(3 dạng) Ứng dụng của tích phân tính diện tích, thể tích, quãng đường, vận tốc
Bài viết Ứng dụng của tích phân tính diện tích, thể tích, quãng đường, vận tốc với phương pháp giải chi tiết giúp học sinh ôn tập, biết cách làm bài tập Ứng dụng của tích phân tính diện tích, thể tích, quãng đường, vận tốc.
(3 dạng) Ứng dụng của tích phân tính diện tích, thể tích, quãng đường, vận tốc
(199k) Xem Khóa học Toán 12 KNTTXem Khóa học Toán 12 CDXem Khóa học Toán 12 CTST
Bài giảng: Ứng dụng của tích phân tính diện tích, tính thể tích - Cô Nguyễn Phương Anh (Giáo viên VietJack)
Dạng 1. Diện tích hình phẳng
Dạng 1.1. Tính diện tích hình phẳng
1. Phương pháp giải
* Diện tích hình phẳng giới hạn bởi đồ thị hàm số y = f(x) liên tục trên đoạn [a;b] , trục hoành và hai đường thẳng x=a; x= b được xác định
* Diện tích hình phẳng giới hạn bởi đồ thị hàm số y = f(x); y = g(x) liên tục trên đoạn [a;b] và hai đường thẳng x=a; x= b được xác định
- Nếu trên đoạn [a; b], hàm số f(x) không đổi dấu thì:
- Diện tích của hình phẳng giới hạn bởi các đường x= g(y),x=h(y) và hai đường thẳng y = c; y= d được xác định:
2. Ví dụ minh họa
Ví dụ 1. Diện tích hình phẳng được giới hạn bởi các đường y= x2 + x − 1 và y = x4 + x − 1 là:
Lời giải:
Đáp án: D
Phương trình hoành độ giao điểm của đồ thị hàm số y = x2 + x − 1 và y = x4 + x − 1 là :
Ta có
Do đó
Ví dụ 2. Tính diện tích hình phẳng giới hạn bởi y = x2 − 4|x| + 3 và trục hoành?
Lời giải:
Đáp án: A
Phương trình hoành độ giao điểm
Do hàm số y= x2 − 4 |x| + 3 là hàm chẵn nên diện tích hình phẳng cần tính là:
Vậy
Ví dụ 3. Tính diện tích hình phẳng giới hạn bởi y = |x2 − 1|, y = |x| + 5
Lời giải:
Đáp án: D
Phương trình hoành độ giao điểm của hai đồ thị:
(Do hàm số y= |x|+ 5 là hàm số chẵn)
Bảng xét dấu
Vậy
Ví dụ 4. Diện tích của hình phẳng giới hạn bởi: (C): y = √x; d:y = x − 2; Ox là:
Lời giải:
Đáp án: A
* Phương trình hoành độ giao điểm của đường cong (C) với đường thẳng d là: √x = x − 2 ⇔ x = 4
*Phương trình hoành độ giao điểm của đường cong (C) với trục hoành là: √x = 0 ⇔ x = 0
* Phương trình hoành độ giao điểm của đường thẳng d với trục hoành là: x − 2 = 0 ⇔ x= 2
Diện tích hình phẳng cần tìm là:
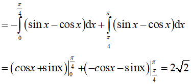
Ví dụ 5. Diện tích hình phẳng giới hạn bởi y = sinx, y = cosx, x = 0; x = π là:
A.2. B.3. C.3√2. D. 2√2.
Lời giải:
Đáp án: D
Phương trình hoành độ giao điểm của hai đồ thị hàm số y= sinx, y= cosx là:
Vì x ∈ [0; π] nên
.
Ta có:
Do đó:
Dạng 1.2. Tìm tham số m để diện tích hình phẳng bằng S0
1. Phương pháp giải
+ Bước 1. Tính diện tích hình phẳng (H).
+ Bước 2. Lập phương trình ẩn m, giải m.
2. Ví dụ minh họa
Ví dụ 1. Diện tích hình phẳng giới hạn bởi đồ thị y= m.x.cosx, trục Ox, x= 0 và x = π bằng 3π. Khi đó giá trị của m là:
A. m= − 3 B. m= 3 C. m = −4 D. ±3.
Lời giải:
Đáp án: D
Ta có diện tích hình phẳng cần tính là:
Đặt
Khi đó
Theo giả thiết S = 3π ⇔ r|m| = 3π ⇔ m = ±3 .
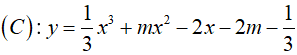
Ví dụ 2. Cho . Giá trị
sao cho hình phẳng giới hạn bởi đồ thị (C), y= 0; x= 0; x= 2 có diện tích bằng 4 là
Lời giải:
Đáp án: B
Với mọi
, xét hàm số
có
,
Mặt khác,
Do đó
Diện tích hình phẳng là:
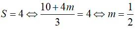
Theo giả thiết
Vậy
Ví dụ 3. Diện tích hình phẳng giới hạn bởi hai đường cong y2 = ax, x2 = ay ( a > 0) là 3. Tìm a.
A. 1 B. 2 C. 3 D. 6
Lời giải:
Đáp án: C
Hệ phương trình tọa độ giao điểm của 2 đường cong trên là
Khi đó hình phẳng cần tìm được tạo bởi đồ thị các hàm số: và các đường thẳng x= 0; x= a (a > 0).
Diện tích hình phẳng cần tìm là:
Theo giả thiết, diện tích hình phẳng giới hạn bởi hai đường cong đã cho là 3 nên ta có: . Mà a > 0 nên a= 3.
Dạng 2. Thể tích vật thể và thể tích khối tròn xoay
1. Phương pháp giải
a. Thể tích vật thể
Gọi B là phần vật thể giới hạn bởi hai mặt phẳng vuông góc với trục Ox tại các điểm a và b; S(x) là diện tích thiết diện của vật thể bị cắt bởi mặt phẳng vuông góc với trục Ox tại điểm a a ≤ x ≤ b. Giả sử S(x) là hàm số liên tục trên đoạn [a; b]. Thể tích của B là:
b. Thể tích khối tròn xoay
Cho hàm số y= f(x) liên tục; không âm trên [a;b]. Hình phẳng giới hạn bởi đồ thị hàm số y=f(x); trục hoành và hai đường thẳng x=a; x=b quay quanh trục Ox tạo nên một khối tròn xoay. Thể tích của nó là:
- Thể tích khối tròn xoay được sinh ra khi quay hình phẳng giới hạn bởi các đường x= g(y), trục tung và hai đường thẳng y=c; y= d quay quanh trục Oy là:
- Thể tích khối tròn xoay được sinh ra khi quay hình phẳng giới hạn bởi các đường y= f(x); y= g(x) và hai đường thẳng x=a; x= b quay quanh trục Ox:
2. Ví dụ minh họa
Ví dụ 1. Thể tích khối tròn xoay được giới hạn bởi các đường y = (1 − x2); y = 0; x = 0 và x= 2 khi quay quanh trục Ox bằng:
Lời giải:
Đáp án: C
Thể tích khối tròn xoay được giới hạn bởi các đường y= (1 − x2); y = 0 ; x= 0 và x=2 khi quay quanh trục Ox là:
Ví dụ 2. Cho hình phẳng (H) được giới hạn bởi đường cong
, trục Ox và trục Oy. Thể tích của khối tròn xoay khi cho hình (H) quay quanh trục Ox là:
A. 3π. B. 4πln2. C. (3 − 4ln2)π. D. (4 − 3ln2)π.
Lời giải:
Đáp án: C
Phương trình hoành độ giao điểm:
Suy ra:
Ví dụ 3. Tính thể tích hình khối do hình phẳng giới hạn bởi các đường x = −y2 + 5; x = 3 − y quay quanh Oy
Lời giải:
Đáp án: A
Tung độ giao điểm −y2 + 5 = 3 − y ⇔ −y2 + y + 2 = 0
Vậy
Ví dụ 4. Thể tích khối tròn xoay giới hạn bởi y= lnx, y=0, x= e quay quanh trục Ox có kết quả là:
A. πe. B. π(e − 1). C. π(e − 2). D. π(e + 1).
Lời giải:
Đáp án: C
Xét phương trình: lnx = 0, x > 0 ⇔ x= 1 .
Thể tích khối tròn xoay cần tính là:
Đặt u = ln2x
Dạng 3. Ứng dụng của tích phân để tính quãng đường, vận tốc của chuyển động.
1. Phương pháp giải
* Cho vật chuyển động có phương trình vận tốc v= v(t). Quãng đường vật đi được từ t0 đến t1 là :
2. Ví dụ minh họa
Ví dụ 1. Một vật chuyển động chậm dần đều với vận tốc v(t)= 160 − 10t (m/s). Quãng đường mà vật chuyển động từ thời điểm t = 0 (s) đến thời điểm mà vật dừng lại là
A.1028 m B. 1280 m C. 1380 m D.1308 m
Lời giải:
Đáp án: B
Khi vật dừng lại thì v(t) = 160 − 10t ⇔ t = 16
Suy ra:
Ví dụ 2. Một chiếc ô tô chuyển động với vận tốc v(m/s), có gia tốc
. Vận tốc của ô tô sau 10 giây (làm tròn đến hàng đơn vị) là
A.4,6 m/s. B. 7,2 m/s C. 1,5 m/ s D. 2,2 m/s
Lời giải:
Đáp án: A
Vận tốc của ô tô sau 10 giây là:
Ví dụ 3. Một hạt proton di chuyển trong điện trường có biểu thức gia tốc ( theo cm2/s) là
(với t tính bằng giây).Tìm hàm vận tốc v theo t,biết rằng khi t=0 thì v=30 (cm/s)
Lời giải:
Đáp án: B
Do v(0) = 30, suy ra
Vậy, hàm
Ví dụ 4. Một vật chuyển động với vận tốc 10m/s thì tăng tốc với gia tốc a(t)= 3t +t2. Tính quãng đường vật đi được trong khoảng thời gian 10 giây kể từ lúc bắt đầu tăng tốc
Lời giải:
Đáp án: A
Hàm vận tốc:
Lấy mốc thời gian lúc tăng tốc => v(0)= 10 => C =10
Ta được:
Sau 10 giây, quãng đường vật đi được là:
Ví dụ 5. Gọi h(t) (cm) là mức nước trong bồn chứa sau khi bơm được t giây. Biết rằng
và lúc đầu bồn không có nước. Tìm mức nước ở bồn sau khi bơm nước được 6 giây (chính xác đến 0,01 cm)
A. 2,67 cm B. 2,66 cm C. 2,65 cm D. 2,68cm
Lời giải:
Đáp án: B
Hàm
Lúc t = 0, bồn không chứa nước.
Suy ra
Vậy, hàm
Mức nước trong bồn sau 6 giây là
Bài tập tự luyện
Bài 1. Một vật chuyển động trong 3 giờ với vận tốc v (km/h)phụ thuộc thời gian t (h) có đồ thị của vận tốc như hình vẽ bên. Trong khoảng thời gian 1 giờ kể từ khi bắt đầu chuyển động, đồ thị đó là một phần của đường parabol có đỉnh I(2;9) và trục đối xứng song song với trục tung, khoảng thời gian còn lại đồ thị là một đoạn thẳng song song với trục hoành. Tính quãng đường s mà vật di chuyển được trong 3 giờ đó (kết quả làm tròn hàng phần trăm).
Bài 2. Cho đồ thị biểu thị vận tốc của hai xe A và B khởi hành cùng một lúc, bên cạnh
nhau và trên cùng một con đường. Biết đồ thị biểu diễn vận tốc của xe A là một đường Parabol, đồ thị biểu diễn vận tốc của xe B là một đường thẳng ở hình bên. Hỏi sau khi đi được 3 giây, khoảng cách giữa hai xe là bao nhiêu mét?
Bài 3. Để đảm bảo an toàn khi lưu thông trên đường, các xe ô tô khi dừng đèn đỏ phải cách nhau tối thiểu 1m . Ô tô A đang chạy với vận tốc 16 /m s bỗng gặp ô tô B đang dừng đèn đỏ nên ô tô A chuyển động chậm dần đều với vận tốc v(t) = 16 – 4t(m/s) , trong đó t là khoảng thời gian tính bằng giây kể từ thời điểm ô tô A bắt đầu hãm phanh. Hỏi
rằng để hai ô tô A và B dừng lại đạt khoảng cách an toàn thì ô tô A phải hãm phanh khi cách ô tô B một khoảng tối thiểu là bao nhiêu mét?
Bài 4. Giả sử một vật từ trạng thái nghỉ t = 0 (s) chuyển động thẳng với vận tốc
vt = t(5 – t) (m/s). Tính quãng đường vật đi được cho tới khi nó dừng lại.
Bài 5. Một vật bắt đầu chuyển động với phương trình vận tốc là v(t) = . Hỏi từ lúc
bắt đầu chuyển động đến khi vật có tốc độ lớn nhất đã đi được quãng đường dài bao
nhiêu?
(199k) Xem Khóa học Toán 12 KNTTXem Khóa học Toán 12 CDXem Khóa học Toán 12 CTST
Xem thêm các dạng bài tập Toán lớp 12 ôn thi Tốt nghiệp có lời giải hay khác:
- Phương pháp tính nguyên hàm của các hàm số cơ bản (cực hay)
- Phương pháp tính nguyên hàm đổi biến số (cực hay)
- Phương pháp tính nguyên hàm từng phần (cực hay)
- Phương pháp tính tích phân cơ bản (cực hay)
- Cách tính tích phân bằng phương pháp đổi biến số (cực hay)
- Phương pháp tính tích phân từng phần (cực hay)
- Phương pháp tính tích phân hàm chứa dấu giá trị tuyệt đối (cực hay)
- Phương pháp tính tích phân hàm số chẵn, hàm số lẻ (cực hay)
Đã có app VietJack trên điện thoại, giải bài tập SGK, SBT Soạn văn, Văn mẫu, Thi online, Bài giảng....miễn phí. Tải ngay ứng dụng trên Android và iOS.
Theo dõi chúng tôi miễn phí trên mạng xã hội facebook và youtube:Nếu thấy hay, hãy động viên và chia sẻ nhé! Các bình luận không phù hợp với nội quy bình luận trang web sẽ bị cấm bình luận vĩnh viễn.
- Giải Tiếng Anh 12 Global Success
- Giải sgk Tiếng Anh 12 Smart World
- Giải sgk Tiếng Anh 12 Friends Global
- Lớp 12 Kết nối tri thức
- Soạn văn 12 (hay nhất) - KNTT
- Soạn văn 12 (ngắn nhất) - KNTT
- Giải sgk Toán 12 - KNTT
- Giải sgk Vật Lí 12 - KNTT
- Giải sgk Hóa học 12 - KNTT
- Giải sgk Sinh học 12 - KNTT
- Giải sgk Lịch Sử 12 - KNTT
- Giải sgk Địa Lí 12 - KNTT
- Giải sgk Giáo dục KTPL 12 - KNTT
- Giải sgk Tin học 12 - KNTT
- Giải sgk Công nghệ 12 - KNTT
- Giải sgk Hoạt động trải nghiệm 12 - KNTT
- Giải sgk Giáo dục quốc phòng 12 - KNTT
- Giải sgk Âm nhạc 12 - KNTT
- Giải sgk Mĩ thuật 12 - KNTT
- Lớp 12 Chân trời sáng tạo
- Soạn văn 12 (hay nhất) - CTST
- Soạn văn 12 (ngắn nhất) - CTST
- Giải sgk Toán 12 - CTST
- Giải sgk Vật Lí 12 - CTST
- Giải sgk Hóa học 12 - CTST
- Giải sgk Sinh học 12 - CTST
- Giải sgk Lịch Sử 12 - CTST
- Giải sgk Địa Lí 12 - CTST
- Giải sgk Giáo dục KTPL 12 - CTST
- Giải sgk Tin học 12 - CTST
- Giải sgk Hoạt động trải nghiệm 12 - CTST
- Giải sgk Âm nhạc 12 - CTST
- Lớp 12 Cánh diều
- Soạn văn 12 Cánh diều (hay nhất)
- Soạn văn 12 Cánh diều (ngắn nhất)
- Giải sgk Toán 12 Cánh diều
- Giải sgk Vật Lí 12 - Cánh diều
- Giải sgk Hóa học 12 - Cánh diều
- Giải sgk Sinh học 12 - Cánh diều
- Giải sgk Lịch Sử 12 - Cánh diều
- Giải sgk Địa Lí 12 - Cánh diều
- Giải sgk Giáo dục KTPL 12 - Cánh diều
- Giải sgk Tin học 12 - Cánh diều
- Giải sgk Công nghệ 12 - Cánh diều
- Giải sgk Hoạt động trải nghiệm 12 - Cánh diều
- Giải sgk Giáo dục quốc phòng 12 - Cánh diều
- Giải sgk Âm nhạc 12 - Cánh diều


Giải bài tập SGK & SBT
Tài liệu giáo viên
Sách
Khóa học
Thi online
Hỏi đáp

