Phương pháp tính tích phân hàm số chẵn, hàm số lẻ (cực hay)
Bài viết Phương pháp tính tích phân hàm số chẵn, hàm số lẻ với phương pháp giải chi tiết giúp học sinh ôn tập, biết cách làm bài tập Phương pháp tính tích phân hàm số chẵn, hàm số lẻ.
Phương pháp tính tích phân hàm số chẵn, hàm số lẻ (cực hay)
(199k) Xem Khóa học Toán 12 KNTTXem Khóa học Toán 12 CDXem Khóa học Toán 12 CTST
Bài giảng: Ứng dụng của tích phân tính diện tích, tính thể tích - Cô Nguyễn Phương Anh (Giáo viên VietJack)
1. Phương pháp giải
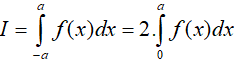
Cho hàm số y= f(x) xác định, liên tục trên đoạn [−a; a].
• Nếu hàm số y= f (x) là hàm số chẵn thì
• Nếu hàm số y= f(x) là hàm số lẻ thì
2. Ví dụ minh họa
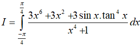
Ví dụ 1. Tính
Lời giải:
Đáp án: D
Xét hàm số
xác định với mọi x.
Ta có:
Suy ra, hàm số y= f(x ) là hàm số lẻ nên ta có:
Ví dụ 2. Tính
A. 10 B. 20 C. 100 D. Đáp án khác
Lời giải:
Đáp án: B
Ta có;
+ Tính
Xét hàm số
xác định và liên tục trên [−10; 10].
Ta có:
Suy ra: f(−x) = −f(x) nên hàm số y = f(x) là hàm số lẻ.
Do đó:
Ví dụ 4. Tính
Lời giải:
Đáp án: C
Xét hàm số y = x2 + 2cosx xác định và liên tục trên R
Ta có; f(−x) = (−x)2 + 2. cos(−x) = x2 + 2cosx
Suy ra: f(x) = f(−x) nên hàm số f(x) là hàm số chẵn
Do đó, ta có;
Ví dụ 5. Tính
Lời giải:
Đáp án: D
Ta có:
Trong đó :
Và
Xét hàm số
liên tục trên R.
Ta có:
Suy ra, f(−x) = −f(x) nên hàm số y = f(x) là hàm số lẻ.
Do đó, ta có:
Vậy
3. Bài tập tự luyện
Bài 1. Cho hàm số f(x) liên tục trên ℝ thỏa mãn f(x) + f(-x) = . Tính tích phân: .
Bài 2. Cho hàm số f(x) liên tục trên ℝ thỏa mãn f(x) + f(-x) = cos2x, ∀x ∈ ℝ. Tính tích phân: .
Bài 3. Cho hàm số f(x) liên tục trên ℝ thỏa mãn f(x) + f(-x) = x2, ∀x ∈ ℝ. Tính tích phân: .
Bài 4. Cho hàm số f(x) liên tục trên ℝ và số thực a dương. Biết rẳng với mọi x ∈ [0;a] thì f(x) > 0 và f(x).f(a – x) = 1. Tính tích phân: .
Bài 5. Cho hàm số f(x) liên tục trên [0;1] thỏa mãn f(x) + 2f(1 - x) = 3x, ∀x ∈ ℝ. Tính tích phân: .
Bài 6. Tính tích phân: .
Bài 7. Cho hàm số y = f(x) liên tục trên ℝ và hàm số chẵn thỏa mãn . Tính tích phân: .
Bài 8. Cho f(x) là hàm số chẵn trên ℝ và k > 0. Tính tích phân .
Bài 9. Tính tích phân .
Bài 10. Tính tích phân .
(199k) Xem Khóa học Toán 12 KNTTXem Khóa học Toán 12 CDXem Khóa học Toán 12 CTST
Xem thêm các dạng bài tập Toán lớp 12 ôn thi Tốt nghiệp có lời giải hay khác:
- Phương pháp tính nguyên hàm của các hàm số cơ bản (cực hay)
- Phương pháp tính nguyên hàm đổi biến số (cực hay)
- Phương pháp tính nguyên hàm từng phần (cực hay)
- Phương pháp tính tích phân cơ bản (cực hay)
- Cách tính tích phân bằng phương pháp đổi biến số (cực hay)
- Phương pháp tính tích phân từng phần (cực hay)
- Phương pháp tính tích phân hàm chứa dấu giá trị tuyệt đối (cực hay)
- 3 ứng dụng của tích phân: tính diện tích, thể tích, quãng đường, vận tốc (cực hay)
Đã có app VietJack trên điện thoại, giải bài tập SGK, SBT Soạn văn, Văn mẫu, Thi online, Bài giảng....miễn phí. Tải ngay ứng dụng trên Android và iOS.
Theo dõi chúng tôi miễn phí trên mạng xã hội facebook và youtube:Nếu thấy hay, hãy động viên và chia sẻ nhé! Các bình luận không phù hợp với nội quy bình luận trang web sẽ bị cấm bình luận vĩnh viễn.
- Giải Tiếng Anh 12 Global Success
- Giải sgk Tiếng Anh 12 Smart World
- Giải sgk Tiếng Anh 12 Friends Global
- Lớp 12 Kết nối tri thức
- Soạn văn 12 (hay nhất) - KNTT
- Soạn văn 12 (ngắn nhất) - KNTT
- Giải sgk Toán 12 - KNTT
- Giải sgk Vật Lí 12 - KNTT
- Giải sgk Hóa học 12 - KNTT
- Giải sgk Sinh học 12 - KNTT
- Giải sgk Lịch Sử 12 - KNTT
- Giải sgk Địa Lí 12 - KNTT
- Giải sgk Giáo dục KTPL 12 - KNTT
- Giải sgk Tin học 12 - KNTT
- Giải sgk Công nghệ 12 - KNTT
- Giải sgk Hoạt động trải nghiệm 12 - KNTT
- Giải sgk Giáo dục quốc phòng 12 - KNTT
- Giải sgk Âm nhạc 12 - KNTT
- Giải sgk Mĩ thuật 12 - KNTT
- Lớp 12 Chân trời sáng tạo
- Soạn văn 12 (hay nhất) - CTST
- Soạn văn 12 (ngắn nhất) - CTST
- Giải sgk Toán 12 - CTST
- Giải sgk Vật Lí 12 - CTST
- Giải sgk Hóa học 12 - CTST
- Giải sgk Sinh học 12 - CTST
- Giải sgk Lịch Sử 12 - CTST
- Giải sgk Địa Lí 12 - CTST
- Giải sgk Giáo dục KTPL 12 - CTST
- Giải sgk Tin học 12 - CTST
- Giải sgk Hoạt động trải nghiệm 12 - CTST
- Giải sgk Âm nhạc 12 - CTST
- Lớp 12 Cánh diều
- Soạn văn 12 Cánh diều (hay nhất)
- Soạn văn 12 Cánh diều (ngắn nhất)
- Giải sgk Toán 12 Cánh diều
- Giải sgk Vật Lí 12 - Cánh diều
- Giải sgk Hóa học 12 - Cánh diều
- Giải sgk Sinh học 12 - Cánh diều
- Giải sgk Lịch Sử 12 - Cánh diều
- Giải sgk Địa Lí 12 - Cánh diều
- Giải sgk Giáo dục KTPL 12 - Cánh diều
- Giải sgk Tin học 12 - Cánh diều
- Giải sgk Công nghệ 12 - Cánh diều
- Giải sgk Hoạt động trải nghiệm 12 - Cánh diều
- Giải sgk Giáo dục quốc phòng 12 - Cánh diều
- Giải sgk Âm nhạc 12 - Cánh diều


Giải bài tập SGK & SBT
Tài liệu giáo viên
Sách
Khóa học
Thi online
Hỏi đáp

