150 bài tập trắc nghiệm Nguyên hàm, Tích phân và ứng dụng có lời giải (cơ bản - phần 1)
Với 150 bài tập trắc nghiệm Nguyên hàm, Tích phân và ứng dụng có lời giải chi tiết sẽ giúp học sinh ôn tập, biết cách làm bài tập trắc nghiệm Nguyên hàm, Tích phân và ứng dụng.
150 bài tập trắc nghiệm Nguyên hàm, Tích phân và ứng dụng có lời giải (cơ bản - phần 1)
(199k) Học Toán 12 KNTTHọc Toán 12 CDHọc Toán 12 CTST
Bài 1: Tìm nguyên hàm của hàm số f(x) = sin2x
A. ∫sin2xdx = −
cos2x + C .
B. ∫sin2xdx =
cos2x + C .
C. ∫sin2xdx = cos2x +C.
D. ∫sin2xdx = − cos2x + C.
Lời giải:
∫sin2xdx =
∫sin2xd(2x) = −
cos2x + C
Đáp án: A
Bài 2: Tìm nguyên hàm của hàm số f(x) = cos(3x +
) .
A. ∫f(x)dx =
sin(3x +
) + C .
B. ∫f(x)dx = sin(3x +
) + C .
C. ∫f(x)dx = −
sin(3x +
) + C .
D. ∫f(x)dx =
sin(3x +
) + C .
Lời giải:
∫f(x)dx =
∫cos(3x +
)d(3x +
) =
sin(3x+
) + C
Đáp án: A
Bài 3: Tìm nguyên hàm của hàm số f(x) = 1 + tan2
.
A. ∫f(x)dx = 2tan
+C.
B. ∫f(x)dx = tan
+C.
C. ∫f(x)dx =
tan
+C.
D. ∫f(x)dx = -2tan
+C.
Lời giải:
f(x) = 1+ tan2
=
nên
= 2tan
+ C
Đáp án: A
Bài 4: Tìm nguyên hàm của hàm số
.
A. ∫f(x)dx = −cot(x+
) + C .
B. ∫f(x)dx = −
cot(x+
) + C .
C. ∫f(x)dx = cot(x+
) + C.
D. ∫f(x)dx =
cot(x+
) + C.
Lời giải:
Đáp án: A
Bài 4: Tìm nguyên hàm của hàm số f(x) = sin3x.cosx .
A. ∫f(x)dx =
+ C .
B. ∫f(x)dx = −
+ C .
C. ∫f(x)dx =
+ C .
D. ∫f(x)dx = −
+ C .
Lời giải:
∫sin3x.cosx.dx = ∫sin3x.d(sinx) =
+ C
Đáp án: A
Bài 5: Tìm nguyên hàm của hàm số f(x) = 2x.3-2x .
A. ∫f(x)dx =
.
B. ∫f(x)dx =
.
C. ∫f(x)dx =
.
D. ∫f(x)dx =
.
Lời giải:
Đáp án: C
Bài 6: Họ nguyên hàm của hàm số f(x) = ex(3+e-x) là
A. F(x) = -3ex-x+C .
B. F(x) = 3ex+exlnex+C .
C. F(x) = 3ex -
+C.
D. F(x) = 3ex +x+C.
Lời giải:
F(x) = ∫ex(3+e-x)dx = ∫(3ex+1)dx = 3ex+x+C
Đáp án: D
Bài 7: Tìm nguyên hàm của hàm số f(x) =
.
A. ∫f(x)dx =
e2x-1 + C.
B. ∫f(x)dx = e2x-1 + C.
C. ∫f(x)dx =
e2x-1 + C.
D. ∫f(x)dx =
+ C.
Lời giải:
∫
dx = ∫e2x-1dx = ∫
e2x-1d(2x-1) =
e2x-1 + C
Đáp án: C
Bài 8: Nguyên hàm của hàm số f(x) =
là
A. ∫f(x)dx = 2
+ C.
B. ∫f(x)dx =
+ C.
C. ∫f(x)dx =
+ C.
D. ∫f(x)dx = -2
+ C.
Lời giải:
∫
dx =
=
+ C
Đáp án: B
Bài 9: Tìm nguyên hàm của hàm số f(x) =
.
A. ∫f(x)dx = 2
+ C
B. ∫f(x)dx = -
+ C
C. ∫f(x)dx = -2
+ C
D. ∫f(x)dx = -3
+ C
Lời giải:
∫
dx = -
= -2
+ C
Đáp án: C
Bài 10: Tìm nguyên hàm của hàm số f(x) =
.
A. ∫f(x)dx =
+ C
B. ∫f(x)dx =
(2x+1)
+ C
C. ∫f(x)dx = -
+ C
D. ∫f(x)dx =
(2x+1)
+ C
Lời giải:
Đặt t=
⇒dt =
⇒dx dx=tdt
⇒∫
dx = ∫t2dt =
+ C =
(2x+1)
+ C
Đáp án: D
Bài 11: Tìm nguyên hàm của hàm số f(x) =
.
A. ∫f(x)dx =
(5-3x)
+ C
B. ∫f(x)dx = -
(5-3x)
+ C
C. ∫f(x)dx = -
(5-3x)
+ C
D. ∫f(x)dx = -
+ C
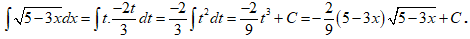
Lời giải:
Đặt
Đáp án: C
Bài 12: Tìm nguyên hàm của hàm số f(x) =
.
A. ∫f(x)dx = -
(x+2)
+ C
B. ∫f(x)dx =
(x+2)
+ C
C. ∫f(x)dx =
(x+2)
+ C
D. ∫f(x)dx =
+ C
Lời giải:
Đặt t =
⇒ dt =
(x-2)-2/3dx ⇒ dx = 3t2dt
Khi đó ∫
dx = ∫t.3t2dt = ∫3t3dt =
t4 + C =
(x-2)
+ C
Đáp án: B
Bài 13: Tìm nguyên hàm của hàm số f (x) =
.
A. ∫f(x)dx = -(1-3x)
+ C
B. ∫f(x)dx = -
(1-3x)
+ C
C. ∫f(x)dx =
(1-3x)
+ C
D. ∫f(x)dx = -
(1-3x)
+ C
Lời giải:
Đặt t =
= (1-3x)1/3
⇒ dt =
.(-3).(1-3x)-2/3dx = -(1-3x)-2/3dx ⇒ dx = -t2dt
Khi đó ∫
dx =∫t.(-t2)dt = ∫-t3dt = -
t4 + C = -
(1-3x)
+ C
Đáp án: D
Bài 14: Tìm nguyên hàm của hàm số I = ∫
dx
A: x2 - 3x + 4ln|x-1| + C
B. x2 + 3x - 4ln|x-1| + C
C: x2 + 3x + 4ln|x-1| + C
D: x2 - 3x - 4ln|x-1| + C
Lời giải:
Ta có:
= 2x + 3 +
Suy ra: I = ∫(2x + 3 +
)dx = x2 + 3x + 4ln|x-1| + C
Đáp án: C
Bài 15: Tìm nguyên hàm của hàm số J = ∫
dx
A.
-
+ x - 2ln|x+1| + C
B.
-
+ 2x - 2ln|x+1| + C
C.
-
+ x + 2ln|x+1| + C
D.
+
+ x - 2ln|x+1| + C
Lời giải:
Ta có:
=
= x2 - x + 1 -
Suy ra: J = ∫(x2 - x + 1 -
)dx =
-
+ x - 2ln|x+1| + C
Đáp án: A
Bài 16: Tìm nguyên hàm của hàm số K = ∫
dx
A.
-
+ 2ln|x| +
+ C
B.
-
- 3ln|x| +
+ C
C.
+
+ 2ln|x| +
+ C
D.
-
+ 3ln|x| +
+ C
Lời giải:
Ta có :
= x3 - 3x +
-
Suy ra K = ∫(x3 - 3x +
-
)dx =
-
+ 3ln|x| +
+ C
Đáp án: D
Bài 17: Biết một nguyên hàm của hàm số f(x) =
+ 1 là hàm số F(x) thỏa mãn F(-1) =
. Khi đó F(x) là hàm số nào sau đây?
A. F(x) = x -
+ 3
B. F(x) = x -
- 3
C. F(x) = x -
+ 1
D. F(x) = 4 -
Lời giải:
F(x) = ∫(
+ 1)dx =
+ x = x -
+ C
F(-1) =
⇒ C = 3 ⇒ F(x) = x -
+ 3
Đáp án: A
Bài 18: Biết F(x) = 6
là một nguyên hàm của hàm số f(x) =
. Khi đó giá trị của a bằng
A. 2
B. 3
C. -3
D.
Lời giải:
F'(x) = (6
)' =
⇒ a = -3
Đáp án: C
Bài 19: Hàm số f(x) = x3 - x2 + 3 +
có nguyên hàm là
A. F(x) =
-
+ 3x + 2ln|x| + C .
B. F(x) = x4 -
+ 3x + ln|x| + C .
C. F(x) = 3x2 - 2x -
+ C .
D.Đáp án khác
Lời giải:
F(x) = ∫(x3 - x2 + 3 +
)dx =
-
+ 3x + ln|x| + C
Đáp án: D
Bài 20: Họ nguyên hàm của hàm số I = ∫(ex + 2e-x)2 là
A.
e2x + 4x + 2e-2x + C
B.
e2x + 4x - 2e-2x + C
C. e2x + 4x + 2e-2x + C
D.
e2x - 4x - 2e-2x + C
Lời giải:
Ta có: (ex + 2e-x)2 = e2x + 4 + 4e-2x
Suy ra: I = ∫(e2x + 4 + 4e-2x)dx =
e2x + 4x - 2e-2x + C
Đáp án: B
Bài 21: Hàm số F(x) = 7sinx - cosx + 1 là một nguyên hàm của hàm số nào sau đây?
A. f(x) = sinx - 7cosx + x.
B. f(x) = -sinx + 7cosx.
C. f(x) = sinx + 7cosx.
D. f(x) = -sinx - 7cosx.
Lời giải:
Ta có: F'(x) = 7cosx + sinx
Đáp án: C
Bài 22: Tính ∫
dx là
A. tanx - cos2x + C .
B. cot2x + C .
C. tan2x - x + C.
D. tanx - cosx + C .
Lời giải:
Ta có: ∫
dx = ∫
dx = tanx - cosx + C
Đáp án: D
Bài 23: Tìm nguyên hàm của các hàm số sau :
a/∫(x4 - 3x2 + 2x + 1)dx
A.
- x3 + x2 + 2x + C.
B.
+ x3 + x2 + x + C.
C.
- x3 + x2 - x + C.
D.
- x3 + x2 + x + C.
b/∫(x+1)(x+2)dx
A.
-
- 2x + C
B.
+
- 2x + C
C.
-
- 2x + C
D.
+
- x + C
Lời giải:
a)∫(x4 - 3x2 + 2x + 1)dx = ∫x4dx - 3∫x2dc + 2∫xdx + ∫dx =
- x3 + x2 + x + C.
Đáp án: D
b)∫(x+1)(x+2)dx = ∫(x2 - x - 2)dx =
-
- 2x + C
Đáp án: A
Bài 24: Tìm nguyên hàm của các hàm số sau :
a/∫
dx
A. ln
+ C
B. ln
+ C
C. ln
+ C
D. ln
+ C
b/∫(
- 2x + ex)dx
A. tanx - x2 + ex + C
B. cotx - x2 + ex + C
C. tanx - x2 - ex + C
D. cotx - 2x2 + ex + C
Lời giải:
a)∫
dx =
= ln|x-2| - ln|x-1| + C = ln
+ C
Đáp án: D
b)∫ ∫(
- 2x + ex)dx = tanx - x2 + ex + C
Đáp án: A
Bài 25: Tìm nguyên hàm của các hàm số sau :
a)∫(cos3x - 5sinx)dx
A. Sin3x - 5cosx + C
B. Sin3x + 5 cosx + C
C. -sin3x + 5cosx
D. Đáp án khác
b)∫sin2
dx
A.
-
B.
+
C. x -
+ C
D.
-
+ C
Lời giải:
a)∫(cos3x - 5sinx)dx = ∫cos3xdx - 5∫sinxdx =
sin3x + 5 cosx + C
Đáp án: D
b)∫sin2
dx =
= ∫(
-
cosx)dx =
-
+ C
Đáp án: D
Bài 26: Tìm hàm số f(x) biết: f’(x) = 2x + 1 và f(1) = 5
A. x2 + x + 3
B. x2 - x + 2
C. x2 + 2x + 1
D. Đáp án khác
Lời giải:
Ta có f(x) = ∫(2x+1)dx = x2 + x + C
Vì f(1) = 5 nên C = 3;
Vậy : f(x) = x2 + x + 3
Đáp án: A
Bài 27: Tìm hàm số f(x) biết f’(x) = 2 – x2 và f(2) = 7/3;
A. f(x) = 2x +
+ 1
B. f(x) = x -
- 2
C. f(x) = 2x -
+ 1
D. f(x) = 2x -
+ 2
Lời giải:
Ta có f(x) = ∫(2 - x2)dx = 2x -
+ C
Vì f(2) = 7/3 nên C = 1; Vậy: f(x) = 2x -
+ 1 ;
Đáp án: C
Bài 28: Hàm số F(x) = 3x2 -
+
- 1 có một nguyên hàm là
A. f(x) = x3 - 2√x -
- x .
B. f(x) = x3 - √x -
- x .
C. x3 - 2√x +
D. x3 -
√x -
- x .
Lời giải:
Ta có: ∫F(x)dx = ∫(3x2 -
+
- 1)dx = x3 - 2√x -
- x + C
Đáp án: A
Bài 29: Hàm số f(x) =
có một nguyên hàm F(x) bằng
A.
.
B. -
+ 1 .
C.
.
D.
+ 2.
Lời giải:
∫f(x)dx = ∫
∫
d(sinx) =
+ C
Cho C = 2
Đáp án: D
Bài 30: Kết quả tính ∫2x
dx bằng
A.
+ C.
B. -
+ C .
C. -
+ C.
D.Tất cả sai
Lời giải:
Đặt t =
⇒t2 = 5 - 4x2 ⇒ 2tdt = -8xdx ⇒ tdt = -4xdx
Ta có: ∫2x
dx = -
∫t2dt = -
t3 + C = -
+ C
Đáp án: C
Bài 31: Kết quả ∫
cosxdx bằng
A. x
+ C .
B. cosx.
+ C .
C.
+ C.
D.
+ C.
Lời giải:
Ta có: ∫
cosxdx = ∫
d(sinx) =
+ C
Đáp án: C
Bài 32: Tính ∫tanxdx bằng
A. -ln|sinx| + C .
B. -ln|cosx| + C .
C.
+ C.
D. -
+ C.
Lời giải:
Ta có: ∫tanxdx = ∫
dx = -∫
d(cosx) = -ln|cosx| + C
Đáp án: B
Bài 33: Tính ∫cotxdx bằng
A. ln|cosx| + C.
B. ln|sinx| + C .
C. -
+ C.
D.
- C .
Lời giải:
Ta có: ∫cotxdx = ∫
dx = -∫
d(sinx) = ln|sinx| + C
Đáp án: B
Bài 34: Nguyên hàm của hàm số y =
là
A.
x3 +
x2 + x + ln|x-1| + C .
B.
x3 +
x2 + x + ln|x+1| + C .
C.
x3 +
x2 + x + ln|x-1| + C.
D.
x3 +
x2 + x + ln|x-1| + C.
Lời giải:
Ta có:
= x2 + x + 1 +
∫f(x)dx = ∫(x2 + x + 1 +
)dx =
x3 +
x2 + x + ln|x-1| + C
Đáp án: A
Bài 35: Một nguyên hàm của hàm số f(x) =
là
A.
+ 3x + 6ln|x+1| + 3 .
B.
+ 3x + 6ln|x+1| .
C.
+ 3x - 6ln|x+1| .
D.
- 3x + 6ln|x+1| + 5 .
Lời giải:
f(x) =
= x - 3 +
∫f(x)dx = ∫(
= x - 3 +
)dx =
- 3x + 6ln|x+1| + C
Chọn C = 5
Đáp án: D
Bài 36: Kết quả tính ∫
dx bằng
A. -
ln
+ C .
B. -
ln
+ C .
C.
ln
+ C .
D.
ln
+ C .
Lời giải:
Ta có:
=
(
-
)
Nên ∫f(x)dx = ∫
(
-
)dx =
ln
+ C
Đáp án: D
Bài 37: Họ nguyên hàm của hàm số f(x) =
là
A. F(x) =
ln
+ C .
B. F(x) =
ln
+ C.
C. F(x) = ln
+ C .
D. F(x) = ln|x2 + x - 2| + C .
Lời giải:
f(x) =
=
(
-
)
∫f(x)dx =
(ln|x-1| - ln|x+2|) + C = F(x) =
ln
+ C
Đáp án: A
Bài 38: Họ nguyên hàm của hàm số f(x) =
là
A. F(x) = -
- 2ln|x| + x + C .
B. F(x) = -
- 2lnx + x + C .
C. F(x) =
- 2ln|x| + x + C .
D. F(x) = -
- 2ln|x| - x + C .
Lời giải:
f(x) =
=
=
- 2.
+ 1
Nên ∫f(x)dx = -
- 2ln|x| + x + C
Đáp án: A
Bài 39: Biết F(x) là một nguyên hàm của hàm số f(x) =
thoả mãn F(2) = 0 . Khi đó phương trình F(x) = x có nghiệm là
A. x = 3 B. x = 1 C. x = -1 . D.tất cả sai
Lời giải:
Đặt t =
⇒ T2 = 8 - x2 ⇒ -tdt = xdx
∫
dx = -t + C = -
+ C
Vì F(2) = 0 suy ra C = 2
Ta có phương trình -
+ 2 = x ⇔ x = 1- √3
Đáp án: D
Bài 40: Nếu là một nguyên hàm của hàm số f(x) =
và F(2) = 1 thì F(3) bằng
A.4
B.
C. ln2 + 1
D.0
Lời giải:
∫
dx = ln|x-1| + C,
vì F(2) = 1 nên C=1 .
Vậy F(x) = ln|x-1| +1 , thay x = 3 ta được F(3)=ln2+1.
Đáp án: C
(199k) Học Toán 12 KNTTHọc Toán 12 CDHọc Toán 12 CTST
Xem thêm các chuyên đề Toán lớp 12 có trong đề thi Tốt nghiệp THPT khác:
- 150 bài tập trắc nghiệm Nguyên hàm, Tích phân và ứng dụng có lời giải (cơ bản - phần 1)
- 150 bài tập trắc nghiệm Nguyên hàm, Tích phân và ứng dụng có lời giải (cơ bản - phần 2)
- 150 bài tập trắc nghiệm Nguyên hàm, Tích phân và ứng dụng có lời giải (cơ bản - phần 3)
- 150 bài tập trắc nghiệm Nguyên hàm, Tích phân và ứng dụng có lời giải (cơ bản - phần 4)
- 150 bài tập trắc nghiệm Nguyên hàm, Tích phân và ứng dụng có lời giải (nâng cao - phần 1)
- 150 bài tập trắc nghiệm Nguyên hàm, Tích phân và ứng dụng có lời giải (nâng cao - phần 2)
- 150 bài tập trắc nghiệm Nguyên hàm, Tích phân và ứng dụng có lời giải (nâng cao - phần 3)
- 150 bài tập trắc nghiệm Nguyên hàm, Tích phân và ứng dụng có lời giải (nâng cao - phần 4)
Đã có app VietJack trên điện thoại, giải bài tập SGK, SBT Soạn văn, Văn mẫu, Thi online, Bài giảng....miễn phí. Tải ngay ứng dụng trên Android và iOS.
Theo dõi chúng tôi miễn phí trên mạng xã hội facebook và youtube:Nếu thấy hay, hãy động viên và chia sẻ nhé! Các bình luận không phù hợp với nội quy bình luận trang web sẽ bị cấm bình luận vĩnh viễn.
- Giải Tiếng Anh 12 Global Success
- Giải sgk Tiếng Anh 12 Smart World
- Giải sgk Tiếng Anh 12 Friends Global
- Lớp 12 Kết nối tri thức
- Soạn văn 12 (hay nhất) - KNTT
- Soạn văn 12 (ngắn nhất) - KNTT
- Giải sgk Toán 12 - KNTT
- Giải sgk Vật Lí 12 - KNTT
- Giải sgk Hóa học 12 - KNTT
- Giải sgk Sinh học 12 - KNTT
- Giải sgk Lịch Sử 12 - KNTT
- Giải sgk Địa Lí 12 - KNTT
- Giải sgk Giáo dục KTPL 12 - KNTT
- Giải sgk Tin học 12 - KNTT
- Giải sgk Công nghệ 12 - KNTT
- Giải sgk Hoạt động trải nghiệm 12 - KNTT
- Giải sgk Giáo dục quốc phòng 12 - KNTT
- Giải sgk Âm nhạc 12 - KNTT
- Giải sgk Mĩ thuật 12 - KNTT
- Lớp 12 Chân trời sáng tạo
- Soạn văn 12 (hay nhất) - CTST
- Soạn văn 12 (ngắn nhất) - CTST
- Giải sgk Toán 12 - CTST
- Giải sgk Vật Lí 12 - CTST
- Giải sgk Hóa học 12 - CTST
- Giải sgk Sinh học 12 - CTST
- Giải sgk Lịch Sử 12 - CTST
- Giải sgk Địa Lí 12 - CTST
- Giải sgk Giáo dục KTPL 12 - CTST
- Giải sgk Tin học 12 - CTST
- Giải sgk Hoạt động trải nghiệm 12 - CTST
- Giải sgk Âm nhạc 12 - CTST
- Lớp 12 Cánh diều
- Soạn văn 12 Cánh diều (hay nhất)
- Soạn văn 12 Cánh diều (ngắn nhất)
- Giải sgk Toán 12 Cánh diều
- Giải sgk Vật Lí 12 - Cánh diều
- Giải sgk Hóa học 12 - Cánh diều
- Giải sgk Sinh học 12 - Cánh diều
- Giải sgk Lịch Sử 12 - Cánh diều
- Giải sgk Địa Lí 12 - Cánh diều
- Giải sgk Giáo dục KTPL 12 - Cánh diều
- Giải sgk Tin học 12 - Cánh diều
- Giải sgk Công nghệ 12 - Cánh diều
- Giải sgk Hoạt động trải nghiệm 12 - Cánh diều
- Giải sgk Giáo dục quốc phòng 12 - Cánh diều
- Giải sgk Âm nhạc 12 - Cánh diều


Giải bài tập SGK & SBT
Tài liệu giáo viên
Sách
Khóa học
Thi online
Hỏi đáp

