275 bài tập trắc nghiệm Ứng dụng đạo hàm để khảo sát và vẽ đồ thị hàm số có lời giải (cơ bản - phần 1)
Với 275 bài tập trắc nghiệm Ứng dụng đạo hàm để khảo sát và vẽ đồ thị hàm số có lời giải chi tiết sẽ giúp học sinh ôn tập, biết cách làm bài tập trắc nghiệm Ứng dụng đạo hàm để khảo sát và vẽ đồ thị hàm số.
275 bài tập trắc nghiệm Ứng dụng đạo hàm để khảo sát và vẽ đồ thị hàm số có lời giải (cơ bản - phần 1)
(199k) Học Toán 12 KNTTHọc Toán 12 CDHọc Toán 12 CTST
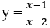
Câu 1: Hàm số
nghịch biến trên khoảng nào?
A. (-3;1).
B. (1; +∞).
C. (-∞; -3).
D. (-3; -1) và (-1; 1).
Lời giải:
Chọn đáp án: D.
Giải thích:
Ta có: D = R và
y’ = 0 ⇔ x = -3 ∨ x = 1
BBT:
Vậy hàm số nghịch biến trên các khoảng (-3; -1) và (-1; 1)
Câu 2: Hàm số y = x4 – 2x2 + 3 đồng biến trên các khoảng nào?
A. R.
B. (-1 ; 0) và (0 ; 1).
C. (-∞; -1) và (0 ; 1).
D. (-1 ;0) và (1; +∞).
Lời giải:
Chọn đáp án: D.
Giải thích:
y = x4 – 2x2 + 3 => y’ = 4x3 – 4x.
y’ = 0 ⇔ 4x3 – 4x = 0 ⇔
Vậy hàm số đồng biến trên khoảng (-1 ;0) và (1; +∞).
Câu 3: Hàm số y = x3 – 3x2 + 3x + 2017
A. Đồng biến trên TXĐ.
B. Nghịch biến trên tập xác định.
C. Đồng biến trên (1; +∞).
D. Đồng biến trên (-5; +∞).
Lời giải:
Chọn đáp án: A.
Giải thích:
y = x3 – 3x2 + 3x + 2017 => y’ = 3x2 – 6x + 3 = 3(x – 1)2 ≥ 0, ∀x ∈ R.
Vậy hàm số đồng biến trên tập xác định.
Câu 4: Cho hàm số y = - x3 – x2 + 5x + 4. Mệnh đề nào sau đây đúng?
A. Hàm số nghịch biến trên (-5/3; 1).
B. Hàm số đồng biến trên (-5/3; 1).
C. Hàm số đồng biến trên (-∞;-5/3).
D. Hàm số đồng biến trên (1; +∞).
Lời giải:
Chọn đáp án: B.
Giải thích:
y = - x3 – x2 + 5x + 4 => y’ = -3x2 – 2x + 5 = 0 ⇔
Hàm số đồng biến trên (-5/3; 1).
Câu 5: Các khoảng đồng biến của hàm số y = x3 – 3x2 + 2 là:
A. (-∞; 0).
B. (0; 2).
C. (-∞; 0) ∪ (2; +∞).
D. (-∞; 0) và (2; +∞).
Lời giải:
Chọn đáp án: D.
Giải thích:
Ta có y’ = 3x2 – 6x; Y' = 0 ⇔
Xét dấu y’ suy ra hàm số đồng biến trên các khoảng (-∞; 0) và (2; +∞).
Câu 6: Hỏi hàm số y = 2x3 + 3x2 + 5 nghịch biến trên khoảng nào?
A. (-∞; -1)
B. (-1; 0)
C. (0; +∞)
D. (-3; 1)
Lời giải:
Chọn đáp án: B.
Giải thích:
Có y’ = 6x2 + 6x = 0 ⇔
Hàm số nghịch biến trong khoảng giữa. Vậy chọn B
Câu 7: Hàm số y = x4 – 2x2 – 1 đồng biến trên khoảng nào sau đây:
A. (-∞; -1) và (0; 1).
B. (-1; 0) và (0; 1).
C. (-1;0) và (1; +∞).
D. Đồng biến trên R.
Lời giải:
Chọn đáp án: C.
Giải thích:
Ta có y’ = 4x3 – 4x; y’ = 0 ⇔ 4x3 – 4x = 0
Lập bảng biến thiên
Hàm số đồng biến trên các khoảng (-1;0) và (1; +∞).
Câu 8: Hàm số y = x3 – 3x2 nghịch biến trên khoảng nào dưới đây?
A. (-1;1).
B. (-∞; 1).
C. (0; 2).
D. (2; +∞).
Lời giải:
Chọn đáp án: C.
Giải thích:
y = x3 – 3x2 => y’ = 3x2 – 6x; y’ = 0 ⇔ 3x2 – 6x ⇔
y’ < 0 ⇔ 3x2 – 6x < 0 ⇔ 0 < x < 2
Câu 9: Cho hàm số y = x4 – 8x2 – 4. Các khoảng đồng biến của hàm số là:
A. (-2;0) và (2; +∞).
B. (-2; 0) và (0; 2).
C. (-∞; -2) và (0; 2).
D. (-∞; -2) và (2; +∞).
Lời giải:
Chọn đáp án: A.
Giải thích:
Ta có: y’ = 4x3 – 16x, y’ = 0 ⇔
Ta có bảng biến thiên
Vậy hàm số đồng biến trên các khoảng (-2;0) và (2; +∞)
Câu 10: Cho hàm số y = (3-x)/(x+1). Mệnh đề nào dưới đây đúng?
A. Hàm số đồng biến trên mỗi khoảng (-∞; -1) và (-1; +∞).
B. Hàm số nghịch biến với mọi x ≠ 1.
C. Hàm số nghịch biến trên tập R \ {-1}.
D. Hàm số nghịch biến trên mỗi khoảng (-∞; -1) và (-1; +∞).
Lời giải:
Chọn đáp án: D.
Giải thích:
TXĐ: D = R \ {-1}.
Chiều biến thiên:
y’ không xác định khi x = 1.
y’ luôn âm với mọi x ≠ 1.
Vậy hàm số nghịch biến trên các khoảng (-∞; -1) và (-1; +∞)
Câu 11: Cho hàm số y = 1/3x3 - 1/2x2 – 12x – 1. Mệnh đề nào sau đây đúng ?
A. Hàm số đồng biến trên khoảng (4; +∞).
B. Hàm số nghịch biến trên khoảng (-3; +∞).
C. Hàm số đồng biến trên khoảng (-∞; 4).
D. Hàm số đồng biến trên khoảng (-3; 4).
Lời giải:
Chọn đáp án: A.
Giải thích:
y' = x2 – x – 12
y’ > 0 ⇔ x2 – x – 12 > 0
Vậy hàm số đồng biến trên (-∞ ; -3) và (4; +∞)
Câu 12: Cho hàm số y = x4 – 2x2 – 3. Khẳng định nào sau đây là sai?
A. Hàm số nghịch biến trên khoảng (-∞; -1).
B. Hàm số nghịch biến trên khoảng (0; 1).
C. Hàm số nghịch biến trên khoảng (-1; 0).
D. Hàm số đồng biến trên khoảng (1; +∞).
Lời giải:
Chọn đáp án: C.
Giải thích:
TXĐ: D = R.
y' = 4x3 – 4x ⇔
BXD
Khẳng định C là sai.
Câu 13: Các khoảng nghịch biến của hàm số y = -1/4x4 + 2x2 - 5 là
A. (-2; 0) và (2; +∞).
B. (-1; 0) và (1 ; +∞).
C. (-∞; -2) và (0 ; 2).
D. (-∞; -1) và (1; +∞).
Lời giải:
Chọn đáp án: A.
Giải thích:
Tập xác định D = R.
y' = -x3 + 4x.
y’ = 0 ⇔ -x3 + 4x = 0 ⇔ x = 0 hoặc x = -2 hoặc x = 2
Bảng biến thiên:
Vậy hàm số nghịch biến trên (-2; 0) và (2; +∞).
Câu 14: Hàm số y = -x3 + 3x – 5 đồng biến trên khoảng nào sau đây?
A. (-1; 1).
B. (-∞; -1).
C. (1; +∞).
D. (-∞; 1).
Lời giải:
Chọn đáp án: A.
Giải thích:
Tập xác định D = R.
y' = -3x2 + 3
y’ = 0 ⇔ -3x2 + 3 = 0 ⇔ x = 1 hoặc x = -1.
Bảng biến thiên:
Từ bảng biến thiên ta thấy hàm số đồng biến trên (-1; 1).
Câu 15: Hàm số y = x3 – 3x2 + 2 đồng biến trên khoảng nào trong các khoảng cho dưới đây.
A. (0; 2).
B. (-∞; 2).
C. (2; +∞).
D. R.
Lời giải:
Chọn đáp án: C.
Giải thích:
Tập xác định: D = R
Ta có y’ = 3x2 – 6x; y’ = 0 ⇔
Hàm số đồng biến trên các khoảng (-∞; 0) và (2; +∞).
Câu 16: Hỏi hàm số y = -1/3x3 + 2x2 + 5x – 44 đồng biến trên khoảng nào?
A. (-∞; -1).
B. (-∞; 5).
C. (5; +∞).
D. (-1; 5).
Lời giải:
Chọn đáp án: D.
Giải thích:
y’ = -x2 + 4x + 5
y’ = 0 ⇔
Bảng biến thiên:
Vậy hàm số đồng biến trên khoảng (-1; 5).
Câu 17: Hàm số y = - x3 + 3x2 + 2 đồng biến trên khoảng nào?
A. (0; 2).
B. (2; +∞).
C. (-∞; +∞).
D. (-∞; 0)
Lời giải:
Chọn đáp án: A.
Giải thích:
y’ = -3x2 + 6x
y’ = 0 ⇔
Bảng biến thiên:
Vậy hàm số đồng biến trên khoảng (0; 2).
Câu 18: Hàm số y = x3 – 3x đồng biến trên khoảng nào?
A. (-∞; 0).
B. (-1;1).
C. (0; +∞).
D. (-∞; +∞).
Lời giải:
Chọn đáp án: B.
Giải thích:
Ta có y’ = 3x2 – 3; y’ = 0 ⇔ x = ± 1.
Hàm số y = x3 – 3x nghịch biến trên khoảng (-1; 1).
Câu 19: Hàm số nào sau đây đồng biến trên mỗi khoảng xác định của nó:
A.
B.
C.
D.
Lời giải:
Chọn đáp án: B.
Giải thích:
nên hàm số nghịch biến trên mỗi khoảng xác định của nó
nên hàm số đồng biến trên mỗi khoảng xác định của nó
nên hàm số nghịch biến trên mỗi khoảng xác định của nó
nên hàm số nghịch biến trên mỗi khoảng xác định của nó
Câu 20: Cho hàm số y = x4 – 2x2 + 3. Tìm các khoảng đồng biến của hàm số
A. (-∞; -1) và (0; 1)
B. (-1; 0) và (1; +∞).
C. (-∞; 0) và (1; +∞).
D. R.
Lời giải:
Chọn đáp án: A.
Giải thích:
TXD: R
Ta có y’ = 4x3 – 4x2 => y’ = 0
Ta có bảng xét dấu của đạo hàm
Vậy hàm số nghịch biến trên các khoảng (-∞; -1) và (0; 1).
Câu 21: Hàm số nào sau đây luôn đồng biến trên từng khoảng xác định của chúng
A. y = 2/x.
B. y = (2x+3)/(x-1).
C. y = x - 1/(x-1).
D. y = x + 10/x.
Lời giải:
Chọn đáp án: C.
Giải thích:
Ta nhận thấy hàm số y = x - 1/(x-1) có y’ = 1 + 1/(x-1)2 > 0, ∀x ≠ 1, do đó hàm số đồng biến trên từng khoảng xác định.
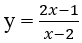
Câu 22: Cho hàm số y = (2x+1)/(x+1). Tìm mệnh đề đúng.
A. Hàm số luôn nghịch biến trên R \ {-1}.
B. Hàm số luôn đồng biến trên R \ {-1}
C. Hàm số nghịch biến trên (-∞; -1); (-1; +∞)
D. Hàm số đồng biến trên (-∞; -1) và (-1; +∞).
Lời giải:
Chọn đáp án: D.
Giải thích:
TXD: x ≠ -1.
Xét hàm số y = (2x+1)/(x+1) ta có y’ = 1/(x+1)2 > 0, ∀x > -1
Vậy hàm số đồng biến trên các khoảng (-∞; -1) và (-1; +∞).
Câu 23: Cho hàm số y = 1/4x4 – 2x2 + 3. Khẳng định nào sau đây đúng?
A. Hàm số nghịch biến trên khoảng (-2; 0) và (2; +∞).
B. Hàm số đồng biến trên khoảng (-∞; -2) và (2; +∞).
C. Hàm số nghịch biến trên khoảng (-∞; -2) và (0; 2).
D. Hàm số nghịch biến trên khoảng (-∞; 0).
Lời giải:
Chọn đáp án: C.
Giải thích:
Ta có y’ = x3 – 4x = x(x2 – 4); y’ = 0 ⇔ x = 0, x = ± 2.
Hàm số nghịch biến trên khoảng (-∞; -2) và (0; 2).
Hàm số đồng biến trên khoảng (-2; 0) và (2; +∞).
Do đó mệnh đề đúng là: Hàm số nghịch biến trên khoảng (-∞; -2) và (0; 2).
Câu 24: Hàm số y = x3 – 3x2 – 9x + 1 đồng biến trên mỗi khoảng:
A. (-1; 3) và (3; +∞).
B. (-∞; -1) và (1; 3).
C. (-∞; 3) và (3; +∞).
D. (-∞; -1) và (3; +∞).
Lời giải:
Chọn đáp án: D.
Giải thích:
Ta có y’ = 3x2 – 6x – 9 nên y’ = 0 ⇔
Bảng xét dấu của y’ là
Do đó hàm số đồng biến trên mỗi khoảng (-∞; -1) và (3; +∞).
Câu 25: Cho hàm số y = -x4 + 2x2. Hỏi hàm số đã cho đồng biến trên khoảng nào sau đây?
A. (-∞; +∞)
B. (3; +∞)
C. (-∞; -1)
D. (0; 3)
Lời giải:
Chọn đáp án: C.
Giải thích:
Hàm số y = -x4 + 2x2 có y’ = -4x3 + 4x, y’ ≥ 0 ⇔
Vậy hàm số đã cho đồng biến trên (-∞; -1) và (0; 1)
Câu 26: Các khoảng đồng biến của hàm số y = -x3 + 3x2 + 1 là:
A. (-∞; 0), (2; +∞).
B. (0; 2).
C. (-2; 2).
D. (-2; 0).
Lời giải:
Chọn đáp án: B.
Giải thích:
y = -x3 + 3x2 + 1, suy ra y’ = -3x2 + 6x; y’ = 0 ⇔
Lập bảng biến thiên suy ra hàm số đồng biến trên (0; 2).
Câu 27: Tìm khoảng nghịch biến của hàm số y = 2x3 – 9x2 + 12x + 4
A. (1; 2).
B. (-∞; 1).
C. (2; 3).
D. (2; +∞).
Lời giải:
Chọn đáp án: A.
Giải thích:
Ta có y’ = 6x2 – 18x + 12 = 6(x2 – 3x + 2) = 0 ⇔
Bảng biến thiên:
Hàm số nghịch biến trên khoảng (1; 2).
Câu 28: Cho hàm số y = (-x+5)/(x+2). Mệnh đề nào sau đây là đúng?
A. Hàm số nghịch biến trên mỗi khoảng (-∞; -2) và (-2; +∞).
B. Hàm số đồng biến trên mỗi khoảng (-∞; -2) và (-2; +∞).
C. Hàm số nghịch biến trên khoảng (-∞; 5).
D. Hàm số nghịch biến trên R \ {-2}.
Lời giải:
Chọn đáp án: A.
Giải thích:
TXĐ: D = R \ {-2}
Chiều biến thiên
y’ không xác định khi x = -2
y’ luôn luôn âm với mọi x ≠ -2
Vậy hàm số nghịch biến trên mỗi khoảng (-∞; -2) và (-2; +∞).
Câu 29: Hàm số y = 2x2 – x4 nghịch biến trên những khoảng nào?
A. (-1; 0).
B. (-1; 0); (1; +∞).
C. (-∞; -1); (0; 1).
D. (-1; 1).
Lời giải:
Chọn đáp án: B.
Giải thích:
Ta có: y’ = -4x3 + 4x. Y’ = 0 ⇔
Từ bảng biến thiên suy ra y’ < 0 ⇔ x ϵ (-1; 0) ∪ (1; +∞) => Hàm số nghịch biến trên các khoảng (-1; 0); (1; +∞).
Câu 30: Kết luận nào sau đây về tính đơn điệu của hàm số y = (2x+1)/(x+1) là đúng?
A. Hàm số đồng biến trên các khoảng (-∞; -1) và (-1; +∞).
B. Hàm số luôn luôn đồng biến trên R
C. Hàm số nghịch biến trên các khoảng (-∞; -1) và (-1; +∞).
D. Hàm số luôn luôn nghịch biến trên R \ {-1}.
Lời giải:
Chọn đáp án: A.
Giải thích:
Tập xác định D = R \ {-1}.
Ta có y’ = 1/(x+1)2 > 0, ∀x ≠ -1.
Suy ra hàm số đã cho đồng biến trên từng khoảng xác định của nó.
Câu 31: Cho hàm số f(x) = (x3/3) - (x2/2) – 6x + 3/4.
A. Hàm số đồng biến trên khoảng (-2; 3).
B. Hàm số nghịch biến trên khoảng (-2; 3).
C. Hàm số nghịch biến trên (-∞; -2).
D. Hàm số đồng biến trên (-2; +∞).
Lời giải:
Chọn đáp án: B.
Giải thích:
Tập xác định D = R.
Ta có f’(x) = x2 – x – 6, f’(x) = 0 ⇔
Bảng biến thiên
Câu 32: Cho hàm số y = -x3 + 3x2 – 3x + 7. Mệnh đề nào sau đây là đúng?
A. Hàm số nghịch biến trên R.
B. Hàm số đồng biến trên R.
C. Hàm số đạt cực đại tại x = 1.
D. Hàm số đạt cực tiểu tại x = 1.
Lời giải:
Chọn đáp án: A.
Giải thích:
y = -x3 + 3x2 – 3x + 7, suy ra y’ = -3x2 + 6x – 3 = -3(x – 1)2 ≤ 0 ∀x ∈ R.
Vậy hàm số nghịch biến trên R.
Câu 33: Hàm số y = x3 – 3x + 2 đạt cực đại tại
A. x = 1.
B. x = 0.
C. x = -1.
D. x = 2.
Lời giải:
Chọn đáp án: C.
Giải thích:
Ta có y’ = 3x2 – 3. Khi đó: y’ = 0 ⇔
Xét dấu y’. Ta có: y’ > 0 ⇔
và y’ < 0 ⇔ -1 < x < 1.
Khi đó ta có hàm số đạt cực đại tại x = -1.
Câu 34: Tìm số cực trị của hàm số y = x4 + 4x3
A. 1 B. 2
C. 3 D. 4
Lời giải:
Chọn đáp án: A.
Giải thích:
y = x4 + 4x3 TXĐ: D = R
y’ = 4x3 + 12x2 = 0 ⇔
Lập bảng xét dấu của y’ và suy ra hàm số có 1 cực trị
Câu 35: Tìm số điểm cực trị của hàm số y = x4 – 2x2 + 2
A. 0 B. 1
C. 3 D. 2
Lời giải:
Chọn đáp án: C.
Giải thích:
TXĐ: D = R.
Ta có y’ = 4x3 – 4x, y’ = 0 ⇔ 4x3 – 4x = 0 ⇔
Bảng biến thiên:
Dựa và bảng biến thiên ta thấy hàm số có ba cực trị.
Câu 36: Tìm tất cả các điểm cực đại của hàm số y = -x4 + 2x2 + 1
A. x = ±1.
B. x = -1.
C. x = 1.
D. x = 0.
Lời giải:
Chọn đáp án: A.
Giải thích:
Ta có: y = -x4 + 2x2 + 1.
Tập xác định: D = R.
y’ = -4x3 + 4x.
y' = 0 ⇔ -4x3 + 4x = 0 ⇔
Bảng biến thiên:
Suy ra hàm số đạt cực đại tại x = ±1.
Câu 37: Khẳng định nào sau đây là khẳng định sai về hàm số y = (2x-1)/(x+1).
A. Hàm số đồng biến trên (1; +∞)
B. Hàm số đồng biến trên R
C. Hàm số không có cực trị.
D. Hàm số đồng biến trên (-∞; -1)
Lời giải:
Chọn đáp án: B.
Giải thích: Đồ thị hàm số bậc nhất trên bậc nhất đồng biến hoặc nghịch biến trên từng khoảng xác định.
Câu 38: Đồ thị hàm số y = -2x3 + x2 – 5x + 1 có bao nhiêu điểm cực trị?
A. 0 B. 1
C. 2 D. 3
Lời giải:
Chọn đáp án: A.
Giải thích:
y = -2x3 + x2 – 5x + 1 => y’ = -6x2 + 2x – 5 => ∆ = -116 < 0
Hàm số đã cho không có điểm cực trị.
Câu 39: Hàm số y = x4 – 2x3 + 2x có bao nhiêu điểm cực trị?
A. 0 B. 1
C. 2 D. 3
Lời giải:
Chọn đáp án: B.
Giải thích:
y’ = 4x3 – 6x2 + 2 = 0 ⇔ (4x + 2)(x – 1)2 = 0 ⇔
Hàm số chỉ đạt cực trị tại x = -1/2
Câu 40: Hàm số y = 3x2 – 2x3 đạt cực trị tại
A. xCĐ = 0; xCT = -1.
B. xCĐ = 1; xCT = 0.
C. xCĐ = 0; xCT = 1.
D. xCĐ = -1; xCT = 0.
Lời giải:
Chọn đáp án: B.
Giải thích:
y = 3x2 – 2x3 => y’ = -6x2 + 6x = 0 ⇔
(199k) Học Toán 12 KNTTHọc Toán 12 CDHọc Toán 12 CTST
Xem thêm các dạng bài tập Toán lớp 12 có trong đề thi Tốt nghiệp THPT khác:
- 275 bài tập trắc nghiệm Ứng dụng đạo hàm để khảo sát và vẽ đồ thị hàm số có lời giải (cơ bản - phần 2)
- 275 bài tập trắc nghiệm Ứng dụng đạo hàm để khảo sát và vẽ đồ thị hàm số có lời giải (cơ bản - phần 3)
- 275 bài tập trắc nghiệm Ứng dụng đạo hàm để khảo sát và vẽ đồ thị hàm số có lời giải (cơ bản - phần 4)
- 275 bài tập trắc nghiệm Ứng dụng đạo hàm để khảo sát và vẽ đồ thị hàm số có lời giải (cơ bản - phần 5)
- 275 bài tập trắc nghiệm Ứng dụng đạo hàm để khảo sát và vẽ đồ thị hàm số có lời giải (cơ bản - phần 6)
- 275 bài tập trắc nghiệm Ứng dụng đạo hàm để khảo sát và vẽ đồ thị hàm số có lời giải (cơ bản - phần 7)
- 200 bài tập trắc nghiệm Ứng dụng đạo hàm để khảo sát và vẽ đồ thị hàm số có lời giải (nâng cao - phần 1)
- 200 bài tập trắc nghiệm Ứng dụng đạo hàm để khảo sát và vẽ đồ thị hàm số có lời giải (nâng cao - phần 2)
- 200 bài tập trắc nghiệm Ứng dụng đạo hàm để khảo sát và vẽ đồ thị hàm số có lời giải (nâng cao - phần 3)
- 200 bài tập trắc nghiệm Ứng dụng đạo hàm để khảo sát và vẽ đồ thị hàm số có lời giải (nâng cao - phần 4)
- 200 bài tập trắc nghiệm Ứng dụng đạo hàm để khảo sát và vẽ đồ thị hàm số có lời giải (nâng cao - phần 5)
Đã có app VietJack trên điện thoại, giải bài tập SGK, SBT Soạn văn, Văn mẫu, Thi online, Bài giảng....miễn phí. Tải ngay ứng dụng trên Android và iOS.
Theo dõi chúng tôi miễn phí trên mạng xã hội facebook và youtube:Nếu thấy hay, hãy động viên và chia sẻ nhé! Các bình luận không phù hợp với nội quy bình luận trang web sẽ bị cấm bình luận vĩnh viễn.
- Giải Tiếng Anh 12 Global Success
- Giải sgk Tiếng Anh 12 Smart World
- Giải sgk Tiếng Anh 12 Friends Global
- Lớp 12 Kết nối tri thức
- Soạn văn 12 (hay nhất) - KNTT
- Soạn văn 12 (ngắn nhất) - KNTT
- Giải sgk Toán 12 - KNTT
- Giải sgk Vật Lí 12 - KNTT
- Giải sgk Hóa học 12 - KNTT
- Giải sgk Sinh học 12 - KNTT
- Giải sgk Lịch Sử 12 - KNTT
- Giải sgk Địa Lí 12 - KNTT
- Giải sgk Giáo dục KTPL 12 - KNTT
- Giải sgk Tin học 12 - KNTT
- Giải sgk Công nghệ 12 - KNTT
- Giải sgk Hoạt động trải nghiệm 12 - KNTT
- Giải sgk Giáo dục quốc phòng 12 - KNTT
- Giải sgk Âm nhạc 12 - KNTT
- Giải sgk Mĩ thuật 12 - KNTT
- Lớp 12 Chân trời sáng tạo
- Soạn văn 12 (hay nhất) - CTST
- Soạn văn 12 (ngắn nhất) - CTST
- Giải sgk Toán 12 - CTST
- Giải sgk Vật Lí 12 - CTST
- Giải sgk Hóa học 12 - CTST
- Giải sgk Sinh học 12 - CTST
- Giải sgk Lịch Sử 12 - CTST
- Giải sgk Địa Lí 12 - CTST
- Giải sgk Giáo dục KTPL 12 - CTST
- Giải sgk Tin học 12 - CTST
- Giải sgk Hoạt động trải nghiệm 12 - CTST
- Giải sgk Âm nhạc 12 - CTST
- Lớp 12 Cánh diều
- Soạn văn 12 Cánh diều (hay nhất)
- Soạn văn 12 Cánh diều (ngắn nhất)
- Giải sgk Toán 12 Cánh diều
- Giải sgk Vật Lí 12 - Cánh diều
- Giải sgk Hóa học 12 - Cánh diều
- Giải sgk Sinh học 12 - Cánh diều
- Giải sgk Lịch Sử 12 - Cánh diều
- Giải sgk Địa Lí 12 - Cánh diều
- Giải sgk Giáo dục KTPL 12 - Cánh diều
- Giải sgk Tin học 12 - Cánh diều
- Giải sgk Công nghệ 12 - Cánh diều
- Giải sgk Hoạt động trải nghiệm 12 - Cánh diều
- Giải sgk Giáo dục quốc phòng 12 - Cánh diều
- Giải sgk Âm nhạc 12 - Cánh diều


Giải bài tập SGK & SBT
Tài liệu giáo viên
Sách
Khóa học
Thi online
Hỏi đáp

