Cách giải phương trình vô tỉ bằng phương pháp sử dụng biểu thức liên hợp cực hay
Cách giải phương trình vô tỉ bằng phương pháp sử dụng biểu thức liên hợp lớp 9 với phương pháp giải chi tiết và bài tập đa dạng giúp học sinh ôn tập, biết cách làm bài tập phương trình vô tỉ bằng phương pháp sử dụng biểu thức liên hợp.
- Phương pháp giải phương trình vô tỉ bằng phương pháp sử dụng biểu thức liên hợp
- Ví dụ minh họa phương trình vô tỉ bằng phương pháp sử dụng biểu thức liên hợp
- Bài tập trắc nghiệm tự luyện phương trình vô tỉ bằng phương pháp sử dụng biểu thức liên hợp
- Bài tập tự luyện phương trình vô tỉ bằng phương pháp sử dụng biểu thức liên hợp
Cách giải phương trình vô tỉ bằng phương pháp sử dụng biểu thức liên hợp cực hay
(199k) Xem Khóa học Toán 9 KNTTXem Khóa học Toán 9 CDXem Khóa học Toán 9 CTST
Phương pháp giải
Bước 1: Tìm đkxđ.
Bước 2: Nhẩm nghiệm (thường là nghiệm nguyên). Giả sử phương trình có nghiệm x = a
Bước 3: Tách, thêm bớt rồi nhân liên hợp sao cho xuất hiện nhân tử chung (x – a).
Các biểu thức liên hợp thường dùng:
Bước 4. Chứng minh biểu thức còn lại luôn âm hoặc dương
Bước 5. Đối chiếu điều kiện, kết luận nghiệm.
Ví dụ minh họa
Ví dụ 1: Giải phương trình:
Hướng dẫn giải:
Phân tích: Để ý thấy x = 2 là nghiệm của phương trình, do đó ta có thể liên hợp và 1;
và 2.
Đkxđ: x ≥ -2 .
Ta có:
⇔ x = 2 (t.m đkxđ)
Vậy phương trình có nghiệm x = 2.
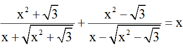
Ví dụ 2: Giải phương trình:
Hướng dẫn giải:
Đkxđ: ∀ x ∈ R
Ta có:
Vậy phương trình có hai nghiệm .
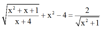
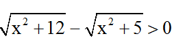
Ví dụ 3: Giải phương trình
Hướng dẫn giải:
Gợi ý: Nhẩm được phương trình có nghiệm x = 2 nên ta tách các biểu thức để liên hợp sao cho xuất hiện nhân tử (x – 2).
Đkxđ: ∀ x ∈ R
Vì nên phương trình có nghiệm ⇔ 3x - 5 > 0 ⇔ x > 5/3 .
Khi đó:
Với x > 5/3 > 0 thì .
Lại có
(*) ⇔ x – 2 = 0 ⇔ x = 2.
Vậy phương trình có nghiệm x = 2.
Bài tập trắc nghiệm tự luyện
Bài 1: Biểu thức liên hợp của là:
Đáp án: B
Bài 2: Biểu thức liên hợp của là:
Đáp án: C
Bài 3: Biểu thức nào dưới đây bằng với biểu thức
Đáp án: A
Bài 4: Biểu thức nào dưới đây bằng với biểu thức
Đáp án: D
Bài 5: Nghiệm của phương trình có nghiệm là:
A. x = √2 B. x = -√2
C. x = √3 D. x = -√3
Đáp án: A
Bài 6: Giải phương trình
Hướng dẫn giải:
Đkxđ:
⇔ x – 2 = 0 (Vì biểu thức trong [...] luôn dương)
⇔ x = 2 (t.m đkxđ).
Vậy phương trình có nghiệm x = 2.
Bài 7: Giải phương trình
Hướng dẫn giải:
Đkxđ: x ≥ -9/2; x ≠ 0 .
⇔ x = -9/2 (t.m đkxđ).
Vậy phương trình có nghiệm x = -9/2 .
Bài 8: Giải phương trình
Hướng dẫn giải:
Đkxđ: x ≥ 1.
Ta chứng minh được:
Khi đó (*) ⇔ x – 3 = 0 ⇔ x = 3 (t.m đk xđ).
Vậy phương trình có nghiệm x = 3.
Bài 9: Giải phương trình:
Hướng dẫn giải:
Đkxđ: 1 ≤ x ≤ 5 .
Ta thấy: với 1 ≤ x ≤ 5 .
Ta chứng minh
Thật vậy: Với 1 ≤ x ≤ x thì:
(*) ⇔ ⇔ x = 5 (t.m đkxđ).
Vậy phương trình có nghiệm x = 5.
Bài 10: Giải phương trình:
Hướng dẫn giải:
Đkxđ: x > -4.
⇔ x2 - 3 = 0(Vì biểu thức trong [ ] luôn dương)
⇔ x2 = 3
⇔ x = ±√3(t.m đkxđ).
Vậy phương trình có hai nghiệm x = ±√3 .
Bài tập tự luyện
Bài 1. Giải phương trình
a)
b)
c)
d)
Bài 2. Hãy tìm biểu thức liên hợp của biểu thức .
Bài 3. Cho phương trình . Tìm nghiệm của phương trình?
Bài 4. Số nghiệm của các phương trình.
a) ;
b)
c)
Bài 5. Giải phương trình
a)
b)
(199k) Xem Khóa học Toán 9 KNTTXem Khóa học Toán 9 CDXem Khóa học Toán 9 CTST
Xem thêm các dạng bài tập Toán lớp 9 có đáp án và lời giải chi tiết khác:
Mục lục các Chuyên đề Toán lớp 9:
- Chuyên đề Đại Số 9
- Chuyên đề: Căn bậc hai
- Chuyên đề: Hàm số bậc nhất
- Chuyên đề: Hệ hai phương trình bậc nhất hai ẩn
- Chuyên đề: Phương trình bậc hai một ẩn số
- Chuyên đề Hình Học 9
- Chuyên đề: Hệ thức lượng trong tam giác vuông
- Chuyên đề: Đường tròn
- Chuyên đề: Góc với đường tròn
- Chuyên đề: Hình Trụ - Hình Nón - Hình Cầu
Tủ sách VIETJACK luyện thi vào 10 cho 2k11 (2026):
Đã có app VietJack trên điện thoại, giải bài tập SGK, SBT Soạn văn, Văn mẫu, Thi online, Bài giảng....miễn phí. Tải ngay ứng dụng trên Android và iOS.
Theo dõi chúng tôi miễn phí trên mạng xã hội facebook và youtube:Nếu thấy hay, hãy động viên và chia sẻ nhé! Các bình luận không phù hợp với nội quy bình luận trang web sẽ bị cấm bình luận vĩnh viễn.
- Giải Tiếng Anh 9 Global Success
- Giải sgk Tiếng Anh 9 Smart World
- Giải sgk Tiếng Anh 9 Friends plus
- Lớp 9 Kết nối tri thức
- Soạn văn 9 (hay nhất) - KNTT
- Soạn văn 9 (ngắn nhất) - KNTT
- Giải sgk Toán 9 - KNTT
- Giải sgk Khoa học tự nhiên 9 - KNTT
- Giải sgk Lịch Sử 9 - KNTT
- Giải sgk Địa Lí 9 - KNTT
- Giải sgk Giáo dục công dân 9 - KNTT
- Giải sgk Tin học 9 - KNTT
- Giải sgk Công nghệ 9 - KNTT
- Giải sgk Hoạt động trải nghiệm 9 - KNTT
- Giải sgk Âm nhạc 9 - KNTT
- Giải sgk Mĩ thuật 9 - KNTT
- Lớp 9 Chân trời sáng tạo
- Soạn văn 9 (hay nhất) - CTST
- Soạn văn 9 (ngắn nhất) - CTST
- Giải sgk Toán 9 - CTST
- Giải sgk Khoa học tự nhiên 9 - CTST
- Giải sgk Lịch Sử 9 - CTST
- Giải sgk Địa Lí 9 - CTST
- Giải sgk Giáo dục công dân 9 - CTST
- Giải sgk Tin học 9 - CTST
- Giải sgk Công nghệ 9 - CTST
- Giải sgk Hoạt động trải nghiệm 9 - CTST
- Giải sgk Âm nhạc 9 - CTST
- Giải sgk Mĩ thuật 9 - CTST
- Lớp 9 Cánh diều
- Soạn văn 9 Cánh diều (hay nhất)
- Soạn văn 9 Cánh diều (ngắn nhất)
- Giải sgk Toán 9 - Cánh diều
- Giải sgk Khoa học tự nhiên 9 - Cánh diều
- Giải sgk Lịch Sử 9 - Cánh diều
- Giải sgk Địa Lí 9 - Cánh diều
- Giải sgk Giáo dục công dân 9 - Cánh diều
- Giải sgk Tin học 9 - Cánh diều
- Giải sgk Công nghệ 9 - Cánh diều
- Giải sgk Hoạt động trải nghiệm 9 - Cánh diều
- Giải sgk Âm nhạc 9 - Cánh diều
- Giải sgk Mĩ thuật 9 - Cánh diều


Giải bài tập SGK & SBT
Tài liệu giáo viên
Sách
Khóa học
Thi online
Hỏi đáp

