Phương pháp tính tích phân cơ bản (cực hay)
Bài viết Phương pháp tính tích phân cơ bản với phương pháp giải chi tiết giúp học sinh ôn tập, biết cách làm bài tập Phương pháp tính tích phân cơ bản.
Phương pháp tính tích phân cơ bản (cực hay)
(199k) Xem Khóa học Toán 12 KNTTXem Khóa học Toán 12 CDXem Khóa học Toán 12 CTST
Bài giảng: Ứng dụng của tích phân tính diện tích, tính thể tích - Cô Nguyễn Phương Anh (Giáo viên VietJack)
Dạng 1. Tính chất của tích phân
1. Phương pháp giải
Giả sử cho hai hàm số f(x) và g(x) liên tục trên K và a,b,c là ba số bất kỳ thuộc K. Khi đó ta có
Nếu f(x) ≥ 0, ∀x ∈ [a, b] thì
Nếu ∀x ∈ [a, b]: f(x) ≥ g(x)
Nếu ∀x ∈ [a, b] nếu M ≤ f(x) ≤ N thì
2. Ví dụ minh họa
Ví dụ 1. Cho tích phân . Tính tích phân
A . I= 40 B. I= 10 C. I= 20 D. I= 5
Lời giải:
Đáp án: B
Đặt
Đổi cận: với x = 0 => t = 0
Với x = 6 => t = 3
Ta có:
Suy ra:
Ví dụ 2. Cho hàm số y= f(x) liên tục trên đoạn [0; 6] thỏa mãn
và
. Tính giá trị của biểu thức
A. P= 4 B. P= 16 C. P= 8 D. P= 10
Lời giải:
Đáp án: A
Ta có:
Ví dụ 3. Cho hàm số f(x) liên tục trên R và
. Tính
.
A. I= 9 B. I= 1 C. I = − 1 D. I = −9
Lời giải:
Đáp án: B
Ta có:
Kết hợp với giả thiết suy ra
Ví dụ 4. Cho
. Khi đó
bằng
A. 2 B. 4 C. 6 D. 8
Lời giải:
Đáp án: C
Ta có:
Dạng 2. Tính trực tiếp
1. Phương pháp giải
Cho hàm số y= f(x) liên tục trên K và a, b là hai số bất kì thuộc K. Nếu F là một nguyên hàm của f trên K thì:
.
Như vậy, để tính tích phân của 1 hàm số ta cần:
• Bước 1: Xác định F(x) là nguyên hàm của hàm số.
• Bước 2. Tính F(b) − F(a).
Dạng 2.1. Hàm đa thức
2. Ví dụ minh họa
Ví dụ 1. Tích phân
bằng
A.I=1 B.I= 2 C.I= 3 D. I= −1
Lời giải:
Đáp án: A
Ví dụ 2. Có bao nhiêu giá trị của m sao cho
:
A.1 B. 2 C. 3 D. 4
Lời giải:
Đáp án: A
Ta có:
Vậy có 3 giá trị của m thỏa mãn.
Ví dụ 3. Tích phân
bằng
Lời giải:
Đáp án: C
Ví dụ 4. Tính
Lời giải:
Đáp án: B
Ta có:
Ví dụ 5. Tích phân
bằng
Lời giải:
Đáp án: A
Do x ∈ (1; 8) => x > 0 nên
. Vì vậy
Dạng 2.2. Hàm phân thức
Ví dụ minh họa
Ví dụ 1. Tích phân
bằng
Lời giải:
Đáp án: D
Ví dụ 2. Tích phân
bằng
Lời giải:
Đáp án: B
Ta có:
Ví dụ 3. Cho tích phân
(a,b,c ∈ Q). Chọn khẳng định đúng trong các khẳng định sau:
A. a < 0 B. c < 0 C. b > 0 D. a + b + c > 0
Lời giải:
Đáp án: D
Ta có:
Ví dụ 4. Tính
Lời giải:
Đáp án: B
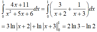
Ví dụ 5. Tính tích phân
A . 2ln3 − ln2 B. ln3 − 2ln2 C. 2ln3 − 3ln2 D. 3ln2 +2ln3
Lời giải:
Đáp án: A
Cách 1: (Hệ số bất định)
Ta có:
Thay x= −2 vào hai tử số: 3= A và thay x= −3 vào hai tử số: −B= −1 suy ra B= 1
Do đó
Vậy:
Cách 2
Ta có:
Do đó
Dạng 2.3. Hàm căn thức
Ví dụ minh họa
Ví dụ 1. Tính
Lời giải:
Đáp án: C
Ví dụ 2. Tính
Lời giải:
Đáp án: B
Ví dụ 3. Tính
Lời giải:
Đáp án: D
Ví dụ 4. Tính
Lời giải:
Đáp án: A
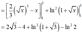
Ví dụ 5. Tính
Lời giải:
Đáp án: D
Dạng 2.4. Hàm lượng giác
2. Ví dụ minh họa
Ví dụ 1. Tích phân
có giá trị là
Lời giải:
Đáp án: B
Ví dụ 2. Tích phân
có giá trị là
Lời giải:
Đáp án: A
Ta có
Ví dụ 3. Giả sử
khi đó a+ b là
Lời giải:
Đáp án: B
Suy ra
Vậy
Ví dụ 4. Tính
Lời giải:
Đáp án: B
Ví dụ 5. Tính
Lời giải:
Đáp án: A
Dạng 2.5. Hàm mũ, logarit
2. Ví dụ minh họa
Ví dụ 1. Tích phân
bằng
Lời giải:
Đáp án: D
Vậy:
Ví dụ 2. Tích phân
có giá trị là:
Lời giải:
Đáp án: D
Ta có:
Ví dụ 3. Tính
Lời giải:
Đáp án: C
Ví dụ 4. Tính
Lời giải:
Đáp án: B
Ví dụ 5. Tính
Lời giải:
Đáp án: C
(199k) Xem Khóa học Toán 12 KNTTXem Khóa học Toán 12 CDXem Khóa học Toán 12 CTST
Xem thêm các dạng bài tập Toán lớp 12 ôn thi Tốt nghiệp có lời giải hay khác:
- Phương pháp tính nguyên hàm của các hàm số cơ bản (cực hay)
- Phương pháp tính nguyên hàm đổi biến số (cực hay)
- Phương pháp tính nguyên hàm từng phần (cực hay)
- Cách tính tích phân bằng phương pháp đổi biến số (cực hay)
- Phương pháp tính tích phân từng phần (cực hay)
- Phương pháp tính tích phân hàm chứa dấu giá trị tuyệt đối (cực hay)
- Phương pháp tính tích phân hàm số chẵn, hàm số lẻ (cực hay)
- 3 ứng dụng của tích phân: tính diện tích, thể tích, quãng đường, vận tốc (cực hay)
Đã có app VietJack trên điện thoại, giải bài tập SGK, SBT Soạn văn, Văn mẫu, Thi online, Bài giảng....miễn phí. Tải ngay ứng dụng trên Android và iOS.
Theo dõi chúng tôi miễn phí trên mạng xã hội facebook và youtube:Nếu thấy hay, hãy động viên và chia sẻ nhé! Các bình luận không phù hợp với nội quy bình luận trang web sẽ bị cấm bình luận vĩnh viễn.
- Giải Tiếng Anh 12 Global Success
- Giải sgk Tiếng Anh 12 Smart World
- Giải sgk Tiếng Anh 12 Friends Global
- Lớp 12 Kết nối tri thức
- Soạn văn 12 (hay nhất) - KNTT
- Soạn văn 12 (ngắn nhất) - KNTT
- Giải sgk Toán 12 - KNTT
- Giải sgk Vật Lí 12 - KNTT
- Giải sgk Hóa học 12 - KNTT
- Giải sgk Sinh học 12 - KNTT
- Giải sgk Lịch Sử 12 - KNTT
- Giải sgk Địa Lí 12 - KNTT
- Giải sgk Giáo dục KTPL 12 - KNTT
- Giải sgk Tin học 12 - KNTT
- Giải sgk Công nghệ 12 - KNTT
- Giải sgk Hoạt động trải nghiệm 12 - KNTT
- Giải sgk Giáo dục quốc phòng 12 - KNTT
- Giải sgk Âm nhạc 12 - KNTT
- Giải sgk Mĩ thuật 12 - KNTT
- Lớp 12 Chân trời sáng tạo
- Soạn văn 12 (hay nhất) - CTST
- Soạn văn 12 (ngắn nhất) - CTST
- Giải sgk Toán 12 - CTST
- Giải sgk Vật Lí 12 - CTST
- Giải sgk Hóa học 12 - CTST
- Giải sgk Sinh học 12 - CTST
- Giải sgk Lịch Sử 12 - CTST
- Giải sgk Địa Lí 12 - CTST
- Giải sgk Giáo dục KTPL 12 - CTST
- Giải sgk Tin học 12 - CTST
- Giải sgk Hoạt động trải nghiệm 12 - CTST
- Giải sgk Âm nhạc 12 - CTST
- Lớp 12 Cánh diều
- Soạn văn 12 Cánh diều (hay nhất)
- Soạn văn 12 Cánh diều (ngắn nhất)
- Giải sgk Toán 12 Cánh diều
- Giải sgk Vật Lí 12 - Cánh diều
- Giải sgk Hóa học 12 - Cánh diều
- Giải sgk Sinh học 12 - Cánh diều
- Giải sgk Lịch Sử 12 - Cánh diều
- Giải sgk Địa Lí 12 - Cánh diều
- Giải sgk Giáo dục KTPL 12 - Cánh diều
- Giải sgk Tin học 12 - Cánh diều
- Giải sgk Công nghệ 12 - Cánh diều
- Giải sgk Hoạt động trải nghiệm 12 - Cánh diều
- Giải sgk Giáo dục quốc phòng 12 - Cánh diều
- Giải sgk Âm nhạc 12 - Cánh diều


Giải bài tập SGK & SBT
Tài liệu giáo viên
Sách
Khóa học
Thi online
Hỏi đáp

