4 cách giải phương trình vô tỉ cực hay
Cách giải phương trình vô tỉ lớp 9 với phương pháp giải chi tiết và bài tập đa dạng giúp học sinh ôn tập, biết cách làm bài tập phương trình vô tỉ.
4 cách giải phương trình vô tỉ cực hay
(199k) Xem Khóa học Toán 9 KNTTXem Khóa học Toán 9 CDXem Khóa học Toán 9 CTST
Phương pháp giải
- Cách 1: Nâng lên cùng một lũy thừa ở cả hai vế.
+ Phương trình
+ Phương trình √A = √B ⇔ A = B.
+ Phương trình A2 = B2 ⇔ |A| = |B| ⇔ A = ±B
- Cách 2: Đặt ẩn phụ.
- Cách 3: Sử dụng biểu thức liên hợp, đánh giá.
- Một số phương trình đặc biệt có cách giải riêng biệt khác.
Ví dụ minh họa
Ví dụ 1: Sử dụng phương pháp bình phương để giải các phương trình:
Hướng dẫn giải:
a) √x = 3 (đkxđ: x ≥ 0)
⇔ x = 32 = 9 (t/m)
Vậy phương trình có nghiệm x = 9.
b) (đkxđ: x ≥ -1)
⇔ x + 1 = 4
⇔ x = 3 (t/m)
Vậy phương trình có nghiệm x = 3.
c) (đkxđ: x ≥ -3/2 )
⇒ 2x + 3 = x2
⇔ x2 – 2x – 3 = 0
⇔ (x + 1)(x – 3) = 0
⇔ x = -1 hoặc x = 3
Thử lại chỉ có giá trị x = 3 thỏa mãn phương trình.
Vậy phương trình có nghiệm x = 3.
d) (đkxđ: x ≥ 1).
⇒ x - 1 = (x-3)2
⇔ x – 1 = x2 – 6x + 9
⇔ x2 – 7x + 10 = 0
⇔ (x – 2)(x – 5) = 0
⇔ x = 2 hoặc x = 5
Thử lại chỉ có giá trị x = 5 thỏa mãn.
Ví dụ 2: Sử dụng phương pháp đặt ẩn phụ để giải các phương trình sau:
Hướng dẫn giải:
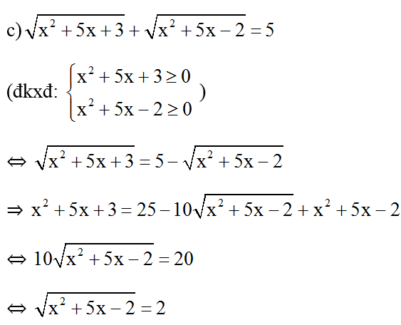
a) Đặt
⇒ x2 + 5x + 3 = t2
⇒ 2x2 + 10x = 2(x2 + 5x) = 2. (t2 - 3) = 2t2 - 6
Khi đó phương trình trở thành:
t + 2t2 - 6 - 15 = 0 ⇔ 2t2 + t – 21 = 0
⇔ (t-3) (2t + 7/2) = 0 ⇔ t = 3 (T/M) hoặc t = -7/2(L).
Với t = 3 thì
⇔ x2 + 5x + 3 = 9
⇔ x2 + 5x - 6 = 0
⇔ (x-1) (x+6) = 0
⇔ x = 1 hoặc x = -6
Vậy phương trình có hai nghiệm: x = 1 và x = -6.
b) Đặt ⇒ x = t3.
Khi đó phương trình trở thành: t3 + t – 2 = 0 ⇔ (t – 1)(t2 + t + 2) = 0 ⇔ t = 1 (Vì t2 + t + 2 > 0 với mọi t).
Với t = 1 ⇒ x = 1.
Vậy phương trình có nghiệm x = 1.
c) (Đkxđ: x ≠ 0 và x - 1/x ≥ 0 ).
Chia cả hai vế cho x ta được:
Phương trình trở thành: t2 + 2t - 3 = 0
⇔ (t-1)(t+3) = 0 ⇔ t = 1(t/m) hoặc t = -3(l)
Với t = 1 ⇒
⇔ x2 – 1 = x
⇔ x2 – x – 1 = 0
⇔ (x-1/2)2 = 5/4
Vậy phương trình có hai nghiệm
d) Đặt
Ta thu được hệ phương trình :
⇔ 5x = 5 ⇔ x = 1.
Vậy phương trình có nghiệm x = 1.
Ví dụ 3: Giải các phương trình sau đây:
Hướng dẫn giải:
a) Phương pháp giải: Phân tích thành nhân tử
Vậy phương trình có nghiệm duy nhất x = 0.
b)
Điều kiện xác định : ⇔ x = 7.
Thay x = 7 vào thấy không thỏa mãn phương trình.
Vậy phương trình vô nghiệm.
c) Phương pháp giải: Đánh giá
VT = VP ⇔
Vậy phương trình vô nghiệm.
+ TH1: Xét ⇔ x-1 ≥ 9 ⇔ x ≥ 10 .
Phương trình trở thành:
⇔ x – 1 = 81/4 ⇔ x = 85/4 (t.m)
+ TH2: Xét (không tồn tại)
+ TH3: Xét ⇔ 5 ≤ x ≤ 10 .
Phương trình trở thành:
⇔ 1 = 4 (vô nghiệm)
+ TH4: Xét ⇔ x ≤ 5.
Phương trình trở thành:
⇔ x - 1 = 1/4 ⇔ x = 5/4 (thỏa mãn).
Vậy phương trình có hai nghiệm x = 5/4 và x = 85/4
Bài tập trắc nghiệm tự luyện
Bài 1: Nghiệm của phương trình là :
A. x = 6 B. x = 3 C. x = 9 D. Vô nghiệm.
Đáp án: A
Bài 2: Phương trình có số nghiệm là:
A. 0 B. 1 C. 2 D. 3.
Đáp án: C
⇔ (x + 1)(x + 3) = 8
⇔ x2 + 4x + 3 = 8
⇔ x2 + 4x – 5 = 0
⇔ x2 + 5x – x – 5 = 0
⇔ (x + 5)(x – 1) = 0
⇔ x = -5 hoặc x = 1 (t/m)
Vậy phương trình có hai nghiệm
Bài 3: Tổng các nghiệm của phương trình x - 5√x + 6 = 0 là:
A. 5 B. 9 C. 4 D. 13.
Đáp án: D
Đkxđ: x ≥ 0.
x - 5√x + 6 = 0
⇔ x - 3√x - 2√x + 6 = 0
⇔ (√x - 3) (√x - 2) = 0
Vậy tổng các nghiệm của phương trình là 13.
Bài 4: Phương trình có nghiệm là:
A. x = 4 B. x = -3 C. x = -3 và x = 4 D. Vô nghiệm.
Đáp án: A
(đkxđ: x ≤ -3 hoặc x ≥ -1)
⇒ 25 – x2 = (x – 1)2
⇔ 25 – x2 = x2 – 2x + 1
⇔ 2x2 – 2x – 24 = 0
⇔ x2 – x – 12 = 0
⇔ x2 – 4x + 3x – 12 = 0
⇔ (x – 4)(x + 3) = 0
⇔ x = 4 hoặc x = -3.
Thử lại chỉ có x = 4 là nghiệm của phương trình.
Bài 5: Phương trình có số nghiệm là:
A. 0 B. 1 C. 2 D. Vô số.
Đáp án: D
⇔ |x-3| = x-3 ⇔ x ≥ 3
Vậy phương trình có nghiệm đúng với mọi x ≥ 3 hay phương trình có vô số nghiệm.
Bài 6: Giải các phương trình:
Hướng dẫn giải:
a) (đkxđ: x ≥ -3/2 )
⇔
⇔ 2x + 3 = 1/4
⇔ 2x = -11/4
⇔ x = -11/8
Vậy phương trình có nghiệm x = -11/8 .
b) (đkxđ: x ≥ 0)
⇔ 3x = 144
⇔ x = 48
c) (đkxđ: x ≥ -1)
⇔ x + 1 = 25
⇔ x = 24.
Vậy phương trình có nghiệm x = 24.
Bài 7: Giải các phương trình:
Hướng dẫn giải:
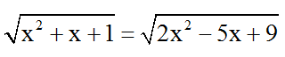
a)
⇔ x2 + x + 1 = 2x2 – 5x + 9
⇔ x2 – 6x + 8 = 0
⇔ x2 – 2x – 4x + 8 = 0
⇔ (x – 2)(x – 4) = 0
⇔ x = 2 hoặc x = 4.
Vậy phương trình có hai nghiệm x = 2 hoặc x = 4.
b)
⇒ 3x2 + 4x + 1 = (x – 1)2
⇔ 3x2 + 4x + 1 = x2 – 2x + 1
⇔ 2x2 – 6x = 0
⇔ 2x(x – 3) = 0
⇔ x = 0 hoặc x = 3.
Thử lại chỉ có x = 3 là nghiệm của phương trình.
Vậy phương trình có nghiệm x = 3.
⇔ x2 + 5x - 2 = 4
⇔ x2 + 5x - 6 = 0
⇔ (x + 6)(x – 1) = 0
⇔ x = 1 hoặc x = -6
Thử lại cả hai nghiệm đều thỏa mãn phương trình.
Vậy phương trình có hai nghiệm x = -6 hoặc x = 1.
⇒ 4(x+1)(2x+3) = (21-3x)2
⇔ 4(2x2 + 2x + 3x + 3) = 441 – 126x + 9x2
⇔ 8x2 + 20x + 12 = 441 – 126x + 9x2
⇔ x2 – 146x + 429 = 0.
⇔ x2 – 3x – 143x + 429 = 0
⇔ (x – 3)(x – 143) = 0
⇔ x = 3 hoặc x = 143.
Thử lại cả hai đều thỏa mãn phương trình
Vậy phương trình có hai nghiệm x = 3 và x = 143.
Bài 8: Giải các phương trình:
Hướng dẫn giải:
a)
Đặt
+ Th1: ⇔ x = 1.
+ Th2: ⇔ x = -7.
Vậy phương trình có hai nghiệm x = 1 và x = -7.
b) (đkxđ: x ≥ -1)
Đặt
⇒ a2 - b2 = (2x+3) - (x+1) = x + 2
⇒ a – b = a2 – b2
⇔ (a – b)(a + b) – (a – b) = 0
⇔ (a – b)(a + b – 1) = 0
⇔ a = b hoặ a + b = 1
+ Th1: a = b ⇒
⇔ 2x + 3 = x + 1 ⇔ x = -2 < -1 (Loại)
+ Th2: a + b – 1 = 0.
Mà a ≥ 1; b ≥ 0 nên a + b ≥ 1 hay a + b – 1 ≥ 0.
Phương trình chỉ xảy ra ⇔ ⇔ x = -1 .
Vậy phương trình có nghiệm x = -1.
c) (đkxđ: x2 – 2x – 3 ≥ 0)
Phương trình trở thành: t2 + 3t - 4 = 0
⇔ t2 + 4t – t – 4 = 0
⇔ (t + 4)(t – 1) = 0
⇔ t = -4 (L) hoặc t = 1 (T/M)
⇔
⇔ x2 – 2x – 3 = 1
⇔ x2 – 2x – 4 = 0
⇔ (x – 1)2 = 5
Bài 9: Giải phương trình:
Hướng dẫn giải:
Ta có:
⇒ VT (1) = ≥ 2 + 3 = 5.
VP (1) = 4 – 2x – x2 = 5 – (1 + 2x + x2) = 5 – (x + 1)2 ≤ 5.
VT = VP ⇔ ⇔ x = -1.
Thử lại x = -1 là nghiệm của phương trình.
Vậy phương trình có nghiệm x = -1.
Bài 10: Giải phương trình:
Hướng dẫn giải:
(Đkxđ: x ≥ -1 )
+ TH1:
Khi đó phương trình trở thành:
⇔ x = 3 (t.m)
+ TH2: ⇔ x < 3.
Khi đó phương trình trở thành:
⇔ 4 = 4 (đúng với mọi x)
Vậy phương trình nghiệm đúng với mọi x thỏa mãn -1 ≤ x ≤ 3.
Bài tập tự luyện
Bài 1. Giải các phương trình
a) ;
b) ;
c) .
Bài 2. Giải các phương trình
a) ;
b) ;
c) .
Bài 3. Giải các phương trình
a) ;
b) ;
c) ;
d) .
Bài 4. Tổng các nghiệm của hai phương trình là = và = .
Bài 5. Giải phương trình
a) ;
b) ;
c) .
(199k) Xem Khóa học Toán 9 KNTTXem Khóa học Toán 9 CDXem Khóa học Toán 9 CTST
Xem thêm các dạng bài tập Toán lớp 9 có đáp án và lời giải chi tiết khác:
- Bài toán so sánh, tìm giá trị lớn nhất, nhỏ nhất của biểu thức chứa căn thức
- Căn bậc hai - Căn bậc ba
- Bài tập trắc nghiệm Căn bậc hai số học của một số
- Tìm điều kiện để biểu thức căn có nghĩa
- Bài tập trắc nghiệm Tìm điều kiện xác định
Mục lục các Chuyên đề Toán lớp 9:
- Chuyên đề Đại Số 9
- Chuyên đề: Căn bậc hai
- Chuyên đề: Hàm số bậc nhất
- Chuyên đề: Hệ hai phương trình bậc nhất hai ẩn
- Chuyên đề: Phương trình bậc hai một ẩn số
- Chuyên đề Hình Học 9
- Chuyên đề: Hệ thức lượng trong tam giác vuông
- Chuyên đề: Đường tròn
- Chuyên đề: Góc với đường tròn
- Chuyên đề: Hình Trụ - Hình Nón - Hình Cầu
Tủ sách VIETJACK luyện thi vào 10 cho 2k11 (2026):
Đã có app VietJack trên điện thoại, giải bài tập SGK, SBT Soạn văn, Văn mẫu, Thi online, Bài giảng....miễn phí. Tải ngay ứng dụng trên Android và iOS.
Theo dõi chúng tôi miễn phí trên mạng xã hội facebook và youtube:Nếu thấy hay, hãy động viên và chia sẻ nhé! Các bình luận không phù hợp với nội quy bình luận trang web sẽ bị cấm bình luận vĩnh viễn.
- Giải Tiếng Anh 9 Global Success
- Giải sgk Tiếng Anh 9 Smart World
- Giải sgk Tiếng Anh 9 Friends plus
- Lớp 9 Kết nối tri thức
- Soạn văn 9 (hay nhất) - KNTT
- Soạn văn 9 (ngắn nhất) - KNTT
- Giải sgk Toán 9 - KNTT
- Giải sgk Khoa học tự nhiên 9 - KNTT
- Giải sgk Lịch Sử 9 - KNTT
- Giải sgk Địa Lí 9 - KNTT
- Giải sgk Giáo dục công dân 9 - KNTT
- Giải sgk Tin học 9 - KNTT
- Giải sgk Công nghệ 9 - KNTT
- Giải sgk Hoạt động trải nghiệm 9 - KNTT
- Giải sgk Âm nhạc 9 - KNTT
- Giải sgk Mĩ thuật 9 - KNTT
- Lớp 9 Chân trời sáng tạo
- Soạn văn 9 (hay nhất) - CTST
- Soạn văn 9 (ngắn nhất) - CTST
- Giải sgk Toán 9 - CTST
- Giải sgk Khoa học tự nhiên 9 - CTST
- Giải sgk Lịch Sử 9 - CTST
- Giải sgk Địa Lí 9 - CTST
- Giải sgk Giáo dục công dân 9 - CTST
- Giải sgk Tin học 9 - CTST
- Giải sgk Công nghệ 9 - CTST
- Giải sgk Hoạt động trải nghiệm 9 - CTST
- Giải sgk Âm nhạc 9 - CTST
- Giải sgk Mĩ thuật 9 - CTST
- Lớp 9 Cánh diều
- Soạn văn 9 Cánh diều (hay nhất)
- Soạn văn 9 Cánh diều (ngắn nhất)
- Giải sgk Toán 9 - Cánh diều
- Giải sgk Khoa học tự nhiên 9 - Cánh diều
- Giải sgk Lịch Sử 9 - Cánh diều
- Giải sgk Địa Lí 9 - Cánh diều
- Giải sgk Giáo dục công dân 9 - Cánh diều
- Giải sgk Tin học 9 - Cánh diều
- Giải sgk Công nghệ 9 - Cánh diều
- Giải sgk Hoạt động trải nghiệm 9 - Cánh diều
- Giải sgk Âm nhạc 9 - Cánh diều
- Giải sgk Mĩ thuật 9 - Cánh diều


Giải bài tập SGK & SBT
Tài liệu giáo viên
Sách
Khóa học
Thi online
Hỏi đáp

