Đề kiểm tra Toán 10 Cánh diều Chương 4 (có lời giải)
Đề kiểm tra Toán 10 Cánh diều Chương 4: Hệ thức lượng trong tam giác. Vectơ có đáp án chi tiết theo cấu trúc mới với bài tập đa dạng đầy đủ các mức độ sẽ giúp học sinh lớp 10 ôn luyện Toán 10.
Đề kiểm tra Toán 10 Cánh diều Chương 4 (có lời giải)
Chỉ từ 250k mua trọn bộ Bài tập ôn tập + Đề kiểm tra Toán 10 Cánh diều theo Chương theo cấu trúc mới bản word có lời giải chi tiết, trình bày đẹp mắt, dễ dàng chỉnh sửa:
- B1: gửi phí vào tk:
1133836868- CT TNHH DAU TU VA DV GD VIETJACK - Ngân hàng MB (QR) - B2: Nhắn tin tới Zalo VietJack Official - nhấn vào đây để thông báo và nhận đề thi
Phần 1. Trắc nghiệm nhiều phương án lựa chọn
Mỗi câu hỏi thí sinh chỉ chọn một phương án.
Câu 1. Trong các đẳng thức sau đây, đẳng thức nào sai?
A.
B.
C.
D.
Câu 2. Cho tam giác ABC có AB = 8, AC = 9 và . Diện tích tam giác ABC bằng
A.
B.
C.
D.
Câu 3. Cho tam giác ABC có . Tính .
A.
B.
C.
D.
Câu 4. Vectơ có điểm đầu A và điểm cuối B được kí hiệu là
A. AB.
B.
C.
D.
Câu 5. Cho hình bình hành ABCD. Vectơ nào sau đây bằng với vectơ
A.
B.
C.
D.
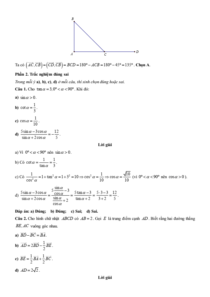
Câu 6. Cho tam giác ABC vuông cân tại A. Khi đó góc giữa hai vectơ và là
A.
B.
C.
D.
Phần 2. Trắc nghiệm đúng sai
Trong mỗi ý a), b), c), d) ở mỗi câu, thí sinh chọn đúng hoặc sai.
Câu 1. Cho . Khi đó:
a)
b)
c)
d)
Câu 2. Cho hình chữ nhật ABCD có AB = 2. Gọi E là trung điểm cạnh AD. Biết rằng hai đường thẳng BE, AC vuông góc nhau.
a)
b)
c)
d)
Phần 3. Trắc nghiệm trả lời ngắn
Câu 1. Cho và . Khi đó , là số nguyên tố. Tính a - 2b.
Câu 2. Một ô tô muốn đi từ địa điểm A đến địa điểm B, nhưng giữa A và B là một ngọn núi cao ô tô phải đi thành 2 đoạn từ A lên C (ô tô leo lên dốc núi) và từ C đến B (ô tô xuống núi). Các đoạn đường tạo thành tam giác ABC với . Nếu người ta đào một đường hầm xuyên núi chạy thẳng từ A đến B thì ô tô chạy trên con đường mới này tiết kiệm được số tiền là bao nhiêu nghìn đồng? Biết trung bình cứ chạy 1 km, ô tô tiêu thụ hết 0,3 lít xăng. Giá thành xăng hiện nay là 25000 đồng một lít xăng (làm tròn kết quả đến hàng đơn vị).
Câu 3. Cho ba lực cùng tác động vào một vật tại điểm M và vật đứng yên. Cho biết cường độ cùng bằng 150 N và góc . Khi đó cường độ lực bằng bao nhiêu?
................................
................................
................................
Xem thêm đề kiểm tra Toán lớp 10 Cánh diều có đáp án hay khác:
Xem thêm các tài liệu học tốt lớp 10 hay khác:
- Giải sgk Toán 10 Cánh diều
- Giải Chuyên đề học tập Toán 10 Cánh diều
- Giải SBT Toán 10 Cánh diều
- Giải lớp 10 Cánh diều (các môn học)
- Giải lớp 10 Kết nối tri thức (các môn học)
- Giải lớp 10 Chân trời sáng tạo (các môn học)
Tủ sách VIETJACK shopee lớp 10-11 (cả 3 bộ sách):
Đã có app VietJack trên điện thoại, giải bài tập SGK, SBT Soạn văn, Văn mẫu, Thi online, Bài giảng....miễn phí. Tải ngay ứng dụng trên Android và iOS.
Theo dõi chúng tôi miễn phí trên mạng xã hội facebook và youtube:Nếu thấy hay, hãy động viên và chia sẻ nhé! Các bình luận không phù hợp với nội quy bình luận trang web sẽ bị cấm bình luận vĩnh viễn.
- Soạn văn 10 (hay nhất) - Cánh diều
- Soạn văn 10 (ngắn nhất) - Cánh diều
- Soạn văn 10 (siêu ngắn) - Cánh diều
- Giải sgk Toán 10 - Cánh diều
- Giải Tiếng Anh 10 Global Success
- Giải Tiếng Anh 10 Friends Global
- Giải sgk Tiếng Anh 10 iLearn Smart World
- Giải sgk Tiếng Anh 10 Explore New Worlds
- Giải sgk Vật lí 10 - Cánh diều
- Giải sgk Hóa học 10 - Cánh diều
- Giải sgk Sinh học 10 - Cánh diều
- Giải sgk Địa lí 10 - Cánh diều
- Giải sgk Lịch sử 10 - Cánh diều
- Giải sgk Kinh tế và Pháp luật 10 - Cánh diều
- Giải sgk Tin học 10 - Cánh diều
- Giải sgk Công nghệ 10 - Cánh diều
- Giải sgk Hoạt động trải nghiệm 10 - Cánh diều
- Giải sgk Giáo dục quốc phòng 10 - Cánh diều


Giải bài tập SGK & SBT
Tài liệu giáo viên
Sách
Khóa học
Thi online
Hỏi đáp

