Cách tính tích phân bằng phương pháp đổi biến số (cực hay)
Bài viết Cách tính tích phân bằng phương pháp đổi biến số với phương pháp giải chi tiết giúp học sinh ôn tập, biết cách làm bài tập Cách tính tích phân bằng phương pháp đổi biến số.
Cách tính tích phân bằng phương pháp đổi biến số (cực hay)
(199k) Xem Khóa học Toán 12 KNTTXem Khóa học Toán 12 CDXem Khóa học Toán 12 CTST
Phương pháp giải
Trong đó u= u(x) có đạo hàm liên tục trên K, hàm số y= f(u) liên tục và sao cho hàm hợp f[u(x)] xác định trên K; a và b là hai số thuộc K
Dạng 3.1. Hàm đa thức
Ví dụ minh họa
Ví dụ 1. Tích phân
Lời giải:
Đáp án: A
Đặt t = 1 − x => −dt = dx. Đổi cận: x = 0 => t = 1; x = 1 => t = 0
Dạng 3.2. Hàm phân thức
Ví dụ minh họa
Ví dụ 1. Tích phân
Lời giải:
Đáp án: A
Đặt t = x+ 1 => dt = dx. Đổi cận: x = 0 => t = 1; x = 1 => t = 2
Ví dụ 2. Tích phân
Lời giải:
Đáp án: D
Đặt
Đổi cận:
Khi đó
Vậy
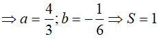
Ví dụ 3. Tính tích phân . Khi đó S = a + 2b bằng:
Lời giải:
Đáp án: D
Suy ra
Trong
Đặt t = x + 1 => dt =dx. Đổi cận: x = 1 => t = 2; x = 2 => y = 3.
Khi đó
Ví dụ 4. Tích phân
Lời giải:
Đáp án: D
Đặt
Đổi cận
Ví dụ 5. Cho . Khi đó (2a + b) bằng
Lời giải:
Đáp án: B
Ta có: x3 + 3x2 − x−3 = (x+1)(x2 + 2x − 3)
Đặt
Đổi cận x = 0 => t = 3; x = 1 => t = 6
Khi đó
Dạng 3.3. Hàm căn thức
Ví dụ minh họa
Ví dụ 1. Tích phân
Lời giải:
Đáp án: A
Đặt
Đổi cận x = 0 => t = 1; x = 1 => t = √
Ví dụ 2. Tính
Lời giải:
Đáp án: A
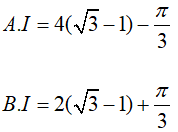
Đặt x = sint
Do đó
Ví dụ 3. Tích phân
Lời giải:
Đáp án: A
Đặt
Suy ra:
Đổi cận
Ví dụ 4. Tính
Lời giải:
Đáp án: A
Đặt t = x3 => dt = 3x2dx
Đổi cận: x = 0 => t = 0; x = 1 => t = 1
Đặt
Đổi cận t = 0 => u = 0; t = 1
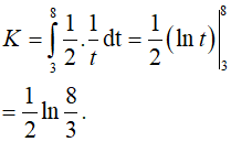
Ví dụ 5. Tính
Lời giải:
Đáp án: D
- Tính J:
Đặt t = √(x2 + 1)
Suy ra:
- Tính K:
Đặt t = √(x2 + 1)
Suy ra:
Vậy:
Dạng 3.4. Hàm lượng giác
Ví dụ minh họa
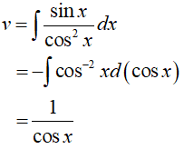
Ví dụ 1. Tính
Lời giải:
Đáp án: B
Đặt: t = √(1 + 3 cosx)
Khi đó
Ví dụ 2. Tính
A. 2ln2 − 1 B.ln2 − 1 C. ln2 − 2 D.ln2+ 1
Lời giải:
Đáp án: A
Đặt: t = 1 + cosx
Khi đó
Ví dụ 3. Tính
Lời giải:
Đáp án: B
Đặt t = √(cos2x + 4sin2x) => t2 = cos2x + 4sin2x
Do đó
Vậy
Ví dụ 4.
A. 2 − 3ln 2 B. 1 + 3ln2 C. 3 + ln2 D. 3 − ln2
Lời giải:
Đáp án: A
Ta có:
Cho nên:
Đặt t = 1 + sinx
Vậy
Ví dụ 5. Tích phân
Lời giải:
Đáp án: D
Cách 1
Đặt t = cos2 + 1 => dt = −2sinxcosx.dx
Đổi cận
Cách 2
Đặt t = cosx dt = −sinx dx nên −dt = sinx.dx
Đổi cận
Dạng 3.5. Hàm mũ, logarit
Ví dụ minh họa
Ví dụ 1. Cho
A. I = cos1 B. I = 1 C. I = sin1 D. Đáp án khác
Lời giải:
Đáp án: B
Đặt
Đổi cận:
Khi đó:
Ví dụ 2. Tính
Lời giải:
Đáp án: A
Đặt
Đổi cận:
Khi đó:
Ví dụ 3. Tính
Lời giải:
Đáp án: D
Đặt
Đổi cận: x = 0=> t = 0; x = ln2 => t = 1.
Tính
Vậy
Ví dụ 4. Tính
A. 2ln 3+2 B. 2ln2 + 3 C. 2ln3 − 1 D. 3ln2 − 1
Lời giải:
Đáp án: C
Đặt t = √(ex − 2) => t2 + 2 = ex => exdx = 2tdt
Ví dụ 5. Tính
Lời giải:
Đáp án: A
Đặt: t = √(3ex − 4)
Đổi cận:
với
Tính
Đặt:
Vậy :
Dạng 3.6. Tích phân
1. Phương pháp giải
Chứng minh:
• Đặt: b − x= t, suy ra x = b − t và dx = −dt,
• Do đó:
Vì tích phân không phụ thuộc vào biến số
2. Ví dụ minh họa
Ví dụ 1. Tính
A. 0 B.1 C. 2 D. 3
Lời giải:
Đáp án: C
Đặt:
=> dt = −dx; x = 0
Nhưng tích phân không phụ thuộc và biến số, cho nên:
Lấy (1) + (2) vế với vế ta có:
Ví dụ 2. Tính
Lời giải:
Đáp án: A
Đặt
=> dx = −dt; x = 0
=> f(x)dx = log2(1 + tanx)dx
Hay:
Vậy:
Ví dụ 3. Tính
Lời giải:
Đáp án: A
Đặt
Cộng (1) và (2) ta có:
Dạng 3.7. Dạng khác
Ví dụ minh họa
Ví dụ 1. Tính
Lời giải:
Đáp án: A
Đặt lnx = t, ta có .
Đặt : u = ln( 1+ t2) ; dv = dt
Từ đó có:
Tiếp tục đặt t = tanu, ta tính được
Thay vào (*) ta có
Ví dụ 2. Tính
Lời giải:
Đáp án: D
+ Tính
Đặt t = √(1 + lnx) => t2 = 1 + lnx;
Khi x = 1 => t = 1; x = e => x = √2
+ Tính .
Đặt
Ví dụ 3. Tính
A. e − 3 + 2ln 2 B. e + 3 + ln 2
C. 2e − 6 + ln2 D. 4ln2 + e − 2
Lời giải:
Đáp án: A
Ta có
Tính
Đặt t = 1 + lnx.
Ta có
Vậy I = e − 1 − 2(1 − ln2) = e − 3 + 2ln2
Ví dụ 4. Tính
A. √2 − 3 B. 2√2 − 3 C. 2√3 − 2 D. √6 − 2
Lời giải:
Đáp án: B
Vậy I = I1 + I2 = 2√2 − 3
Ví dụ 5. Tính
Lời giải:
Đáp án: B
+ Ta có
Đặt
+ Tính I1: Đặt u = x => du = dx;
Tính I2:
Vậy
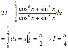
Ví dụ 6. Tính
Lời giải:
Đáp án: A
Đặt t = −x => dt = −dx
Bài tập tự luyện
Bài 1. Tính tích phân I = .
Bài 2. Tính tích phân I = .
Bài 3. Tính tích phân I = .
Bài 4. Tính tích phân I =
Bài 5. Tính tích phân I = .
Bài giảng: Ứng dụng của tích phân tính diện tích, tính thể tích - Cô Nguyễn Phương Anh (Giáo viên VietJack)
(199k) Xem Khóa học Toán 12 KNTTXem Khóa học Toán 12 CDXem Khóa học Toán 12 CTST
Xem thêm các dạng bài tập Toán lớp 12 ôn thi Tốt nghiệp có lời giải hay khác:
- Phương pháp tính nguyên hàm của các hàm số cơ bản (cực hay)
- Phương pháp tính nguyên hàm đổi biến số (cực hay)
- Phương pháp tính nguyên hàm từng phần (cực hay)
- Phương pháp tính tích phân cơ bản (cực hay)
- Phương pháp tính tích phân từng phần (cực hay)
- Phương pháp tính tích phân hàm chứa dấu giá trị tuyệt đối (cực hay)
- Phương pháp tính tích phân hàm số chẵn, hàm số lẻ (cực hay)
- 3 ứng dụng của tích phân: tính diện tích, thể tích, quãng đường, vận tốc (cực hay)
Đã có app VietJack trên điện thoại, giải bài tập SGK, SBT Soạn văn, Văn mẫu, Thi online, Bài giảng....miễn phí. Tải ngay ứng dụng trên Android và iOS.
Theo dõi chúng tôi miễn phí trên mạng xã hội facebook và youtube:Nếu thấy hay, hãy động viên và chia sẻ nhé! Các bình luận không phù hợp với nội quy bình luận trang web sẽ bị cấm bình luận vĩnh viễn.
- Giải Tiếng Anh 12 Global Success
- Giải sgk Tiếng Anh 12 Smart World
- Giải sgk Tiếng Anh 12 Friends Global
- Lớp 12 Kết nối tri thức
- Soạn văn 12 (hay nhất) - KNTT
- Soạn văn 12 (ngắn nhất) - KNTT
- Giải sgk Toán 12 - KNTT
- Giải sgk Vật Lí 12 - KNTT
- Giải sgk Hóa học 12 - KNTT
- Giải sgk Sinh học 12 - KNTT
- Giải sgk Lịch Sử 12 - KNTT
- Giải sgk Địa Lí 12 - KNTT
- Giải sgk Giáo dục KTPL 12 - KNTT
- Giải sgk Tin học 12 - KNTT
- Giải sgk Công nghệ 12 - KNTT
- Giải sgk Hoạt động trải nghiệm 12 - KNTT
- Giải sgk Giáo dục quốc phòng 12 - KNTT
- Giải sgk Âm nhạc 12 - KNTT
- Giải sgk Mĩ thuật 12 - KNTT
- Lớp 12 Chân trời sáng tạo
- Soạn văn 12 (hay nhất) - CTST
- Soạn văn 12 (ngắn nhất) - CTST
- Giải sgk Toán 12 - CTST
- Giải sgk Vật Lí 12 - CTST
- Giải sgk Hóa học 12 - CTST
- Giải sgk Sinh học 12 - CTST
- Giải sgk Lịch Sử 12 - CTST
- Giải sgk Địa Lí 12 - CTST
- Giải sgk Giáo dục KTPL 12 - CTST
- Giải sgk Tin học 12 - CTST
- Giải sgk Hoạt động trải nghiệm 12 - CTST
- Giải sgk Âm nhạc 12 - CTST
- Lớp 12 Cánh diều
- Soạn văn 12 Cánh diều (hay nhất)
- Soạn văn 12 Cánh diều (ngắn nhất)
- Giải sgk Toán 12 Cánh diều
- Giải sgk Vật Lí 12 - Cánh diều
- Giải sgk Hóa học 12 - Cánh diều
- Giải sgk Sinh học 12 - Cánh diều
- Giải sgk Lịch Sử 12 - Cánh diều
- Giải sgk Địa Lí 12 - Cánh diều
- Giải sgk Giáo dục KTPL 12 - Cánh diều
- Giải sgk Tin học 12 - Cánh diều
- Giải sgk Công nghệ 12 - Cánh diều
- Giải sgk Hoạt động trải nghiệm 12 - Cánh diều
- Giải sgk Giáo dục quốc phòng 12 - Cánh diều
- Giải sgk Âm nhạc 12 - Cánh diều


Giải bài tập SGK & SBT
Tài liệu giáo viên
Sách
Khóa học
Thi online
Hỏi đáp

