Đề kiểm tra Toán 10 Cánh diều Chương 6 (có lời giải)
Đề kiểm tra Toán 10 Cánh diều Chương 6: Một số yếu tố thống kê và xác suất có đáp án chi tiết theo cấu trúc mới với bài tập đa dạng đầy đủ các mức độ sẽ giúp học sinh lớp 10 ôn luyện Toán 10.
Đề kiểm tra Toán 10 Cánh diều Chương 6 (có lời giải)
Chỉ từ 250k mua trọn bộ Bài tập ôn tập + Đề kiểm tra Toán 10 Cánh diều theo Chương theo cấu trúc mới bản word có lời giải chi tiết, trình bày đẹp mắt, dễ dàng chỉnh sửa:
- B1: gửi phí vào tk:
1133836868- CT TNHH DAU TU VA DV GD VIETJACK - Ngân hàng MB (QR) - B2: Nhắn tin tới Zalo VietJack Official - nhấn vào đây để thông báo và nhận đề thi
Phần 1. Trắc nghiệm nhiều phương án lựa chọn
Mỗi câu hỏi thí sinh chỉ chọn một phương án.
Câu 1. Số gần đúng của số a = 15285 với độ chính xác d = 300 là
A. 15000.
B. 15300.
C. 15585.
D. 15500.
Câu 2. Mẫu số liệu thống kê chiều cao (đơn vị: mét) của 15 cây bạch đàn như sau:
|
6,1 |
6,8 |
7,5 |
8,2 |
8,2 |
7,8 |
7,9 |
9,0 |
8,9 |
7,2 |
7,5 |
8,7 |
7,7 |
8,8 |
7,6 |
Khoảng biến thiên (đơn vị: mét) của mẫu số liệu trên bằng
A. 2,9.
B. 2,8.
C. 3,0.
D. 2,2.
Câu 3. Chỉ số IQ của một nhóm học sinh được ghi nhận như sau:
|
60 |
78 |
80 |
64 |
70 |
76 |
80 |
74 |
86 |
90 |
Tứ phân vị thứ ba của mẫu số liệu là
A.
B.
C.
D.
Câu 4. Nhiệt độ cao nhất của một thành phố trong 7 ngày liên tiếp trong tháng 8 (độ C) được ghi lại như sau:
|
34 |
34 |
36 |
35 |
33 |
31 |
30 |
Phương sai của mẫu số liệu thuộc khoảng nào trong các khoảng dưới đây?
A. (1; 2).
B. (3; 4).
C. (2; ).
D. (0; ).
Câu 5. Gieo một con xúc xắc cân đối và đồng chất hai lần liên tiếp. Tính xác suất của biến cố “Tổng số chấm trên hai mặt là số lẻ”.
A.
B.
C.
D.
Câu 6. Mỗi hộp có 5 viên bi xanh, 6 viên bi đỏ và 7 viên bi vàng. Chọn ngẫu nhiên 5 viên bi trong hộp. Tính xác suất để 5 viên bi được chọn chỉ có một màu.
A.
B.
C.
D.
Phần 2. Trắc nghiệm đúng sai
Trong mỗi ý a), b), c), d) ở mỗi câu, thí sinh chọn đúng hoặc sai.
Câu 1. Thống kê số bao cám được bán ra tại một cửa hàng thức ăn gia súc trong 24 tháng cho kết quả như sau:
|
72 |
89 |
88 |
73 |
63 |
265 |
69 |
66 |
93 |
59 |
60 |
61 |
|
94 |
80 |
81 |
98 |
66 |
71 |
84 |
73 |
83 |
72 |
85 |
66 |
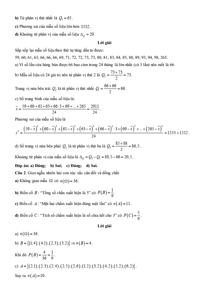
a) Mốt của mẫu số liệu là 66.
b) Tứ phân vị thứ nhất là
c) Phương sai của mẫu số liệu lớn hơn 1552.
d) Khoảng tứ phân vị của mẫu số liệu
Câu 2. Gieo ngẫu nhiên hai con xúc xắc cân đối và đồng chất.
a) Không gian mẫu có
b) Biến cố B: “Tổng số chấn xuất hiện là 5” có
c) Biến cố A: “Mặt hai chấm xuất hiện đúng một lần” có
d) Biến cố C: “Tích số chấm xuất hiện là số chia hết cho 3” có
Phần 3. Trắc nghiệm trả lời ngắn
Câu 1. Đo chu vi một bể bơi được kết quả là . Hãy viết số quy tròn của số gần đúng 347,13.
Câu 2. Điểm điều tra về chất lượng sản phẩm mới (thang điểm: 100) như sau:
|
80 |
65 |
51 |
48 |
45 |
61 |
30 |
35 |
87 |
83 |
60 |
58 |
75 |
|
72 |
68 |
39 |
41 |
54 |
61 |
72 |
75 |
72 |
61 |
50 |
65 |
Có bao nhiêu giá trị bất thường (giá trị ngoại lệ) trong mẫu số liệu trên?
Câu 3. Một bó hoa có 5 hoa sen trắng, 6 hoa sen đỏ và 7 hoa sen vàng. Chọn lấy 3 bông hoa. Tính xác suất chọn được 3 bông hoa có đủ cả ba màu (làm tròn kết quả đến hàng phần trăm)?
................................
................................
................................
Xem thêm đề kiểm tra Toán lớp 10 Cánh diều có đáp án hay khác:
Xem thêm các tài liệu học tốt lớp 10 hay khác:
- Giải sgk Toán 10 Cánh diều
- Giải Chuyên đề học tập Toán 10 Cánh diều
- Giải SBT Toán 10 Cánh diều
- Giải lớp 10 Cánh diều (các môn học)
- Giải lớp 10 Kết nối tri thức (các môn học)
- Giải lớp 10 Chân trời sáng tạo (các môn học)
Tủ sách VIETJACK shopee lớp 10-11 (cả 3 bộ sách):
Đã có app VietJack trên điện thoại, giải bài tập SGK, SBT Soạn văn, Văn mẫu, Thi online, Bài giảng....miễn phí. Tải ngay ứng dụng trên Android và iOS.
Theo dõi chúng tôi miễn phí trên mạng xã hội facebook và youtube:Nếu thấy hay, hãy động viên và chia sẻ nhé! Các bình luận không phù hợp với nội quy bình luận trang web sẽ bị cấm bình luận vĩnh viễn.
- Soạn văn 10 (hay nhất) - Cánh diều
- Soạn văn 10 (ngắn nhất) - Cánh diều
- Soạn văn 10 (siêu ngắn) - Cánh diều
- Giải sgk Toán 10 - Cánh diều
- Giải Tiếng Anh 10 Global Success
- Giải Tiếng Anh 10 Friends Global
- Giải sgk Tiếng Anh 10 iLearn Smart World
- Giải sgk Tiếng Anh 10 Explore New Worlds
- Giải sgk Vật lí 10 - Cánh diều
- Giải sgk Hóa học 10 - Cánh diều
- Giải sgk Sinh học 10 - Cánh diều
- Giải sgk Địa lí 10 - Cánh diều
- Giải sgk Lịch sử 10 - Cánh diều
- Giải sgk Kinh tế và Pháp luật 10 - Cánh diều
- Giải sgk Tin học 10 - Cánh diều
- Giải sgk Công nghệ 10 - Cánh diều
- Giải sgk Hoạt động trải nghiệm 10 - Cánh diều
- Giải sgk Giáo dục quốc phòng 10 - Cánh diều


Giải bài tập SGK & SBT
Tài liệu giáo viên
Sách
Khóa học
Thi online
Hỏi đáp

