Phương pháp tính nguyên hàm của các hàm số cơ bản (cực hay)
Bài viết Phương pháp tính nguyên hàm của các hàm số cơ bản với phương pháp giải chi tiết giúp học sinh ôn tập, biết cách làm bài tập Phương pháp tính nguyên hàm của các hàm số cơ bản.
Phương pháp tính nguyên hàm của các hàm số cơ bản (cực hay)
(199k) Xem Khóa học Toán 12 KNTTXem Khóa học Toán 12 CDXem Khóa học Toán 12 CTST
Bài giảng: Cách làm bài tập nguyên hàm và phương pháp tìm nguyên hàm của hàm số cực nhanh - Cô Nguyễn Phương Anh (Giáo viên VietJack)
Dạng 1.1. Hàm đa thức
1. Phương pháp giải
Để tính nguyên hàm của các hàm đa thức ta cần sử dụng các công thức sau:
Trong đó, k là hằng số.
2. Ví dụ minh họa
Ví dụ 1. Họ nguyên hàm của hàm số f(x)= x2 − 2x + x−2 là
Lời giải:
Đáp án: C
Ví dụ 2. Trong các hàm số sau đây, hàm số nào là một nguyên hàm của hàm số:
Lời giải:
Đáp án: D
Ta có:
Ví dụ 3. Nguyên hàm F(x) của hàm số là
Lời giải:
Đáp án: A
Ví dụ 4. Nguyên hàm F(x) của hàm số là
Lời giải:
Đáp án: A
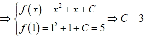
Ví dụ 5. Tìm hàm số f(x) biết rằng f'(x) = 2x + 1 và f(1) = 5?
A. x2 + x + 3 B. x2 + x − 3 C. x2 + x D. x2 − x.
Lời giải:
Đáp án: A
Theo giả thiết ta có:
Vậy hàm số cần tìm là f(x) = x2 + x + 3
Dạng 1.2. Hàm phân thức
1. Phương pháp giải
Để tìm nguyên hàm của các hàm phân thức ta cần sử dụng các công thức sau:
2. Ví dụ minh họa
Ví dụ 1. Cho Khi đó tổng S = A + B + C bằng
Lời giải:
Đáp án: B
=> A(x − 5)(x + 4) + B(x + 2)(x + 4) + C(x + 2)(x − 5) = 1
Ví dụ 2. Tìm là:
Lời giải:
Đáp án: B
Ví dụ 3. Cho Khi đó P = 2a + b bằng:
A. 0 B. 1 C. 2 D. 3
Lời giải:
Đáp án: B
Ta có:
Suy ra a = −1; b = 3 => P = 2a + b = 1
Ví dụ 4. Cho . Khi đó P = 2(a + b)c bằng
A. 2 B. −2 C. 1 D. 0
Lời giải:
Đáp án: D
Suy ra a = −1; b = 3 => P = 2a + b = 1
Ví dụ 5. Tìm hàm số f(x)= x2 + ax + ln |bx+ 1| + c biết và f(0) = 1. Khi đó S = (2a − b)3.c bằng
Lời giải:
Đáp án: A
Ta có:
Mà f(0) = 1 nên c = 1. Khi đó, f(x)= x2 + x+ ln|2x+ 1| +1
Suy ra, a = 1, b = 2 và c = 1 nên S = (2a − b)3c= 0
Dạng 1.3. Hàm chứa căn thức
1. Phương pháp giải
Để tìm nguyên hàm của các hàm chứa căn thức ta cần linh hoạt sử dụng các công thức sau:
2. Ví dụ minh họa
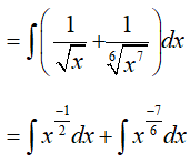
Ví dụ 1. Tìm nguyên hàm của hàm số
Lời giải:
Đáp án: A
Ta có:
Ví dụ 2. Tìm
Lời giải:
Đáp án: C
Ví dụ 3. Tìm
Lời giải:
Đáp án: A
Ví dụ 4. Nguyên hàm của hàm số:
Lời giải:
Đáp án: A
Ta có:
Dạng 1.4. Hàm lượng giác
1. Phương pháp giải
Để tìm nguyên hàm của hàm số lượng giác ta cần sử dụng các công thức sau:
Ngoài ra, ta cần sử dụng các tính chất của nguyên hàm; các công thức cộng, công thức nhân đôi, công thức biến đổi tích thành tổng, công thức hạ bậc...
2. Ví dụ minh họa
Ví dụ 1. Nguyên hàm của hàm số f(x) = 4cos4x là
Lời giải:
Đáp án: A
Ta có:
Ví dụ 2. Tính , kết quả là:
Lời giải:
Đáp án: C
Ta có:
Ví dụ 3. Tính , kết quả là:
Lời giải:
Đáp án: C
Ví dụ 4. Một nguyên hàm của hàm số f(x) = sinx . cosxlà:
Lời giải:
Đáp án: D
Ví dụ 5. Một nguyên hàm của hàm số f(x)= cos5x. cosx là:
Lời giải:
Đáp án: C
Dạng 1.5. Hàm số mũ, logarit
1. Phương pháp giải
Để tìm nguyên hàm của các hàm số mũ ta cần sử dụng các công thức sau:
Ngoài ra, ta còn sử dụng tính chất của nguyên hàm, tính chất của lũy thừa, hàm số mũ.
2. Ví dụ minh họa
Ví dụ 1. Tìm
Lời giải:
Đáp án: A
Ví dụ 2. Nguyên hàm của hàm số f(x) = ex.( 2 − e−x ) là
A. 2ex + x + C. B. ex + e−x + C.
C. 2ex − x+ C. D. 2ex + 2x + C.
Lời giải:
Đáp án: C
Ví dụ 3. Nguyên hàm của hàm số là
Lời giải:
Đáp án: B
Ta có:
Ví dụ 4. Tính , kết quả là:
Lời giải:
Đáp án: D
Ta có:
Ví dụ 5. Kết quả nào sai trong các kết quả sau:
Lời giải:
Đáp án: A
Ta xét các phương án:
Vậy phương án A sai.
(199k) Xem Khóa học Toán 12 KNTTXem Khóa học Toán 12 CDXem Khóa học Toán 12 CTST
Xem thêm các dạng bài tập Toán lớp 12 ôn thi Tốt nghiệp có lời giải hay khác:
- Phương pháp tính nguyên hàm đổi biến số (cực hay)
- Phương pháp tính nguyên hàm từng phần (cực hay)
- Phương pháp tính tích phân cơ bản (cực hay)
- Cách tính tích phân bằng phương pháp đổi biến số (cực hay)
- Phương pháp tính tích phân từng phần (cực hay)
- Phương pháp tính tích phân hàm chứa dấu giá trị tuyệt đối (cực hay)
- Phương pháp tính tích phân hàm số chẵn, hàm số lẻ (cực hay)
- 3 ứng dụng của tích phân: tính diện tích, thể tích, quãng đường, vận tốc (cực hay)
Đã có app VietJack trên điện thoại, giải bài tập SGK, SBT Soạn văn, Văn mẫu, Thi online, Bài giảng....miễn phí. Tải ngay ứng dụng trên Android và iOS.
Theo dõi chúng tôi miễn phí trên mạng xã hội facebook và youtube:Nếu thấy hay, hãy động viên và chia sẻ nhé! Các bình luận không phù hợp với nội quy bình luận trang web sẽ bị cấm bình luận vĩnh viễn.
- Giải Tiếng Anh 12 Global Success
- Giải sgk Tiếng Anh 12 Smart World
- Giải sgk Tiếng Anh 12 Friends Global
- Lớp 12 Kết nối tri thức
- Soạn văn 12 (hay nhất) - KNTT
- Soạn văn 12 (ngắn nhất) - KNTT
- Giải sgk Toán 12 - KNTT
- Giải sgk Vật Lí 12 - KNTT
- Giải sgk Hóa học 12 - KNTT
- Giải sgk Sinh học 12 - KNTT
- Giải sgk Lịch Sử 12 - KNTT
- Giải sgk Địa Lí 12 - KNTT
- Giải sgk Giáo dục KTPL 12 - KNTT
- Giải sgk Tin học 12 - KNTT
- Giải sgk Công nghệ 12 - KNTT
- Giải sgk Hoạt động trải nghiệm 12 - KNTT
- Giải sgk Giáo dục quốc phòng 12 - KNTT
- Giải sgk Âm nhạc 12 - KNTT
- Giải sgk Mĩ thuật 12 - KNTT
- Lớp 12 Chân trời sáng tạo
- Soạn văn 12 (hay nhất) - CTST
- Soạn văn 12 (ngắn nhất) - CTST
- Giải sgk Toán 12 - CTST
- Giải sgk Vật Lí 12 - CTST
- Giải sgk Hóa học 12 - CTST
- Giải sgk Sinh học 12 - CTST
- Giải sgk Lịch Sử 12 - CTST
- Giải sgk Địa Lí 12 - CTST
- Giải sgk Giáo dục KTPL 12 - CTST
- Giải sgk Tin học 12 - CTST
- Giải sgk Hoạt động trải nghiệm 12 - CTST
- Giải sgk Âm nhạc 12 - CTST
- Lớp 12 Cánh diều
- Soạn văn 12 Cánh diều (hay nhất)
- Soạn văn 12 Cánh diều (ngắn nhất)
- Giải sgk Toán 12 Cánh diều
- Giải sgk Vật Lí 12 - Cánh diều
- Giải sgk Hóa học 12 - Cánh diều
- Giải sgk Sinh học 12 - Cánh diều
- Giải sgk Lịch Sử 12 - Cánh diều
- Giải sgk Địa Lí 12 - Cánh diều
- Giải sgk Giáo dục KTPL 12 - Cánh diều
- Giải sgk Tin học 12 - Cánh diều
- Giải sgk Công nghệ 12 - Cánh diều
- Giải sgk Hoạt động trải nghiệm 12 - Cánh diều
- Giải sgk Giáo dục quốc phòng 12 - Cánh diều
- Giải sgk Âm nhạc 12 - Cánh diều


Giải bài tập SGK & SBT
Tài liệu giáo viên
Sách
Khóa học
Thi online
Hỏi đáp

