Bài toán Đồ thị hàm số trị tuyệt đối cực hay
Cách giải Đồ thị hàm số trị tuyệt đối lớp 9 với phương pháp giải chi tiết và bài tập đa dạng giúp học sinh ôn tập, biết cách làm bài tập Đồ thị hàm số trị tuyệt đối.
Bài toán Đồ thị hàm số trị tuyệt đối cực hay
(199k) Xem Khóa học Toán 9 KNTTXem Khóa học Toán 9 CDXem Khóa học Toán 9 CTST
Phương pháp giải
+ Cách vẽ đồ thị hàm số y = |f(x)|.
Bước 1: Vẽ đồ thị hàm số y = f(x).
Bước 2: Giữ nguyên phần đồ thị nằm phía trên trục hoành
Bước 3: Lấy đối xứng phần đồ thị phía dưới trục hoành qua trục hoành.
+ Vẽ đồ thị hàm số dạng
Bước 1. Vẽ đồ thị hàm số y = f(x), giữ lại phần có hoành độ nhỏ hơn a.
Bước 2. Vẽ đồ thị hàm số y = g(x), giữ lại phần có hoành độ lớn hơn hoặc bằng a.
+ Biện luận nghiệm phương trình dựa vào đồ thị hàm số.
Số nghiệm của phương trình f(x) = m chính là số giao điểm của đường thẳng y = m và đồ thị hàm số y = f(x).
Ví dụ minh họa
Ví dụ 1: Vẽ đồ thị hàm số y = |2x – 4|.
Hướng dẫn giải:
Ta có:
Đồ thị hàm số y = |2x – 4| được vẽ bằng cách:
+ Vẽ đường thẳng y = 2x – 4
+ Giữ nguyên phần đồ thị nằm phía trên trục hoành
+ Lấy đối xứng phần đồ thị nằm phía dưới trục hoành qua trục hoành.
Ta được đồ thị hàm số như hình vẽ dưới.
Ví dụ 2: a) Vẽ đồ thị hàm số y = |2x – 1| + |x|.
b) Dựa vào đồ thị tìm giá trị nhỏ nhất của hàm số y = |2x – 1| + |x|
Hướng dẫn giải:
a) Ta có bảng xét giá trị tuyệt đối sau:
Từ đó suy ra :
Vậy đồ thị của hàm số y = |2x – 1| + |x| gồm ba phần:
+ Đường thẳng y = 1 – 3x chỉ lấy phần đồ thị có hoành độ nhỏ hơn hoặc bằng 0.
+ Đường thẳng y = 1 – x chỉ lấy phần đồ thị có hoành độ lớn hơn 0 và nhỏ hơn 1/2 .
+ Đường thẳng y = 3x – 1 chỉ lấy phần đồ thị có hoành độ lớn hơn hoặc bằng 1/2 .
Ta được đồ thị hàm số y = |2x – 1| + |x| như hình vẽ dưới.
b) Nhìn vào đồ thị ta thấy điểm có tung độ nhỏ nhất thuộc đồ thị hàm số là A(1/2;1/2) .
Vậy hàm số đạt giá trị nhỏ nhất bằng 1/2 , đạt tại x = 1/2 .
Ví dụ 3: a) Vẽ đồ thị hàm số .
b) Biện luận theo m số nghiệm của phương trình:
Hướng dẫn giải:
Ta có:
Ta có bảng xét giá trị tuyệt đối sau:
Từ đó suy ra
Vậy đồ thị hàm số gồm ba phần:
+ Một phần đường thẳng y = 3 – 3x lấy phần có hoành độ nhỏ hơn hoặc bằng 1/2
+ Một phần đường thẳng y = x + 1 lấy phần có hoành độ nằm giữa 1/2 và 2.
+ Một phần đường thẳng y = 3x – 2 lấy phần có hoành độ lớn hơn hoặc bằng 2.
Ta có đồ thị hàm số như dưới hình:
b) Số nghiệm của phương trình (1) phụ thuộc vào số giao điểm của đường thẳng y = m (song song với trục hoành) và đồ thị hàm số
.
+ Nếu m < 3/2 , đường thẳng y = m không cắt đồ thị hàm số
⇒ Phương trình vô nghiệm.
+ Nếu m = 3/2 , đường thẳng y = m cắt đồ thị hàm số tại điểm duy nhất (1/2; 3/2)
⇒ Phương trình có nghiệm duy nhất .
+ Nếu m > 3/2 , đường thẳng y = m cắt đồ thị hàm số tại hai điểm pb
⇒ Phương trình có hai nghiệm phân biệt.
Vậy: Với m < 3/2 , phương trình vô nghiệm.
Với m = 3/2 , phương trình có nghiệm duy nhất .
Với m > 3/2 , phương trình có hai nghiệm.
Bài tập trắc nghiệm tự luyện
Bài 1: Hàm số y = |x – 2| có giá trị nhỏ nhất là:
A. 0 B. 2 C. -2 D. -1.
Đáp án: A
Bài 2: Giá trị của hàm số y = |2x – 3| - |-x + 1| tại x = 0 là:
A. 2 B. 4 C. -2 D. -4.
Đáp án: A
Bài 3: Đồ thị dưới đây là của hàm số nào?
A. y = |3x-3| B. y = |x-1|
C. y = |3x| D. y = |x-2| .
Đáp án: A
Bài 4: Cho hàm số y = f(x) có đồ thị như hình vẽ dưới đây:
Phương trình f(x) = m có thể có tối đa bao nhiêu nghiệm?
A. 0 B. 1 C. 2 D. 3
Đáp án: D
Bài 5: Cho hàm số y = f(x) có đồ thị như hình vẽ dưới đây:
Có bao nhiêu giá trị của m để phương trình f(x) = m có hai nghiệm?
A. 0 B. 1 C. 2 D. 3
Đáp án: C
Bài tập tự luận tự luyện
Bài 6: Vẽ đồ thị hàm số y = |x-2| - 1
Hướng dẫn giải:
Ta có:
Từ đó suy ra đồi thị hàm số gồm 2 phần:
+ Một phần đường thẳng y = x – 3 có hoành độ lớn hơn hoặc bằng 2.
+ Một phần đường thẳng y = 1 – x có hoành độ nhỏ hơn 2.
Ta có đồ thị hàm số như hình vẽ dưới:
Bài 7: Vẽ đồ thị hàm số
Xác định giá trị nhỏ nhất của hàm số trên.
Hướng dẫn giải:
Có thể nhận thấy, đồ thị hàm số gồm hai phần:
+ Phần đường thẳng y = 3 – x với các điểm có hoành độ nhỏ hơn hoặc bằng 1.
+ Phần đường thẳng y = 2x với các điểm có hoành độ lớn hơn 1.
Ta có đồ thị hàm số như hình vẽ dưới:
Dựa vào đồ thị hàm số thấy điểm có tung độ nhỏ nhất là (1; 2).
Vậy hàm số đạt giá trị nhỏ nhất bằng 2, khi x = 1.
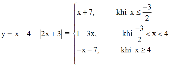
Bài 8: Tìm m để phương trình |x – 4| - |2x + 3| - m = 0 có hai nghiệm phân biệt.
Hướng dẫn giải:
Xét hàm số y = |x – 4| - |2x + 3|.
Ta có bảng xét giá trị tuyệt đối dưới đây:
Suy ra:
Vậy đồ thị hàm số gồm ba phần:
+ Phần đường thẳng y = x + 7 lấy các điểm có hoành độ nhỏ hơn hoặc bằng -3/2 .
+ Phần đường thẳng y = 1 – 3x lấy các điểm có hoành độ từ -3/2 đến 4.
+ Phần đường thẳng y = -x – 7 lấy các điểm có hoành độ lớn hơn hoặc bằng 4.
Ta có đồ thị hàm số như hình vẽ dưới :
+ Phương trình |x – 4| - |2x + 3| - m = 0 có hai nghiệm phân biệt
⇔ |x – 4| - |2x + 3| = m có hai nghiệm pb
⇔ Đường thẳng y = m cắt đồ thị hàm số y = |x – 4| - |2x + 3| tại hai điểm phân biệt
⇔ m < 11/2 (tung độ điểm A).
Vậy với m < 11/2 thì phương trình |x – 4| - |2x + 3| - m = 0 có hai nghiệm phân biệt.
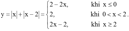
Bài 9: Bằng đồ thị, biện luận số nghiệm của phương trình |x| + |x-2| = m.
Hướng dẫn giải:
Xét hàm số y = |x| + |x – 2|
+ Xét x ≤ 0, hàm số trở thành y = -x + (2 – x) = 2 – 2x
+ Xét 0 < x < 2, hàm số trở thành y = x + (2 – x) = 2.
+ Xét x ≥ 2, hàm số trở thành y = x + x – 2 = 2x – 2.
Suy ra
Đồ thị hàm số trên gồm ba phần:
+ Phần đường thẳng y = 2 – 2x lấy các điểm có hoành độ nhỏ hơn hoặc bằng 0.
+ Phần đường thẳng y = 2 lấy các điểm có hoành độ từ 0 đến 2.
+ Phần đường thẳng y = 2x – 2, lấy các điểm có hoành độ lớn hơn hoặc bằng 2.
Ta có đồ thị như hình vẽ dưới (đường đồ thị màu đỏ):
Số nghiệm phương trình phụ thuộc số giao điểm của đường thẳng y = m và đồ thị hàm số y = |x| + |x – 2|.
+ Nếu m < 2, số giao điểm là 0, phương trình vô nghiệm.
+ Nếu m = 2, số giao điểm là vô số, phương trình có vô số nghiệm.
+ Nếu m > 2, số giao điểm bằng 2, phương trình có hai nghiệm.
Kết luận: Với m < 2, phương trình vô nghiệm.
Với m = 2, phương trình có vô số nghiệm.
Với m > 2, phương trình có hai nghiệm.
Bài 10: Cho hàm số
a) Vẽ đồ thị hàm số trên.
b) Tìm giá trị nhỏ nhất của hàm số.
c) Biện luận theo m số nghiệm của phương trình:
Hướng dẫn giải:
a) Ta có:
+ Xét x ≤ 1, y = (1 – x) + (3 – x) = 4 – 2x.
+ Xét 1 < x < 3, y = x – 1 + 3 – x = 2.
+ Xét x ≥ 3, y = x – 1 + x – 3 = 2x – 4.
⇒
Đồ thị hàm số gồm ba phần :
+ Phần đường thẳng y = 4 – 2x lấy các điểm có hoành độ nhỏ hơn hoặc bằng 1.
+ Phần đường thẳng y = 2 lấy các điểm có hoành độ từ 1 đến 3.
+ Phần đường thẳng y = 2x – 4 lấy các điểm có hoành độ lớn hơn hoặc bằng 3.
Ta có đồ thị hàm số như hình vẽ dưới :
b) Quan sát đồ thị hàm số, nhận thấy điểm thuộc đồ thị hàm số có tung độ nhỏ nhất bằng 2.
Vậy hàm số đạt giá trị nhỏ nhất bằng 2 tại mọi x thỏa mãn 1 ≤ x ≤ 3.
c) Số nghiệm của phương trình là số giao điểm của đường thẳng y = m – 1 và đồ thị hàm số
+ Nếu m – 1 < 2 hay m < 3 ⇒ hai đồ thị không có giao điểm ⇒ phương trình vô nghiệm.
+ Nếu m – 1 = 2 hay m = 3 ⇒ có vô số giao điểm ⇒ phương trình có vô số nghiệm.
+ Nếu m – 1 > 2 hay m > 3 ⇒ có hai giao điểm ⇒ phương trình có hai nghiệm.
Kết luận: Với m < 3, phương trình vô nghiệm.
Với m = 3, phương trình có vô số nghiệm.
Với m > 3, phương trình có hai nghiệm.
(199k) Xem Khóa học Toán 9 KNTTXem Khóa học Toán 9 CDXem Khóa học Toán 9 CTST
Xem thêm các dạng bài tập Toán lớp 9 có đáp án và lời giải chi tiết khác:
- Phương pháp Tìm tập xác định của hàm số
- Phương pháp Tìm tập giá trị của hàm số
- Xét tính đồng biến, nghịch biến của hàm số
- Tìm hoành độ giao điểm của đồ thị hàm số
- Cách xác định hàm số bậc nhất: tập xác định, đồng biến, nghịch biến
- Cách làm bài toán Đồ thị hàm số lớp 9 cực hay (có lời giải)
- Bài toán hai đường thẳng song song, cắt nhau, trùng nhau
- Cách làm Bài toán đường thẳng đi qua điểm cố định cực hay
Mục lục các Chuyên đề Toán lớp 9:
- Chuyên đề Đại Số 9
- Chuyên đề: Căn bậc hai
- Chuyên đề: Hàm số bậc nhất
- Chuyên đề: Hệ hai phương trình bậc nhất hai ẩn
- Chuyên đề: Phương trình bậc hai một ẩn số
- Chuyên đề Hình Học 9
- Chuyên đề: Hệ thức lượng trong tam giác vuông
- Chuyên đề: Đường tròn
- Chuyên đề: Góc với đường tròn
- Chuyên đề: Hình Trụ - Hình Nón - Hình Cầu
Tủ sách VIETJACK luyện thi vào 10 cho 2k11 (2026):
Đã có app VietJack trên điện thoại, giải bài tập SGK, SBT Soạn văn, Văn mẫu, Thi online, Bài giảng....miễn phí. Tải ngay ứng dụng trên Android và iOS.
Theo dõi chúng tôi miễn phí trên mạng xã hội facebook và youtube:Nếu thấy hay, hãy động viên và chia sẻ nhé! Các bình luận không phù hợp với nội quy bình luận trang web sẽ bị cấm bình luận vĩnh viễn.
- Giải Tiếng Anh 9 Global Success
- Giải sgk Tiếng Anh 9 Smart World
- Giải sgk Tiếng Anh 9 Friends plus
- Lớp 9 Kết nối tri thức
- Soạn văn 9 (hay nhất) - KNTT
- Soạn văn 9 (ngắn nhất) - KNTT
- Giải sgk Toán 9 - KNTT
- Giải sgk Khoa học tự nhiên 9 - KNTT
- Giải sgk Lịch Sử 9 - KNTT
- Giải sgk Địa Lí 9 - KNTT
- Giải sgk Giáo dục công dân 9 - KNTT
- Giải sgk Tin học 9 - KNTT
- Giải sgk Công nghệ 9 - KNTT
- Giải sgk Hoạt động trải nghiệm 9 - KNTT
- Giải sgk Âm nhạc 9 - KNTT
- Giải sgk Mĩ thuật 9 - KNTT
- Lớp 9 Chân trời sáng tạo
- Soạn văn 9 (hay nhất) - CTST
- Soạn văn 9 (ngắn nhất) - CTST
- Giải sgk Toán 9 - CTST
- Giải sgk Khoa học tự nhiên 9 - CTST
- Giải sgk Lịch Sử 9 - CTST
- Giải sgk Địa Lí 9 - CTST
- Giải sgk Giáo dục công dân 9 - CTST
- Giải sgk Tin học 9 - CTST
- Giải sgk Công nghệ 9 - CTST
- Giải sgk Hoạt động trải nghiệm 9 - CTST
- Giải sgk Âm nhạc 9 - CTST
- Giải sgk Mĩ thuật 9 - CTST
- Lớp 9 Cánh diều
- Soạn văn 9 Cánh diều (hay nhất)
- Soạn văn 9 Cánh diều (ngắn nhất)
- Giải sgk Toán 9 - Cánh diều
- Giải sgk Khoa học tự nhiên 9 - Cánh diều
- Giải sgk Lịch Sử 9 - Cánh diều
- Giải sgk Địa Lí 9 - Cánh diều
- Giải sgk Giáo dục công dân 9 - Cánh diều
- Giải sgk Tin học 9 - Cánh diều
- Giải sgk Công nghệ 9 - Cánh diều
- Giải sgk Hoạt động trải nghiệm 9 - Cánh diều
- Giải sgk Âm nhạc 9 - Cánh diều
- Giải sgk Mĩ thuật 9 - Cánh diều


Giải bài tập SGK & SBT
Tài liệu giáo viên
Sách
Khóa học
Thi online
Hỏi đáp

