Phương pháp tính nguyên hàm đổi biến số (cực hay)
Bài viết Phương pháp tính nguyên hàm đổi biến số với phương pháp giải chi tiết giúp học sinh ôn tập, biết cách làm bài tập Phương pháp tính nguyên hàm đổi biến số.
Phương pháp tính nguyên hàm đổi biến số (cực hay)
(199k) Xem Khóa học Toán 12 KNTTXem Khóa học Toán 12 CDXem Khóa học Toán 12 CTST
Để tìm nguyên hàm của hàm số ta có thể dùng phương pháp đổi biến số. Phương pháp này chúng ta có hai hướng đổi biến số:
+ Hướng 1:
• Bước 1: Chọn t = φ(x) . Trong đó φ(x) là hàm số mà ta chọn thích hợp .
• Bước 2: Tính vi phân hai vế: dt = φ'(t)dt .
• Bước 3: Biểu thị: f(x)dx = f[φ(t)]φ'(t)dt = g(t)dt .
• Bước 4: Khi đó:
*Hướng 2:
• Bước 1: Chọn x = φ(t), trong đó φ(t) là hàm số mà ta chọn thích hợp .
• Bước 2: Lấy vi phân hai vế: dx = φ'(t)dt
• Bước 3: Biến đổi: f(x)dx = f[φ(t)]φ'(t)dt = g(t)dt
• Bước 4: Khi đó tính: .
Dạng 2.1. Hàm đa thức
2. Ví dụ minh họa
Ví dụ 1. Nguyên hàm của hàm số f(x) = ( 3x + 2)3 là:
Lời giải:
Đáp án: C
Ta có:
Đặt t = 3x + 2; khi đó ta có;
Ví dụ 2. Nguyên hàm của hàm số f(x)= (1 − 2x)5 là:
Lời giải:
Đáp án: A
Đặt t = 1 − 2x, khi đó ta có:
Ví dụ 3. Tính nguyên hàm
Lời giải:
Đáp án: B
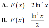
Đặt t = x2 + 2x + 5 , khi đó ta có:
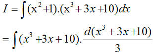
Ví dụ 4. Tính
Lời giải:
Đáp án: A
Ta có:
Đặt t = x3 + 3x + 10, khi đó (*) trở thành:
Ví dụ 5. Tính
Lời giải:
Đáp án: C
Ta có:
Đặt , khi đó (*) trở thành:
Dạng 2.2. Hàm phân thức
2. Ví dụ minh họa
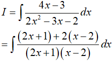
Ví dụ 1. Tính
Lời giải:
Đáp án: A
Ta có:
Đặt t = x2 + 1, khi đó (*) trở thành:
Ví dụ 2. Cho . Khi đó S = a + b + c bằng
Lời giải:
Đáp án: B
Ví dụ 3. Nguyên hàm của có dạng F(x) =
− ln|x2 + bx + 1| +
ln(x2 + c) + C. Khi đó P = (a + b + 2c)b4 bằng
Lời giải:
Đáp án: D
Ta có:
Vậy
Ví dụ 4. Tìm hàm số f(x) = x2 + ax + ln|bx + 1| + c biết và f(0) = 1. Khi đó S = (2a − b)3. c bằng
Lời giải:
Đáp án: A
Ta có:
Vì
Mà
Suy ra, a= 1, b= 2, c= 1 nên S = (2a − b)3 . c = 0
Ví dụ 5. . Khi đó
bằng
A. 2 B. −2 C. 4 D. 3
Lời giải:
Đáp án: C
Dạng 2.3. Hàm chứa căn thức
1. Phương pháp giải
Dấu hiệu |
Cách chọn |
√(a2 − x2) |
Đặt x = |a|. sint; với |
√(x2 − a2) |
Đặt |
√(a2 + a2) |
Đặt x= |a|. tant; với |
|
Đặt x= acos2t |
Đặt x = a + (b − a)sin2t |
2. Ví dụ minh họa
Ví dụ 1. Kết quả của là:
Lời giải:
Đáp án: D
Đặt
Ví dụ 2. Một nguyên hàm của hàm số y = x√(1 + x2) là:
Lời giải:
Đáp án: D
Đặt
Vậy
Ví dụ 3. Nguyên hàm của hàm số: là:
Lời giải:
Đáp án: C
Đặt t = 1 − 4x, khi đó(*) trở thành :
Ví dụ 4. Một nguyên hàm của hàm số: là:
Lời giải:
Đáp án: B
Đặt √(2 − x2) = t => x2 = 2 − t2 => xdx = −tdt
Ví dụ 5. Cho . Tính S = logb2a + logab + 2016?
A. 2018 B. 2020 C. 2025 D. 2030
Lời giải:
Đáp án: A
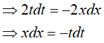
Đặt √(x2 + 3) => t2 = x2 + 3 => 2tdt = 2xdx => xdx = tdt
Suy ra:
Do đó, b = 3, a = 3
Vậy S = logb2a + logab + 2016 = 2018
Dạng 2.4. Hàm lượng giác
2. Ví dụ minh họa
Ví dụ 1. Tìm
Lời giải:
Đáp án: C
Ta có :
Đặt t = sinx + 1, từ (*) suy ra:
Ví dụ 2. Tìm
Lời giải:
Đáp án: C
Đặt t= sin x, khi đó (*) trở thành:
Ví dụ 3. Tìm
Lời giải:
Đáp án: C
Vì lũy thừa của sin là số lẻ nên ta đổi biến u = cosx => du = (cosx)'dx.
Ví dụ 4. Tìm nguyên hàm:
Lời giải:
Đáp án: D
Ta có:
Đặt u= tanx => . Khi đó, từ (*) ta suy ra:
Ví dụ 5. Tìm
Lời giải:
Đáp án: D
Ta có:
Đặt
, với
Dạng 2.5. Hàm mũ, logarit
2. Ví dụ minh họa
Ví dụ 1. Trong các hàm số sau đây, hàm số nào là một nguyên hàm của
Lời giải:
Đáp án: B
Đặt t= 2x+ 2016, khi đó (*) trở thành:
Ví dụ 2. Tìm
Lời giải:
Đáp án: B
Đặt t= 3x − 3, khi đó (*) trở thành:
Ví dụ 3. Một nguyên hàm của hàm số
Lời giải:
Đáp án: C
Đặt t= 7x3 + 1, khi đó (*) trở thành:
Ví dụ 4. Trong các mệnh đề sau đây mệnh đề nào đúng ?
A. Chỉ (I). B. Chỉ (III). C. Chỉ (I) và (II). D. Chỉ (I) và (III).
Lời giải:
Đáp án: D
Ta tìm nguyên hàm của các hàm số:
(I):
(II):
(III):
Do đó, (I) và (III) đúng.
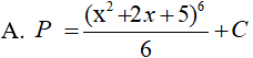
Ví dụ 5. Một nguyên hàm của hàm số
Lời giải:
Đáp án: D
Ta có:
Đặt t = lnx, khi đó (*) trở thành:
Bài tập tự luyện
Bài 1. Tìm nguyên hàm: .
Bài 2. Tìm nguyên hàm: .
Bài 3. Tìm nguyên hàm: .
Bài 4. Tìm nguyên hàm: .
Bài 5. Tìm nguyên hàm: .
Bài giảng: Cách làm bài tập nguyên hàm và phương pháp tìm nguyên hàm của hàm số cực nhanh - Cô Nguyễn Phương Anh (Giáo viên VietJack)
(199k) Xem Khóa học Toán 12 KNTTXem Khóa học Toán 12 CDXem Khóa học Toán 12 CTST
Xem thêm các dạng bài tập Toán lớp 12 ôn thi Tốt nghiệp có lời giải hay khác:
- Phương pháp tính nguyên hàm của các hàm số cơ bản (cực hay)
- Phương pháp tính nguyên hàm từng phần (cực hay)
- Phương pháp tính tích phân cơ bản (cực hay)
- Cách tính tích phân bằng phương pháp đổi biến số (cực hay)
- Phương pháp tính tích phân từng phần (cực hay)
- Phương pháp tính tích phân hàm chứa dấu giá trị tuyệt đối (cực hay)
- Phương pháp tính tích phân hàm số chẵn, hàm số lẻ (cực hay)
- 3 ứng dụng của tích phân: tính diện tích, thể tích, quãng đường, vận tốc (cực hay)
Đã có app VietJack trên điện thoại, giải bài tập SGK, SBT Soạn văn, Văn mẫu, Thi online, Bài giảng....miễn phí. Tải ngay ứng dụng trên Android và iOS.
Theo dõi chúng tôi miễn phí trên mạng xã hội facebook và youtube:Nếu thấy hay, hãy động viên và chia sẻ nhé! Các bình luận không phù hợp với nội quy bình luận trang web sẽ bị cấm bình luận vĩnh viễn.
- Giải Tiếng Anh 12 Global Success
- Giải sgk Tiếng Anh 12 Smart World
- Giải sgk Tiếng Anh 12 Friends Global
- Lớp 12 Kết nối tri thức
- Soạn văn 12 (hay nhất) - KNTT
- Soạn văn 12 (ngắn nhất) - KNTT
- Giải sgk Toán 12 - KNTT
- Giải sgk Vật Lí 12 - KNTT
- Giải sgk Hóa học 12 - KNTT
- Giải sgk Sinh học 12 - KNTT
- Giải sgk Lịch Sử 12 - KNTT
- Giải sgk Địa Lí 12 - KNTT
- Giải sgk Giáo dục KTPL 12 - KNTT
- Giải sgk Tin học 12 - KNTT
- Giải sgk Công nghệ 12 - KNTT
- Giải sgk Hoạt động trải nghiệm 12 - KNTT
- Giải sgk Giáo dục quốc phòng 12 - KNTT
- Giải sgk Âm nhạc 12 - KNTT
- Giải sgk Mĩ thuật 12 - KNTT
- Lớp 12 Chân trời sáng tạo
- Soạn văn 12 (hay nhất) - CTST
- Soạn văn 12 (ngắn nhất) - CTST
- Giải sgk Toán 12 - CTST
- Giải sgk Vật Lí 12 - CTST
- Giải sgk Hóa học 12 - CTST
- Giải sgk Sinh học 12 - CTST
- Giải sgk Lịch Sử 12 - CTST
- Giải sgk Địa Lí 12 - CTST
- Giải sgk Giáo dục KTPL 12 - CTST
- Giải sgk Tin học 12 - CTST
- Giải sgk Hoạt động trải nghiệm 12 - CTST
- Giải sgk Âm nhạc 12 - CTST
- Lớp 12 Cánh diều
- Soạn văn 12 Cánh diều (hay nhất)
- Soạn văn 12 Cánh diều (ngắn nhất)
- Giải sgk Toán 12 Cánh diều
- Giải sgk Vật Lí 12 - Cánh diều
- Giải sgk Hóa học 12 - Cánh diều
- Giải sgk Sinh học 12 - Cánh diều
- Giải sgk Lịch Sử 12 - Cánh diều
- Giải sgk Địa Lí 12 - Cánh diều
- Giải sgk Giáo dục KTPL 12 - Cánh diều
- Giải sgk Tin học 12 - Cánh diều
- Giải sgk Công nghệ 12 - Cánh diều
- Giải sgk Hoạt động trải nghiệm 12 - Cánh diều
- Giải sgk Giáo dục quốc phòng 12 - Cánh diều
- Giải sgk Âm nhạc 12 - Cánh diều


Giải bài tập SGK & SBT
Tài liệu giáo viên
Sách
Khóa học
Thi online
Hỏi đáp

