Phương pháp tính nguyên hàm từng phần (cực hay)
Bài viết Phương pháp tính nguyên hàm từng phần với phương pháp giải chi tiết giúp học sinh ôn tập, biết cách làm bài tập Phương pháp tính nguyên hàm từng phần.
Phương pháp tính nguyên hàm từng phần (cực hay)
(199k) Xem Khóa học Toán 12 KNTTXem Khóa học Toán 12 CDXem Khóa học Toán 12 CTST
Dạng 3.1. Nguyên hàm có dạng:
trong đó P(x)là đa thức
1. Phương pháp giải
Đặt
Vậy:
2. Ví dụ minh họa
Ví dụ 1. Tìm
Lời giải:
Đáp án: A
Đặt
Ví dụ 2. Một nguyên hàm của hàm số: f(x) = xsin√(1 + x2) là:
Lời giải:
Đáp án: A
* Xét:
Dùng phương pháp đổi biến: đặt
ta được
* Dùng phương pháp nguyên hàm từng phần để tính (*):
Đặt
Ta được
Ví dụ 3. Tìm nguyên hàm
Lời giải:
Đáp án: D
Đặt x − 1 = u => dx = du.
Khi đó
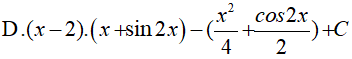
Ví dụ 4. Tìm nguyên hàm của hàm số: y = 2(x − 2) .sin2x
Lời giải:
Đáp án: A
Ta có: 2(x − 2).sin2x = (x − 2).(1 − cos2x) vì (cos2x= 1 − 2sin2x)
Do đó,
Đặt
Suy ra,
Ví dụ 5. Tính
Lời giải:
Đáp án: D
Đặt t = √x => t2 = x => 2tdt = dx. Ta được
Đặt
Do đó,
Dạng 3.2. Nguyên hàm có dạng
Trong đó P(x) là đa thức
1. Phương pháp giải
Đặt
Vậy:
2. Ví dụ minh họa
Ví dụ 1. Tính
Lời giải:
Đáp án: C
Dùng phương pháp từng phần:
Đặt:
Ví dụ 2. Một nguyên hàm của hàm số y = 2x.(ex − 1) là:
Lời giải:
Đáp án: A
Ta có:
Đặt
Ví dụ 3. Tìm nguyên hàm của hàm số f(x) = (x2 − 1)ex
Lời giải:
Đáp án: A
Đặt
Suy ra
Đặt
Suy ra
Ví dụ 4. Tìm
Lời giải:
Đáp án: A
Sử dụng phương pháp tính nguyên hàm từng phần, ta có:
Đặt u = 3x2 − x + 1 và dv = exdx
=> du = (6x − 1)dx và v = ex. Do đó:
Đặt u1 = 6x − 1 và dv1 = exdx ta có du1 = 6dx và v1 = ex. Do đó:
Từ đó suy ra:
Ví dụ 5. Tìm
Lời giải:
Đáp án: A
Đặt
Ta có:
Dạng 3.3. Nguyên hàm có dạng:
trong đó P(x) là đa thức
1. Phương pháp giải
Đặt
Vậy
2. Ví dụ minh họa
Ví dụ 1. Chọn câu khẳng định sai?
Lời giải:
Đáp án: A
* Xét phương án A:
Đặt
Do đó phương án A sai .
Ví dụ 2. Một nguyên hàm của hàm số là:
Lời giải:
Đáp án: C
Ta có:
Đặt
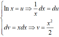
Ví dụ 3. Nguyên hàm của hàm số y= x.lnx là
Lời giải:
Đáp án: B
Ta có:
Đặt
Theo phương pháp nguyên hàm từng phần ta có
Ví dụ 4. Nguyên hàm của hàm số là
Lời giải:
Đáp án: C
Ta có:
Ví dụ 5. Nguyên hàm là
Lời giải:
Đáp án: A
Ta có:
Dạng 3.4. Nguyên hàm có dạng:
1. Phương pháp giải
Đặt
Vậy
Bằng phương pháp tương tự ta tính được sau đó thay vào I.
2. Ví dụ minh họa
Ví dụ 1. Tìm là
Lời giải:
Đáp án: A
Đặt
Ta có:
* Ta tính
Đặt
Suy ra,
Thay (2) vào (1) ta được:
Ví dụ 2. Tìm là
Lời giải:
Đáp án: C
Đặt
Ta có:
* Ta tính
Đặt
Suy ra,
Thay (2) vào (1) ta được:
Ví dụ 3. Tính là
Lời giải:
Đáp án: B
Ta có:
* Ta tìm
Đặt
Suy ra,
Trong đó,
Đặt
Ta có:
Thay (3) vào (2) ta được:
Thay vào (1) ta được:
Dạng 3.5. Các dạng khác
2. Ví dụ minh họa
Ví dụ 1. Cho F(x) = (x − 1).ex là một nguyên hàm của hàm số f(x). e2x. Tìm nguyên hàm của hàm số f’(x). e2x.
Lời giải:
Đáp án: C
Cách 1: Sử dụng tính chất của nguyên hàm
Từ giả thiết, ta có:
Suy ra
Vậy
Đặt
Cách 2: Sử dụng công thức nguyên hàm từng phần.
Ta có:
Từ giả thiết:
Vậy
Ví dụ 2. Cho F(x)= x2 là một nguyên hàm của hàm số f(x).e2x. Tìm nguyên hàm của hàm số f’(x). e2x?
Lời giải:
Đáp án: D
Cách 1: Sử dụng tính chất của nguyên hàm
Từ giả thiết, ta có
Suy ra
Vậy
Cách 2: Sử dụng công thức nguyên hàm từng phần.
Ta có
Từ giả thiết:
Vậy
Ví dụ 3. Cho là một nguyên hàm của hàm số
. Tìm nguyên hàm của hàm số f’(x). lnx
Lời giải:
Đáp án: A
Từ giả thiết
Đặt
Đặt
Ví dụ 4. Giả sử F(x) là một nguyên hàm của hàm số
. Biết F(1) = 0. Vậy F(x) bằng:
Lời giải:
Đáp án: B
Ta có
Mà F(1)= 0 nên
Ví dụ 5. Gọi F(x) là một nguyên hàm của hàm số f(x) = x + ln(x + 1) . Biết F(0) = 1, vậy F(x) bằng:
Lời giải:
Đáp án: A
Ta có
Lại có F(0) = 1 => C = 1
Vậy
Bài tập tự luyện
Bài 1. Tìm nguyên hàm: .
Bài 2. Tìm nguyên hàm: .
Bài 3. Tìm nguyên hàm: .
Bài 4. Tìm nguyên hàm: .
Bài 5. Tìm nguyên hàm: .
Bài giảng: Cách làm bài tập nguyên hàm và phương pháp tìm nguyên hàm của hàm số cực nhanh - Cô Nguyễn Phương Anh (Giáo viên VietJack)
(199k) Xem Khóa học Toán 12 KNTTXem Khóa học Toán 12 CDXem Khóa học Toán 12 CTST
Xem thêm các dạng bài tập Toán lớp 12 ôn thi Tốt nghiệp có lời giải hay khác:
- Phương pháp tính nguyên hàm của các hàm số cơ bản (cực hay)
- Phương pháp tính nguyên hàm đổi biến số (cực hay)
- Phương pháp tính tích phân cơ bản (cực hay)
- Cách tính tích phân bằng phương pháp đổi biến số (cực hay)
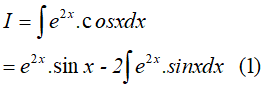
- Phương pháp tính tích phân từng phần (cực hay)
- Phương pháp tính tích phân hàm chứa dấu giá trị tuyệt đối (cực hay)
- Phương pháp tính tích phân hàm số chẵn, hàm số lẻ (cực hay)
- 3 ứng dụng của tích phân: tính diện tích, thể tích, quãng đường, vận tốc (cực hay)
Đã có app VietJack trên điện thoại, giải bài tập SGK, SBT Soạn văn, Văn mẫu, Thi online, Bài giảng....miễn phí. Tải ngay ứng dụng trên Android và iOS.
Theo dõi chúng tôi miễn phí trên mạng xã hội facebook và youtube:Nếu thấy hay, hãy động viên và chia sẻ nhé! Các bình luận không phù hợp với nội quy bình luận trang web sẽ bị cấm bình luận vĩnh viễn.
- Giải Tiếng Anh 12 Global Success
- Giải sgk Tiếng Anh 12 Smart World
- Giải sgk Tiếng Anh 12 Friends Global
- Lớp 12 Kết nối tri thức
- Soạn văn 12 (hay nhất) - KNTT
- Soạn văn 12 (ngắn nhất) - KNTT
- Giải sgk Toán 12 - KNTT
- Giải sgk Vật Lí 12 - KNTT
- Giải sgk Hóa học 12 - KNTT
- Giải sgk Sinh học 12 - KNTT
- Giải sgk Lịch Sử 12 - KNTT
- Giải sgk Địa Lí 12 - KNTT
- Giải sgk Giáo dục KTPL 12 - KNTT
- Giải sgk Tin học 12 - KNTT
- Giải sgk Công nghệ 12 - KNTT
- Giải sgk Hoạt động trải nghiệm 12 - KNTT
- Giải sgk Giáo dục quốc phòng 12 - KNTT
- Giải sgk Âm nhạc 12 - KNTT
- Giải sgk Mĩ thuật 12 - KNTT
- Lớp 12 Chân trời sáng tạo
- Soạn văn 12 (hay nhất) - CTST
- Soạn văn 12 (ngắn nhất) - CTST
- Giải sgk Toán 12 - CTST
- Giải sgk Vật Lí 12 - CTST
- Giải sgk Hóa học 12 - CTST
- Giải sgk Sinh học 12 - CTST
- Giải sgk Lịch Sử 12 - CTST
- Giải sgk Địa Lí 12 - CTST
- Giải sgk Giáo dục KTPL 12 - CTST
- Giải sgk Tin học 12 - CTST
- Giải sgk Hoạt động trải nghiệm 12 - CTST
- Giải sgk Âm nhạc 12 - CTST
- Lớp 12 Cánh diều
- Soạn văn 12 Cánh diều (hay nhất)
- Soạn văn 12 Cánh diều (ngắn nhất)
- Giải sgk Toán 12 Cánh diều
- Giải sgk Vật Lí 12 - Cánh diều
- Giải sgk Hóa học 12 - Cánh diều
- Giải sgk Sinh học 12 - Cánh diều
- Giải sgk Lịch Sử 12 - Cánh diều
- Giải sgk Địa Lí 12 - Cánh diều
- Giải sgk Giáo dục KTPL 12 - Cánh diều
- Giải sgk Tin học 12 - Cánh diều
- Giải sgk Công nghệ 12 - Cánh diều
- Giải sgk Hoạt động trải nghiệm 12 - Cánh diều
- Giải sgk Giáo dục quốc phòng 12 - Cánh diều
- Giải sgk Âm nhạc 12 - Cánh diều


Giải bài tập SGK & SBT
Tài liệu giáo viên
Sách
Khóa học
Thi online
Hỏi đáp

