Phương pháp Tìm tập xác định của hàm số
Cách giải Phương pháp Tìm tập xác định của hàm số lớp 9 với phương pháp giải chi tiết và bài tập đa dạng giúp học sinh ôn tập, biết cách làm bài tập Phương pháp Tìm tập xác định của hàm số.
Phương pháp Tìm tập xác định của hàm số
(199k) Xem Khóa học Toán 9 KNTTXem Khóa học Toán 9 CDXem Khóa học Toán 9 CTST
Phương pháp giải
+ Hàm số dạng phân thức A/B xác định ⇔ B ≠ 0.
+ Hàm số dạng căn thức √A xác định ⇔ A ≥ 0.
Ví dụ minh họa
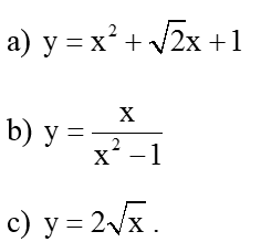
Ví dụ 1: Tìm tập xác định của các hàm số:
Hướng dẫn giải:
a) Hàm số y = x2 + √2x + 1 có nghĩa với mọi x ∈ R.
Vậy hàm số xác định với mọi x ∈ R.
b) Hàm số xác định ⇔ x2 – 1 ≠ 0 ⇔ x ±1.
Vậy hàm số có tập xác định x ≠ ±1 .
c) Hàm số y = √2x xác định ⇔ x ≥ 0.
Vậy hàm số có TXĐ: x ≥ 0 .
Ví dụ 2: Tìm tập xác định của hàm số
Hướng dẫn giải:
a) Hàm số xác định
Vậy hàm số có TXĐ: x > 2/3
b) Hàm số y = |2x-3| xác định với mọi x.
Vậy hàm số xác định với mọi x.
c) Hàm số xác định
Vậy hàm số có tập xác định .
Ví dụ 3: Tìm tập xác định của hàm số
Hướng dẫn giải:
a) Hàm số xác định
⇔ x2 - 2x - 3 ≥ 0
⇔ (x + 1)(x – 3) ≥ 0
Vậy hàm số có tập xác định x≥ 3 hoặc x ≤ -1 .
b) Hàm số xác định
(Vì x > 1 nên không xảy ra trường hợp 2x + 1 và x – 2 cùng âm).
Vậy hàm số có tập xác định x ≥ 2.
c)
⇔ x + 1 ≠ 0 ⇔ x ≠ -1.
Vậy hàm số có tập xác định x ≠ -1.
Bài tập trắc nghiệm tự luyện
Bài 1: Hàm số có tập xác định:
A. x ≤ 5 B. x ≥ 5 C. x < 5 D. x > 5.
Đáp án: A
Bài 2: Giá trị nào của x thuộc tập xác định của hàm số :
A. x = 0 B. x = 1 C. x = -1 D. x = -9
Đáp án: A
Bài 3: Hàm số xác định khi:
A. x ≠ 2; x 3 B. 2 ≤ x ≤ 3
C. x ≤ 2 hoặc x ≥ 3. D. x = 2 hoặc x = 3.
Đáp án: A
Bài 4: Giá trị nào của x dưới đây không thuộc tập xác định của hàm số ?
A. x = 4. B. x = 3 C. x = 2 D. x = -4.
Đáp án: B
Bài 5: Có bao nhiêu giá trị nguyên của x thỏa mãn điều kiện xác định của hàm số ?
A. 5 B. 6 C. 7 D. vô số.
Đáp án: B
Bài tập tự luận tự luyện
Tìm điều kiện xác định của các hàm số dưới đây:
Bài 6:
Hướng dẫn giải:
a) Hàm số xác định
⇔ 2x + 1 ≥ 0
⇔ x ≥ -1/2
Vậy hàm số có tập xác định x ≥ -1/2 .
b) xác định
⇔ -2x + 3 ≥ 0
⇔ 2x ≤ 3
⇔ x ≤ 3/2 .
Vậy hàm số có tập xác định x ≤ 3/2 .
Bài 7:
Hướng dẫn giải:
a) Hàm số xác định
⇔ x + 2 ≠ 0
⇔ x ≠ -2
Vậy hàm số có tập xác định là x ≠ -2.
b) Hàm số xác định
⇔ x - 2 ≠ 0
⇔ x ≠ 2
Vậy hàm số có tập xác định là x ≠ 2.
Bài 8:
Hướng dẫn giải:
a) Hàm số xác định
⇔ (x – 2)(x + 5) ≥ 0
Vậy hàm số có tập xác định x ≥ 2 hoặc x ≤ -5.
b) Hàm số xác định
⇔ 3x2 – x – 2 ≥ 0
⇔ (x – 1)(3x + 2) ≥ 0
Vậy tập xác định của hàm số là x ≥ 1 hoặc x ≤ -2/3 .
c) Hàm số xác định
Vậy tập xác định của hàm số là -3 ≤ x < 4.
Bài 9:
Hướng dẫn giải:
a) Hàm số xác định
Vậy hàm số có tập xác định x ≥ -3/2 và x ≠ 2.
b) Hàm số xác định
Vậy hàm số có tập xác định x ≤ -3 hoặc x > 2 và x ≠ 3.
Bài 10:
Hướng dẫn giải:
a) Ta có:
Vậy hàm số xác định
⇔ xác định
⇔ 2x – 3 ≥ 0 ⇔ x ≥ 3/2 .
b) Ta có :
Hàm số trên xác định ⇔
Vậy hàm số có tập xác định x ≥ 4.
Bài tập tự luyện
Bài 1. Tập xác định của hàm số:
a)
b)
c)
Bài 2. Tìm tập xác định D của hàm số .
Bài 3. Với những giá trị nào của x thì hàm số sau xác định.
a)
b)
c)
d)
Bài 4. Có bao nhiêu giá trị x để hàm số xác định.
Bài 5. Tìm tập xác định D của các hàm số sau:
a)
b) .
(199k) Xem Khóa học Toán 9 KNTTXem Khóa học Toán 9 CDXem Khóa học Toán 9 CTST
Xem thêm các dạng bài tập Toán lớp 9 có đáp án và lời giải chi tiết khác:
- Phương pháp Tìm tập giá trị của hàm số
- Xét tính đồng biến, nghịch biến của hàm số
- Tìm hoành độ giao điểm của đồ thị hàm số
- Cách xác định hàm số bậc nhất: tập xác định, đồng biến, nghịch biến
- Cách làm bài toán Đồ thị hàm số lớp 9 cực hay (có lời giải)
- Bài toán hai đường thẳng song song, cắt nhau, trùng nhau
- Cách làm Bài toán đường thẳng đi qua điểm cố định cực hay
- Bài toán Đồ thị hàm số trị tuyệt đối cực hay
Mục lục các Chuyên đề Toán lớp 9:
- Chuyên đề Đại Số 9
- Chuyên đề: Căn bậc hai
- Chuyên đề: Hàm số bậc nhất
- Chuyên đề: Hệ hai phương trình bậc nhất hai ẩn
- Chuyên đề: Phương trình bậc hai một ẩn số
- Chuyên đề Hình Học 9
- Chuyên đề: Hệ thức lượng trong tam giác vuông
- Chuyên đề: Đường tròn
- Chuyên đề: Góc với đường tròn
- Chuyên đề: Hình Trụ - Hình Nón - Hình Cầu
Tủ sách VIETJACK luyện thi vào 10 cho 2k11 (2026):
Đã có app VietJack trên điện thoại, giải bài tập SGK, SBT Soạn văn, Văn mẫu, Thi online, Bài giảng....miễn phí. Tải ngay ứng dụng trên Android và iOS.
Theo dõi chúng tôi miễn phí trên mạng xã hội facebook và youtube:Nếu thấy hay, hãy động viên và chia sẻ nhé! Các bình luận không phù hợp với nội quy bình luận trang web sẽ bị cấm bình luận vĩnh viễn.
- Giải Tiếng Anh 9 Global Success
- Giải sgk Tiếng Anh 9 Smart World
- Giải sgk Tiếng Anh 9 Friends plus
- Lớp 9 Kết nối tri thức
- Soạn văn 9 (hay nhất) - KNTT
- Soạn văn 9 (ngắn nhất) - KNTT
- Giải sgk Toán 9 - KNTT
- Giải sgk Khoa học tự nhiên 9 - KNTT
- Giải sgk Lịch Sử 9 - KNTT
- Giải sgk Địa Lí 9 - KNTT
- Giải sgk Giáo dục công dân 9 - KNTT
- Giải sgk Tin học 9 - KNTT
- Giải sgk Công nghệ 9 - KNTT
- Giải sgk Hoạt động trải nghiệm 9 - KNTT
- Giải sgk Âm nhạc 9 - KNTT
- Giải sgk Mĩ thuật 9 - KNTT
- Lớp 9 Chân trời sáng tạo
- Soạn văn 9 (hay nhất) - CTST
- Soạn văn 9 (ngắn nhất) - CTST
- Giải sgk Toán 9 - CTST
- Giải sgk Khoa học tự nhiên 9 - CTST
- Giải sgk Lịch Sử 9 - CTST
- Giải sgk Địa Lí 9 - CTST
- Giải sgk Giáo dục công dân 9 - CTST
- Giải sgk Tin học 9 - CTST
- Giải sgk Công nghệ 9 - CTST
- Giải sgk Hoạt động trải nghiệm 9 - CTST
- Giải sgk Âm nhạc 9 - CTST
- Giải sgk Mĩ thuật 9 - CTST
- Lớp 9 Cánh diều
- Soạn văn 9 Cánh diều (hay nhất)
- Soạn văn 9 Cánh diều (ngắn nhất)
- Giải sgk Toán 9 - Cánh diều
- Giải sgk Khoa học tự nhiên 9 - Cánh diều
- Giải sgk Lịch Sử 9 - Cánh diều
- Giải sgk Địa Lí 9 - Cánh diều
- Giải sgk Giáo dục công dân 9 - Cánh diều
- Giải sgk Tin học 9 - Cánh diều
- Giải sgk Công nghệ 9 - Cánh diều
- Giải sgk Hoạt động trải nghiệm 9 - Cánh diều
- Giải sgk Âm nhạc 9 - Cánh diều
- Giải sgk Mĩ thuật 9 - Cánh diều


Giải bài tập SGK & SBT
Tài liệu giáo viên
Sách
Khóa học
Thi online
Hỏi đáp

