Phương pháp tính tích phân từng phần (cực hay)
Bài viết Phương pháp tính tích phân từng phần với phương pháp giải chi tiết giúp học sinh ôn tập, biết cách làm bài tập Phương pháp tính tích phân từng phần.
Phương pháp tính tích phân từng phần (cực hay)
(199k) Xem Khóa học Toán 12 KNTTXem Khóa học Toán 12 CDXem Khóa học Toán 12 CTST
Dạng 4.1. Tích phân có dạng:
trong đó P(x) là đa thức
1. Phương pháp giải
Đặt
Vậy
2. Ví dụ minh họa
Ví dụ 1. Tính
A. π2 − 4 B. π2 + 4 C. 2π2 − 3 D. 2π2 + 3
Lời giải:
Đáp án: A
*Đặt
Khi đó:
Đặt
Khi đó:
Vậy: I = π2 + 2(−2) = π2 − 4
Ví dụ 2. Tính
Lời giải:
Đáp án: B
Ta có
Đặt
Ví dụ 3. Tính
Lời giải:
Đáp án: C
Ta có
Đặt
Đặt
Vậy
Ví dụ 4. Tính
Lời giải:
Đáp án: C
Ta có:
+ Tính
Đặt
+ Tính
Đặt x = π − t => dx = −dt
Đặt t = cosx => dt = −sinx.dx
, đặt t = tanu => dt = (1 + tan2u)du
Vậy
Dạng 4.2. Tích phân có dạng
trong đó P(x) là đa thức
1. Phương pháp giải
Đặt
Vậy
2. Ví dụ minh họa
Ví dụ 1. Tích phân
Lời giải:
Đáp án: A
Đặt u = x; dv = e−x.dx, suy ra du = dx; v = −e−x
Ví dụ 2. Tìm a > 0 sao cho
Lời giải:
Đáp án: D
Đặt u = x,
, suy ra du = dx,
Theo giả thiết ta có:
Ví dụ 3. Tính
Lời giải:
Đáp án: B
Đặt
Vậy
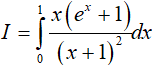
Ví dụ 4. Tính
A. 0 B.1 C. 2 D. 3
Lời giải:
Đáp án: B
Ta có
Đặt
Dạng 4.3. Tích phân có dạng:
1. Phương pháp giải
Đặt
Vậy
2. Ví dụ minh họa
Ví dụ 1. Tích phân
bằng:
Lời giải:
Đáp án: D
Đặt u = lnx, dv = (2x − 1)dx suy ra
, v = x2 − x
Ví dụ 2. Tính
Lời giải:
Đáp án: A
Đặt
Do đó
Ví dụ 3. Tính
A. 3ln3 B. 2ln3 C. 3ln3 − 2. D. 2 − 3ln3.
Lời giải:
Đáp án: C
Đặt u = ln(x2 − x); dv = dx
Suy ra:
Ví dụ 4. Tính
A. 20ln2 − 6ln3 − 4 B. 10ln2 + ln3 − 1
C. 12ln2 + 2ln3 − 3 D.10 ln 3 − 2ln 2 − 3
Lời giải:
Đáp án: A
Đặt
Tính
Đặt t = √(x + 1)
Từ đó I = 20 ln2 − 6ln 3 − 4
Ví dụ 5. Tính
Lời giải:
Đáp án: B
Đặt
Do đó
Dạng 4.4. Tích phân có dạng:
.
1. Phương pháp giải
Đặt
Vậy
Bằng phương pháp tương tự ta tính được
sau đó thay vào I.
2. Ví dụ minh họa
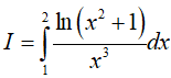
Ví dụ 1. Tính
Lời giải:
Đáp án: A
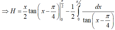
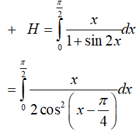
Ta có:
Trong đó
* Ta tính H
Đặt:
Từ (1) và (2) suy ra,
Ví dụ 2. Tính
Lời giải:
Đáp án: D
Đặt
Ví dụ 3. Tính
A. 1 B. 2 C. 3 D. 4
Lời giải:
Đáp án: B
Đặt
Ví dụ 4. Tính
Lời giải:
Đáp án: D
Đặt
Đặt
Đặt
Bài giảng: Ứng dụng của tích phân tính diện tích, tính thể tích - Cô Nguyễn Phương Anh (Giáo viên VietJack)
(199k) Xem Khóa học Toán 12 KNTTXem Khóa học Toán 12 CDXem Khóa học Toán 12 CTST
Xem thêm các dạng bài tập Toán lớp 12 ôn thi Tốt nghiệp có lời giải hay khác:
- Phương pháp tính nguyên hàm của các hàm số cơ bản (cực hay)
- Phương pháp tính nguyên hàm đổi biến số (cực hay)
- Phương pháp tính nguyên hàm từng phần (cực hay)
- Phương pháp tính tích phân cơ bản (cực hay)
- Cách tính tích phân bằng phương pháp đổi biến số (cực hay)
- Phương pháp tính tích phân hàm chứa dấu giá trị tuyệt đối (cực hay)
- Phương pháp tính tích phân hàm số chẵn, hàm số lẻ (cực hay)
- 3 ứng dụng của tích phân: tính diện tích, thể tích, quãng đường, vận tốc (cực hay)
Đã có app VietJack trên điện thoại, giải bài tập SGK, SBT Soạn văn, Văn mẫu, Thi online, Bài giảng....miễn phí. Tải ngay ứng dụng trên Android và iOS.
Theo dõi chúng tôi miễn phí trên mạng xã hội facebook và youtube:Nếu thấy hay, hãy động viên và chia sẻ nhé! Các bình luận không phù hợp với nội quy bình luận trang web sẽ bị cấm bình luận vĩnh viễn.
- Giải Tiếng Anh 12 Global Success
- Giải sgk Tiếng Anh 12 Smart World
- Giải sgk Tiếng Anh 12 Friends Global
- Lớp 12 Kết nối tri thức
- Soạn văn 12 (hay nhất) - KNTT
- Soạn văn 12 (ngắn nhất) - KNTT
- Giải sgk Toán 12 - KNTT
- Giải sgk Vật Lí 12 - KNTT
- Giải sgk Hóa học 12 - KNTT
- Giải sgk Sinh học 12 - KNTT
- Giải sgk Lịch Sử 12 - KNTT
- Giải sgk Địa Lí 12 - KNTT
- Giải sgk Giáo dục KTPL 12 - KNTT
- Giải sgk Tin học 12 - KNTT
- Giải sgk Công nghệ 12 - KNTT
- Giải sgk Hoạt động trải nghiệm 12 - KNTT
- Giải sgk Giáo dục quốc phòng 12 - KNTT
- Giải sgk Âm nhạc 12 - KNTT
- Giải sgk Mĩ thuật 12 - KNTT
- Lớp 12 Chân trời sáng tạo
- Soạn văn 12 (hay nhất) - CTST
- Soạn văn 12 (ngắn nhất) - CTST
- Giải sgk Toán 12 - CTST
- Giải sgk Vật Lí 12 - CTST
- Giải sgk Hóa học 12 - CTST
- Giải sgk Sinh học 12 - CTST
- Giải sgk Lịch Sử 12 - CTST
- Giải sgk Địa Lí 12 - CTST
- Giải sgk Giáo dục KTPL 12 - CTST
- Giải sgk Tin học 12 - CTST
- Giải sgk Hoạt động trải nghiệm 12 - CTST
- Giải sgk Âm nhạc 12 - CTST
- Lớp 12 Cánh diều
- Soạn văn 12 Cánh diều (hay nhất)
- Soạn văn 12 Cánh diều (ngắn nhất)
- Giải sgk Toán 12 Cánh diều
- Giải sgk Vật Lí 12 - Cánh diều
- Giải sgk Hóa học 12 - Cánh diều
- Giải sgk Sinh học 12 - Cánh diều
- Giải sgk Lịch Sử 12 - Cánh diều
- Giải sgk Địa Lí 12 - Cánh diều
- Giải sgk Giáo dục KTPL 12 - Cánh diều
- Giải sgk Tin học 12 - Cánh diều
- Giải sgk Công nghệ 12 - Cánh diều
- Giải sgk Hoạt động trải nghiệm 12 - Cánh diều
- Giải sgk Giáo dục quốc phòng 12 - Cánh diều
- Giải sgk Âm nhạc 12 - Cánh diều


Giải bài tập SGK & SBT
Tài liệu giáo viên
Sách
Khóa học
Thi online
Hỏi đáp

