4 với - 1≤ t≤1
Ta có g'(t) = -1/2(1-t)3 + 4t3 ; g'(t) = 0 ⇔ (1-t)3 = 8t3 ⇔ 1-t = 2t ⇔ t = 1/3
Lại có; g (1) = 1; g( -1) = 3; g( 1/3) = 1/27
Vậy m= 1/27; M = 3 nên M + m = 3 + 1/27 = 82/27
Chọn C.
Bài 8: Tìm m để đồ thị hàm số y= x3 + mx + 2 cắt trục hoành tại một điểm duy nhất.
A.m > 1 B. m > 2 C. m > -3 D. m < -2
Lời giải:
Phương trình hoành độ giao điểm của đồ thị hàm số với trục hoành là: x3+mx+2=0
Vì x=0 không là nghiệm của phương trình, nên phương trình tương đương với m = -x2 - 2/x
Xét hàm số f(x) = -x2 - 2/x với x≠0,
suy ra . Vậy f’(x)=0 khi x=1.
Bảng biến thiên:
Dựa vào bảng biến thiên ta thấy đồ thị cắt trục hoành tại một điểm duy nhất khi và chỉ khi m > -3.
Vậy m > -3 thỏa yêu cầu bài toán.
Chọn C.
Bài 9: Hàm số có giá trị lớn nhất, giá trị nhỏ nhất là:
A. 2√2 -2 ; 2 . B. 2√2 + 2; 2 . C. 2√2; 2 . D. 2;0 .
Lời giải:
TXĐ: D= [ -3; 1].
Đặt:
Khi đó phương trình trở thành: y = t2/2 + t - 2 => y' = t + 1 > 0 ∀ t ∈ [2;2√2]
Do đó hàm số đồng biến trên D.
=> min y = y(2) = 2; max y = y(2√2) = 2 + 2√2
Bài 10: Cho f(x) = (m4+1)x4 + (-2m+1.m2-4)x2 + 4m + 16. Số cực trị của hàm số y = |f(x)-1| là
A. 2 B. 4 C. 3 D. 5
Lời giải:
Ta có: y = |f(x)-1|
Do f(x) = (m4+1)x4 + (-2m+1.m2-4)x2 + 4m + 16 có 3 điểm cực trị ( vì ab < 0) nên phương trình f’ ( x) =0 có 3 nghiệm phân biệt.
Do f(x) = 1 ⇔ (m4+1)x4 + (-2m+1.m2-4)x2 + 4m + 15 = 0
⇔ m4x4 - 2.2m.m2 + 4m + x4 - 4x2 + 15 = (m22 - 2m) + x4 - 4x2 + 15 = 0 vô nghiệm
Do đó (*) có 3 nghiệm phân biệt.
Chọn C.
Bài 11: Cho hàm số y= ax3 + bx2 + cx+ d có đồ thị như hình vẽ bên. Đồ thị hàm số y = |ax3 + bx2 + cx + d + 1| có bao nhiêu điểm cực trị?
A. 2 B. 3 C. 4 D. 5
Lời giải:
Ta có thể vẽ đồ thị hàm số y= |ax3 + bx2 + cx+ d| theo ba bước sau:
Dựa vào đồ thị ta thấy hàm số có 4 cực trị.
Chọn C.
Bài 12: Hàm số đạt giá trị lớn nhất, giá trị nhỏ nhất tại điểm có hoành độ là:
A. 2√2 + 4; 2 . B. 2√2 - 4; 2 . C. 2√2; 2 . D. 4; 2
Lời giải:
TXĐ: D= [ -2; 2].
Đặt: t = √(x+2) + √(2-x) (2 ≤ t ≤ 2√2)
=> 2√(4-x2) = 2√(2-x).√(2+x) = t2 - 4
Khi đó hàm số trở thành:
y= f(t) = t2+ t- 4 và có đạo hàm f’ (t)= 2t+ 1 > 0 trên D.
Hàm số đồng biến với mọi t ∈ [2;2√2]
Do đó; min y= f(2) =2;
max y = 4 + 2√2
Chọn A.
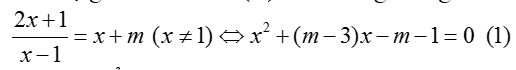
Bài 13: Cho hàm số y = mx-1/(x+2) có đồ thị là (C) . Tìm m để đường thẳng d: y=2x-1 cắt đồ thị (C) tại hai điểm phân biệt A; B sao cho AB= √10.
A.m= 2 B. m=3 C. m= 1 D. m= 4
Lời giải:
+ Phương trình hoành độ giao điểm:
Điều kiện: x≠-2 Khi đó
(1) Suy ra: mx-1=(2x-1) (x+2) hay 2x2-(m-3)x-1=0 (2)
+ Đường thẳng d cắt (C) tại hai điểm phân biệt A; B khi và chỉ khi (1) có hai nghiệm phân biệt khi và chỉ khi ( 2) có hai nghiệm phân biệt khác -2
Đặt A( x1; 2x1-1); B( x2; 2x2-1) với x1; x2 là hai nghiệm của phương trình (2).
Theo định lý Viet ta có , khi đó
Vậy giá trị m cần tìm là m=3.
Chọn B.
Bài 14: Hàm số y = x8 + (x4-1)2 + 5 đạt giá trị lớn nhất, giá trị nhỏ nhất trên đoạn [0;2] lần lượt tại hai điểm có hoành độ x1; x2. Khi đó tích x1.x2 có giá trị bằng
A. 1. B. 2. C. 3/2 D. 0.
Lời giải:
Đặt t= x4- 1( -1≤ t≤ 15).
Khi đó hàm số trở thành: y= ( t+1)2+ t2+ 5=2t2+ 2t+6
Đạo hàm y’ = 4t+ 2 > 0 mọi x thòa mãn 0≤ x≤ 2
Hàm số đồng biến trên đoạn [0; 2].
Hàm số đạt giá trị lớn nhất tại x= 2 tức là t= 15, hàm số đạt giá trị nhỏ nhất tại x= 0 hay t=1
Chọn D.
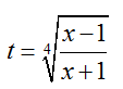
Bài 15: Cho phương trình có nghiệm duy nhất có dạng b/a , trong đó a; b và số tự nhiên, b/a là phân số tối giản. Hãy tính giá trị của a+ 2b
A. 4 B. 5 C. 6 D.7
Lời giải:
Điều kiện:
Xét hàm số
Tập xác định : D = [1/2; +∞]
Đạo hàm
Suy ra hàm số đồng biến trên D = [1/2; +∞]
Do đó : phương trình
Chọn B.
Bài 16: Cho phương trình x3-3x2+1-m=0. Điều kiện của tham số m để (1) có ba nghiệm phân biệt thỏa x1 < 1 < x2 < x3 khi
A. m=-1 B.-1 < m < 3 C. -3 < m < -1 D. Đáp án khác
Lời giải:
Ta có x3-3x2+1-m=0 (1) là phương trình hoành độ giao điểm giữa hai đồ thị hàm số y= x3-3x2+1 và y=m (là đường thẳng song song hoặc trùng với Ox).
Xét y= x3-3x2
Tính y’= 3x2- 6x
Ta có y' = 0 ⇔ 3x2- 6x = 0 .
Ta có x=1 thì y= -1
Số nghiệm của phương trình (1) chính là số giao điểm của đồ thị y= x3-3x2+1 .
và đường thẳng y=m .
Do đó, yêu cầu bài toán khi và chỉ khi -3 < m < -1
Chọn C.
Bài 17: Cho phương trình: 2x3 + x2 - 3x + 1 = 2(3x-1)√(3x-1) . Tính tổng các nghiệm cùa phương trình là :
A.1 B. 2 C.3 D.4
Lời giải:
Điều kiện: x≥1/3
Ta có:
Xét hàm số f(t) = 2t3+ t2+ 1 liên tục tên R.
Ta có: đạo hàm f’ (t) = 6t2+2t > 0 với t > 0.
Do đó hàm số f(t) đồng biến trên (0; +∞).
Chọn C.
Bài 18: Tìm tất cả các giá trị thực của tham số m sao cho hàm số
y = 1/3x3 - 1/2mx2 + 2mx - 3m + 4 nghịch biến trên một đoạn có độ dài là 3?
A. m= -1; m= 9. B. m= -1 C.m= 3. D. Đáp án khác
Lời giải:
+ Đạo hàm y’ = x2 - mx + 2m
Hàm số nghịch biến trên một đoạn có độ dài là 3 khi và chi khi phương trình y’ = 0 có 2 nghiệm x1; x2 ( chú ý hệ số a= 1 > 0) thỏa mãn:
Chọn A.
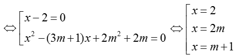
Bài 19: Với giá trị nào của tham số m thì (C): y=x3-3(m+1) x2+2(m2+4m+1)x-4m(m+1) cắt trục hoành tại ba điểm phân biệt có hoành độ lớn hơn 1?
A. 1/2 < m ≠ 1 B. m > 1/ 2 C.m < 1/2 D.m
Lời giải:
Phương trình hoành độ giao điểm của đồ thị (C) và trục Ox:
x3-3(m+1) x2+2(m2+4m+1)x-4m(m+1)=0
hay (x-2) (x2-(3m+1) x+2m2+2m)=0
Yêu cầu bài toán Tổng các nghiệm là 3.
Vậy chọn 1/2 < m ≠ 1 .
Chọn A.
Bài 20: Cho hàm số y=x3-3x2+4 có đồ thị (C) . Gọi d là đường thẳng qua I(1; 2) với hệ số góc k . Có bao nhiêu giá trị nguyên của k để d cắt (C) tại ba điểm phân biệt I, A, B sao cho I là trung điểm của đoạn thẳng AB là
A. 4 B.1 C. 6 D. vô số
Lời giải:
Phương trình đường thẳng d; y=k(x-1)+2.
Phương trình hoành độ giao điểm của đồ thị (C) và đường thẳng d:
x3-3x2+4 = k(x-1)+2. Hay x3-3x2-kx+k+2= 0 (1)
(C) cắt d tại ba điểm phân biệt khi và chỉ khi phương trình (*) có hai nghiệm phân biệt x1; x2 khác 1
Hơn nữa theo Viet ta có
nên I là trung điểm AB.
Vậy chọn k > -3 , hay k ∈ (-3; +∞) . Do đó có vô số giá trị k nguyên thỏa mãn yêu cầu bài toán.
Chọn D.
Bài 21: Cho hàm số y= x3-3x2-m-1 có đồ thị (C) . Giá trị của tham số m để đồ thị (C) cắt trục hoành tại ba điểm phân biệt lập thành cấp số cộng là
A. m=0 B. m=3 C. m=-3 D. m = ±6
Lời giải:
Đồ thị (C) cắt trục hoành tại điểm phân biệt tạo thành cấp số cộng khi và chỉ khi phương trình x3-3x2-1= m có ba nghiệm phân biệt lập thành cấp cố cộng.
Suy ra đường thẳng y=m đi qua điểm uốn của đồ thị y=x3-3x2-1 (do đồ thị (C) nhận điểm uốn làm tâm đối xứng).
Mà điểm uốn của y= x3-3x2-1 là I(1 ; -3) .
Suy ra m=-3.
Chọn C.
Bài 22: Tìm tất cả các giá trị thực của tham số m sao cho hàm số đồng biến trên khoảng (0;π/4) ?
A. 1≤ m < 2. B. m≤ 0 . C. m > 2 D. Cả A và B đúng
Lời giải:
+) Điều kiện tanx ∈ m .
Điều kiện cần để hàm số đồng biến trên (0;π/4) là m ∉ (0;1)
+) đạo hàm : .
+) Ta thấy:
+) Để hàm số đồng biến trên (0;π/4) 1≤ m < 2
Chọn A.
Bài 23: Tập nghiệm của bất phương trình: có bao nhiêu giá trị nguyên trong ( 0; 2008]
A.2006 B. 2001 C. 2008 D. 2007
Lời giải:
Điều kiện: x≥ 1/5
Xét hàm số: liên tục trên nửa khoảng [1/5 ; +∞) .
Ta có:
Do đó hàm số f( x) là hàm số đồng biến trên [1/5 ; +∞).
Mặt khác : f( 1) =4
Khi đó bất phương trình đã cho trở thành f(x) ≥ f(1) hay x≥1.
Ta thấy từ (0 ; 2008] có các giá trị của x thỏa mãn là : 1 ;2 ;3 ;4....2008.
Chọn C.
Bài 24: Cho hàm số có đồ thị (C) và đường thẳng d: y=x+m. Đường thẳng d cắt đồ thị (C) tại hai điểm A và B. Với C( -2; 5) , giá trị của tham số m để tam giác ABC đều là
A.m=1 B.m=1 hoặc m=5
C.m=5 D.m=-5
Lời giải:
Phương trình hoành độ giao điểm của (C) và đường thẳng d:
Khi đó cắt (C) tại hai điểm phân biệt A: B khi và chi khi phương trình (1) có hai nghiệm phân biệt khác -1
Gọi A( x1 ; x1+m) ; B( x2 ; x2+m) trong đó x1 ; x2 là nghiệm của (1) , theo Viet ta có
Gọi
là trung điểm của AB, suy ra , nên
Mặt khác .
Vậy tam giác ABC đều khi và chỉ khi
Chọn B.
Bài 25: Bất phương trình có tập nghiệm là [a; b]. Hỏi tổng a2+ b2 có giá trị là bao nhiêu?
A.4 B.7 C.10 D. 17
Lời giải:
Điều kiện: -2 ≤ x≤ 4.
Xét trên đoạn [ -2; 4].
Có .
Do đó hàm số đồng biến trên [-2; 4] ,
Bất phương trình đã cho trở thanh f(x)≥ f(1) =2√3
Kết hợp với điều kiện hàm số đồng biến suy ra x≥1.
So với điều kiện, tập nghiệm của bpt là [1; 4].
Do đó: a2 + b2 = 17.
Chọn D.
Bài 26: Bất phương trình có tập nghiệm là ( a; b]. Hỏi 4a-b có giá trị là bao nhiêu?
A. 1. B. 3. C. 5. D.7
Lời giải:
Điều kiện: 1≤ x≤ 3
Với điều kiện trên bpt
Xét với t≥0 .
Có .
Do đó hàm số đồng biến trên [0;+∞] .
Khi đó (1) tương đương f(x-1) > f(3-x) hay x-1 > 3-x
Suy ra x > 2
So với điều kiện, bpt có tập nghiệm là (2; 3] và 4a- b= 5
Chọn C.
Bài 27: Cho hàm số: y=x3+2mx2+3(m-1)x+2 có đồ thị (C) . Đường thẳng d: y= - x+2 cắt đồ thị (C) tại ba điểm phân biệt A(0; -2); B và C. Với M(3;1) giá trị của tham số m để tam giác MBC có diện tích bằng 2√7 là
A.m=-1 B.m=-1 hoặc m=4
C.m=4 D. Không tồn tại m
Lời giải:
Phương trình hoành độ giao điểm
x3+2mx2+3(m-1)x+2 =-x+2 hay x(x2+2mx+3(m-1))=0
suy ra x=0 hoặc x2+2mx+3(m-1)=0 (1)
Đường thẳng d cắt (C) tại ba điểm phân biệt khi và chỉ khi phương trình (1) có hai nghiệm phân biệt khác 0
Khi đó ta có: C( x1 ; -x1+2) ; B(x2 ; -x2+2) trong đó x1 ; x2 là nghiệm của (1) ; nên theo Viet thì .
Vậy
Diện tích tam giác MBC bằng khi và chỉ khi
Chọn B.
Bài 28: Phương trình x3 + x(x+1) = m(x2+1)2 có nghiệm thực khi và chỉ khi:
A. m < 3/4 B. 1/4 < m C. m > 3 D. Đáp án khác
Lời giải:
Ta có (1)
Xét hàm số xác định trên R.
Bảng biến thiên
Phương trình (1) có nghiệm thực khi đường thẳng y= m cắt đồ thị hàm số
Khi và chỉ khi -1/4 ≤ m≤ 3/4.
Chọn D.
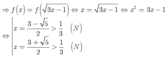
Bài 29: Tìm tất cả các giá trị thực của tham số m sao cho phương trình có đúng 2 nghiệm dương?
A. 1 ≤ m ≤ 3 . B. -3 < m √5 . C. -√5 < m < 3 . D. -3 ≤ m ≤ 3 .
Lời giải:
Đặt .
Ta có và f’ = 0 khi và chỉ khi x=2
Xét x > 0 ta có bảng biến thiên
Khi đó phương trình đã cho trở thành m= t2+ t- 5 hay t2 + t- 5-m= 0 (*)
Nếu phương trình (* ) có nghiệm t1; t2 thì t1+ t2= -1.
Do đó (*) có nhiều nhất 1 nghiệ m t≥ 1.
Vậy phương trình đã cho có đúng 2 nghiệm dương khi và chỉ khi phương trình (*) có đúng 1 nghiệm t ∈ (1; √5) .
+ Đặt g(t) = t2+ t- 5. Ta đi tìm m để phương trình (*) có đúng 1 nghiệm t ∈ (1; √5) .
Ta có g'(t) = 2t + 1 > 0, t ∈ (1; √5) .
Bảng biến thiên:
Từ bảng biến thiên suy ra -3 < m < √5 là các giá trị cần tìm.
Chọn B.
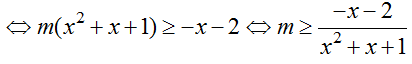
Bài 30: Tìm tất cả các giá trị thực của tham số m sao cho mọi nghiệm của bất phương trình: x2- 3x+ 2≤ 0 cũng là nghiệm của bất phương trình mx2+ (m+ 1) x+ m+1≥0?
A. m < -1 B. m ≤ -4/7 . C. m ≥ -4/7 . D. m > -1
Lời giải:
Giải bất phương trình x2- 3x+ 2≤ 0 ta được 1≤x≤2.
Bất phương trình mx2+ (m+ 1) x+ m+1≥0
Xét hàm số với 1≤ x≤ 2
Có đạo hàm
Yêu cầu bài toán
Chọn C.
Bài 31: Cho hàm số y = 1/3x3 - mx2 - x + m + 2/3 có đồ thị (C) . Tất cả các giá trị của tham số m để (C) cắt trục Ox tại ba điểm phân biệt có hoành độ x1; x2; x3 thỏa x12 + x22 + x32 > 15 là
A.m > 1 hoặc m < -1 B.m < -1 C.m > 0 D.m > 1
Lời giải:
Phương trình hoành độ giao điểm của (C) và đường thẳng d:
(C) cắt Ox tại ba điểm phân biệt khi phương trình (1) có hai nghiệm phân biệt khác 1
Gọi x1 = 1 còn x2; x3 là nghiệm phương trình (1) nên theo Viet ta có .
x12 + x22 + x32 > 15 ⇔ 1 + (x2 + x3)2 - 2x2x3 > 15
⇔ (3m-1)2 + 2(3m+2) - 14 > 0 ⇔ 9m2 - 9 > 0 ⇔ m > 1 và m < -1
Chọn A
Bài 32: Tìm tất cả các giá trị thực của tham số m sao cho phương trình có hai nghiệm thực?
A. m≤3 B. m≤ 5 C. m > 1 D. đáp án khác
Lời giải:
Điều kiện: x≥ -1/2
Phương trình
Vì x= 0 không là nghiệm nên (*)
Xét .
Ta có đạo hàm
Bảng biến thiên
Từ bảng biến thiên ta có để phương trình có hai nghiệm thì m ≥ 9/2.
Chọn D.
Bài 33: Tìm tất cả các giá trị thực của tham số m sao cho phương trình có hai nghiệm thực?
A. 1/3 ≤ m < 1 . B. -1 ≤ m ≤ 1/4 . C. -2 < m ≤ 1/3 . D. 0 ≤ m ≤ 1/3 .
Lời giải:
Điều kiện : x≥ 1
Pt
Thay vào phương trình ta được m= 2t- 3t2 = f(t)
Ta có đạo hàm f’ (t) = 2-6t ta có: f’ (t) =0 khi t= 1/3
Bảng biến thiên:
Từ bảng biến thiên ta có để phương trình có hai nghiệm khi 0≤ m < 1/3.
Chọn D.
Bài 34: Cho hàm số y= f(x) xác định và liên tục trên [ a; e] và có đồ thị hàm số y= f’ (x) như hình vẽ bên. Biết rằng f(a) + f( c)) = f( b) + f( d). Tìm giá trị lớn nhất và nhỏ nhất của hàm số y= f( x) trên [ a; e]?
Lời giải:
Ta có bảng biến thiên như hình vẽ sau:
Giá trị nhỏ nhất của hàm số là f( b) nhưng giá trị lớn nhất có thể là f (a) hoặc f( e)
Theo giả thiết ta có: f(a) + f( c)) = f( b) + f( d) nên f(a) - f( d)) = f( b) - f( c) < 0
Suy ra : f( a) < f( d) < f( e)
Vậy
Chọn C.
Bài 35: Cho hàm số y= f(x) = x4+ 2mx2+ m . Tìm m để f(x) > 0 với mọi m .
A. m > 0 B.m < 0 C.m < 1 D.m > 1
Lời giải:
Theo đầu bài:
y= f(x) = x4+ 2mx2+ m > 0 với mọi x ∈ R
phuơng trình g’ (x) =0 khi và chỉ khi x=0
Bảng biến thiên
Dựa vào bảng biến thiên từ (*) suy ra m > 0.
Chọn A.
Bài 36: Cho hàm số y= x4-(3m+4)x2+m2 có đồ thị là (C) . Có mấy giá trị nguyên của m để đồ thị (C) cắt trục hoành tại bốn điểm phân biệt có hoành độ lập thành một cấp số cộng.
A: 0 B: 1 C: 2 D: 3
Lời giải:
Phương trình hoành độ giao điểm: x4-(3m+4)x2+m2 = 0 (1)
Đặt t=x2≥0
phương trình (1) trở thành: t2-(3m+4)t+m2=0 (2)
(C) cắt trục hoành tại bốn điểm phân biệt khi (1) có bốn nghiệm phân biệt
Hay (2) có hai nghiệm dương phân biệt
Khi đó phương trình (2) có hai nghiệm 0 < t1 < t2
Suy ra phương trình (1) có bốn nghiệm phân biệt là x1 = -√(t2) < x2 = -√(t1) < x3 = √(t1) < x4 = √(t2) .
Bốn nghiệm x1; x2 ; x3; x4 lập thành cấp số cộng
⇔ x2 - x1 = x3 - x2 = x4 - x3 ⇔ -√(t1) + √(t2) = 2 √(t1)
⇔ √(t2) = 3√(t1) ⇔ t2 = 9t1 (3)
Theo định lý Viet ta có
Từ (3) và (4) ta suy ra được
Thay (6) vào (5) ta được
Vậy giá trị m cần tìm là m=12; m=-12/19; có 1 giá trị nguyên của m thỏa mãn yêu cầu đề bài.
Chọn B.
Bài 37: Tìm tất cả các giá trị thực của tham số m sao cho bất phương trình: -x3 + 3mx - 2 < -1/x3 nghiệm đúng mọi x≥ 1 ?
A. m < 1 B. m < 2/3 C. m ≥ 3/2. D. -1/3 ≤ m ≤ 3/2 .
Lời giải:
Bpt .
Ta có
suy ra f( x) là hàm số đồng biến
Bất phương trình đã cho đúng với mọi x≥ 1 khi và chỉ khi f(x) > 3
Hay min f(x) = f(1) =2 > 3m
Suy ra m < 2/3.
Chọn B.
Bài 38: Tìm giá trị nguyên lớn nhất của m để:
A. 1 B. 2 C. 3 D. 4
Lời giải:
Điều kiện: .
Đặt t= x2- 2x; t’ = 2x- 2 và t’ =0 khi x= 1.
Bảng biến thiên
Dựa vào bảng biến thiên suy ra tập giá trị của t là [ 3; 8].
Để (* ) có nghiệm khi và chỉ khi ( 1) có nghiệm t ∈ [3;8]
Xét hàm số trên [3; 8] có:
Cho f’ (t) =0 khi t= 11/2; f( 3) =f( 8) =√5;f(11/2)=√10 nên
Vậy m ∈ (-∞; √10) sẽ thỏa mãn yêu cầu bài toán.
Chọn D.
Bài 39: Tìm tất cả các giá trị của tham số m để đồ thị hàm số
y= x3-3( m+1) x2+ 12mx-3m+ 4 ( C) có hai điểm cực trị là A và B sao cho hai điểm này cùng với điểm C( - 1; -9/2) lập thành tam giác nhận gốc tọa độ O làm trọng tâm.
A.m= -1/2 B. m= -2 C. m=2 D.m =1/2
Lời giải:
Ta có đạo hàm y’ = 3x2 - 6(m+ 1) x+ 12m.
Hàm số có hai cực trị khi và chỉ khi y’ = 0 có hai nghiệm phân biệt
Hay (m-1)2 > 0 suy ra m≠1 ( *)
Khi đó hai điểm cực trị là A(2; 9m) : B( 2m; -4m3+ 12m2-3m+ 4).
ΔABC nhận O làm trọng tâm ⇔ (thoả (*).
Chọn A.
Bài 40: Cho hàm số y= x4- 2( 1-m2) x2+ m+1. Tồn tại giác trị của m để hàm số có cực đại, cực tiểu và các điểm cực trị của đồ thị hàm số lập thành tam giác có diện tích lớn nhất . Khi đó khẳng định nào đúng?
A. m là số nguyên dương B. m không là số nguyên
C. m= 1 D. Tất cả sai
Lời giải:
Ta có đạo hàm y’ = 4x3- 4( 1-m2)x
Hàm số có cực đại , cực tiểu khi và chỉ khi -1 < m < 1
Tọa độ điểm cực trị A( 0; m+ 1) ;
Phương trình đường thẳng BC: y+ m4 - 2m2 - m = 0
d( A: BC) = m4 - 2m2+ 1, BC = 2√(1-m2)
Chọn D.
(199k) Học Toán 12 KNTTHọc Toán 12 CDHọc Toán 12 CTST
Xem thêm các dạng bài tập Toán lớp 12 có trong đề thi Tốt nghiệp THPT khác:
- 275 bài tập trắc nghiệm Ứng dụng đạo hàm để khảo sát và vẽ đồ thị hàm số có lời giải (cơ bản - phần 1)
- 275 bài tập trắc nghiệm Ứng dụng đạo hàm để khảo sát và vẽ đồ thị hàm số có lời giải (cơ bản - phần 2)
- 275 bài tập trắc nghiệm Ứng dụng đạo hàm để khảo sát và vẽ đồ thị hàm số có lời giải (cơ bản - phần 3)
- 275 bài tập trắc nghiệm Ứng dụng đạo hàm để khảo sát và vẽ đồ thị hàm số có lời giải (cơ bản - phần 4)
- 275 bài tập trắc nghiệm Ứng dụng đạo hàm để khảo sát và vẽ đồ thị hàm số có lời giải (cơ bản - phần 5)
- 275 bài tập trắc nghiệm Ứng dụng đạo hàm để khảo sát và vẽ đồ thị hàm số có lời giải (cơ bản - phần 6)
- 275 bài tập trắc nghiệm Ứng dụng đạo hàm để khảo sát và vẽ đồ thị hàm số có lời giải (cơ bản - phần 7)
- 200 bài tập trắc nghiệm Ứng dụng đạo hàm để khảo sát và vẽ đồ thị hàm số có lời giải (nâng cao - phần 2)
- 200 bài tập trắc nghiệm Ứng dụng đạo hàm để khảo sát và vẽ đồ thị hàm số có lời giải (nâng cao - phần 3)
- 200 bài tập trắc nghiệm Ứng dụng đạo hàm để khảo sát và vẽ đồ thị hàm số có lời giải (nâng cao - phần 4)
- 200 bài tập trắc nghiệm Ứng dụng đạo hàm để khảo sát và vẽ đồ thị hàm số có lời giải (nâng cao - phần 5)
Đã có app VietJack trên điện thoại, giải bài tập SGK, SBT Soạn văn, Văn mẫu, Thi online, Bài giảng....miễn phí. Tải ngay ứng dụng trên Android và iOS.
Theo dõi chúng tôi miễn phí trên mạng xã hội facebook và youtube:Nếu thấy hay, hãy động viên và chia sẻ nhé! Các bình luận không phù hợp với nội quy bình luận trang web sẽ bị cấm bình luận vĩnh viễn.
- Giải Tiếng Anh 12 Global Success
- Giải sgk Tiếng Anh 12 Smart World
- Giải sgk Tiếng Anh 12 Friends Global
- Lớp 12 Kết nối tri thức
- Soạn văn 12 (hay nhất) - KNTT
- Soạn văn 12 (ngắn nhất) - KNTT
- Giải sgk Toán 12 - KNTT
- Giải sgk Vật Lí 12 - KNTT
- Giải sgk Hóa học 12 - KNTT
- Giải sgk Sinh học 12 - KNTT
- Giải sgk Lịch Sử 12 - KNTT
- Giải sgk Địa Lí 12 - KNTT
- Giải sgk Giáo dục KTPL 12 - KNTT
- Giải sgk Tin học 12 - KNTT
- Giải sgk Công nghệ 12 - KNTT
- Giải sgk Hoạt động trải nghiệm 12 - KNTT
- Giải sgk Giáo dục quốc phòng 12 - KNTT
- Giải sgk Âm nhạc 12 - KNTT
- Giải sgk Mĩ thuật 12 - KNTT
- Lớp 12 Chân trời sáng tạo
- Soạn văn 12 (hay nhất) - CTST
- Soạn văn 12 (ngắn nhất) - CTST
- Giải sgk Toán 12 - CTST
- Giải sgk Vật Lí 12 - CTST
- Giải sgk Hóa học 12 - CTST
- Giải sgk Sinh học 12 - CTST
- Giải sgk Lịch Sử 12 - CTST
- Giải sgk Địa Lí 12 - CTST
- Giải sgk Giáo dục KTPL 12 - CTST
- Giải sgk Tin học 12 - CTST
- Giải sgk Hoạt động trải nghiệm 12 - CTST
- Giải sgk Âm nhạc 12 - CTST
- Lớp 12 Cánh diều
- Soạn văn 12 Cánh diều (hay nhất)
- Soạn văn 12 Cánh diều (ngắn nhất)
- Giải sgk Toán 12 Cánh diều
- Giải sgk Vật Lí 12 - Cánh diều
- Giải sgk Hóa học 12 - Cánh diều
- Giải sgk Sinh học 12 - Cánh diều
- Giải sgk Lịch Sử 12 - Cánh diều
- Giải sgk Địa Lí 12 - Cánh diều
- Giải sgk Giáo dục KTPL 12 - Cánh diều
- Giải sgk Tin học 12 - Cánh diều
- Giải sgk Công nghệ 12 - Cánh diều
- Giải sgk Hoạt động trải nghiệm 12 - Cánh diều
- Giải sgk Giáo dục quốc phòng 12 - Cánh diều
- Giải sgk Âm nhạc 12 - Cánh diều


Giải bài tập SGK & SBT
Tài liệu giáo viên
Sách
Khóa học
Thi online
Hỏi đáp

