Cách giải phương trình vô tỉ bằng phương pháp đặt ẩn phụ cực hay
Cách giải phương trình vô tỉ bằng phương pháp đặt ẩn phụ lớp 9 với phương pháp giải chi tiết và bài tập đa dạng giúp học sinh ôn tập, biết cách làm bài tập phương trình vô tỉ bằng phương pháp đặt ẩn phụ.
Cách giải phương trình vô tỉ bằng phương pháp đặt ẩn phụ cực hay
(199k) Xem Khóa học Toán 9 KNTTXem Khóa học Toán 9 CDXem Khóa học Toán 9 CTST
Phương pháp giải
Bước 1: Tìm đkxđ.
Bước 2: Đặt một (hoặc nhiều) biểu thức thích hợp làm ẩn mới, (thường là các biểu thức chứa căn thức) tìm điều kiện của ẩn mới.
Bước 3: Biến đổi phương trình theo ẩn mới (Có thể biến đổi hoàn toàn thành ẩn mới hoặc để cả 2 ẩn cũ và mới) rồi giải phương trình theo ẩn mới.
Bước 4: Thay trả lại ẩn cũ và tìm nghiệm, đối chiếu đkxđ và kết luận.
Ví dụ minh họa
Ví dụ 1: Giải phương trình
Hướng dẫn giải:
Đkxđ: ∀ x ∈ R.
Phương trình trở thành:
t2 + t – 42 = 0 ⇔ (t – 6)(t + 7) = 0
Với t = 6 ⇒
⇔ 2x2 + 3x + 9 = 36
⇔ 2x2 + 3x - 27 = 0
⇔ (x-3) (2x+9) = 0 .
⇔ x = 3 hoặc x = -9/2
Vậy phương trình có hai nghiệm x = 3 và x = -9/2.
Ví dụ 2: Giải phương trình
Hướng dẫn giải:
Đkxđ : 4x2 + 5x + 1 ≥ 0
Phương trình trở thành : a - b = a2 - b2
⇔ (a-b)(a+b-1) = 0 ⇔ a - b = 0 hoặc a + b - 1 = 0.
TH1 : a – b = 0 ⇔ 9x – 3 = 0 ⇔ x = 1/3 (t.m đkxđ).
⇒ Phương trình (*) vô nghiệm.
Vậy phương trình có nghiệm duy nhất x = 1/3 .
Ví dụ 3: Giải phương trình:
Hướng dẫn giải:
Đkxđ: ∀ x ∈ R.
Phương trình trở thành: t2 - (x+3)t + 3x = 0
⇔ (t-3)(t-x) = 0 ⇔ t = 3 hoặc t = x .
+ t = 3 ⇒ ⇔ x2 = 8 ⇔ x = ±2√2 .
+ t = x ⇒ ⇒ x2 + 1 = x2. Phương trình vô nghiệm.
Vậy phương trình có hai nghiệm .
Bài tập trắc nghiệm tự luyện
Bài 1: Cho phương trình: Nếu đặt
thì t phải lưu ý điều kiện nào?
A. t ∈ R B. t ≤ 1
C. t ≥ 1 D. t ≥ -1 .
Đáp án: D
Bài 2: Số nghiệm của phương trình là:
A. 0 B. 2 C. 4 D. 6
Đáp án: B
Bài 3: Tập nghiệm của phương trình có bao nhiêu phần tử?
A. 0 B. 2 C. 4 D. 6
Đáp án: B
Bài 4: Cho phương trình Khẳng định nào dưới đây đúng?
A. Phương trình có nghiệm âm duy nhất.
B. Phương trình có 2 nghiệm trái dấu.
C. Phương trình có 2 nghiệm âm.
D. Phương trình có hai nghiệm dương.
Đáp án: D
Bài 5: Phương trình có tổng các nghiệm bằng:
A. 3/2 B. 1 C. 2/3 D. -3/2 .
Đáp án: C
Bài 6: Giải phương trình
Hướng dẫn giải:
Ta có:
Phương trình trở thành: t + t3 - 30 = 0 ⇔ (t-3)(t2 + 3t + 10) = 0 ⇔ t = 3
Thay trả lại biến x ta được:
⇔ x2 - 4x + 31 = 27
⇔ x2 - 4x + 4 = 0
⇔ (x-2)2 = 0
⇔ x = 2.
Vậy phương trình có nghiệm x = 2.
Bài 7: Giải phương trình :
Hướng dẫn giải:
a) Đkxđ:
Phương trình trở thành:
Vậy phương trình có nghiệm x = 1.
b) Đkxđ: x - 1/x ≥ 0 ; x ≠ 0 .
Chia cả hai vế của phương trình cho x ta được:
Pt trở thành: t2 + 2t - 3 = 0 ⇔ (t + 3)(t – 1) = 0 ⇔ t = -3(L) hoặc t = 1 (t/m) .
+ t = 1
Vậy phương trình có hai nghiệm
c) Đkxđ: x ≥ -1 .
Phương trình trở thành : 2a2 - 5ab + 2b2 = 0
⇔ (2a-b) (a-2b) = 0
⇔ a = b/2 hoặc a = 2b
+ a = b/2 ⇔
⇔ x2 - x + 1 = 4(x+1) ⇔ x2 - 5x - 3 = 0 ⇔
+ a = 2b ⇔
⇔ x+1 = 4(x2 - x + 1)⇔ 4x2 -5x + 3 = 0
Phương trình vô nghiệm.
Vậy phương trình có hai nghiệm .
Bài 8: Giải phương trình:
Hướng dẫn giải:
a) Đkxđ: x2 ≤ 15.
Đặt
⇒ a2 - b2 = (25 - x2) - (15 - x2) = 10
Thay trả lại biến x ta được:
Vậy phương trình có hai nghiệm
b)
Đkxđ: x ≥ 1.
Đặt
⇒ u3 + v2 = 2 - x + x - 1 = 1(*)
Mà theo đề bài ta có u + v = 1 ⇒ v = 1 – u
Thay v = 1 – u vào (*) ta được: u3 + (1 – u)2 = 1
⇔ u3 + u2 – 2u + 1 = 1
⇔ u3 + u2 – 2u = 0
⇔ u(u2 + u – 2) = 0
⇔ u(u – 1)(u + 2) = 0
⇔ u = 0 hoặc u = 1 hoặc u = -2.
+ u = 0 ⇒ x = 2 (t.m)
+ u = 1 ⇒ x = 1 (t.m)
+ u = -2 ⇒ x = 10 (t.m)
Vậy phương trình có ba nghiệm x = 1; x = 2 và x = 10.
c)
Đkxđ: ∀x ∈ R.
Đặt
⇒ a3 - b3 = 2
⇒ (a – b)(a2 + b2 + ab) = 2 (*)
Phương trình trở thành: a2 + b2 + ab = 1 (**)
Thay vào (*) ta được: (a – b).1 = 2 ⇒ a – b = 2 ⇒ a = 2 + b
Thay a = 2 + b vào (**) ta được:
⇔ 3b2 + 6b + 3 = 0
⇔ 3(b + 1)2 = 0
⇔ b = -1
⇒ ⇔ x = 0.
Thử lại x = 0 là nghiệm của phương trình.
Vậy phương trình có nghiệm x = 0.
Bài 9: Giải phương trình:
Hướng dẫn giải:
Đkxđ: x ≥ 1 .
Đặt
Khi đó
Phương trình trở thành:
a + b = 1 + ab ⇔ ab + 1 – a – b = 0 ⇔ (a – 1)(b – 1) = 0 ⇔ a = 1 hoặc b = 1
+ a = 1 ⇔ √(x-1) = 1 ⇔ x = 2.
+ b = 1 ⇔
⇔ x3 + x2 + x = 0
⇔ x(x2 + x + 1) = 0
⇔ x = 0 (không t.m đkxđ).
Vậy phương trình có nghiệm x = 2.
Bài 10: Giải phương trình:
Hướng dẫn giải:
Đkxđ: -18/5 ≤ x > 64/5 .
Đặt
⇒ a4 + b4 = 18 - 5x + 64 + 5x = 82(*)
Phương trình trở thành: a + b = 4 (**)
⇒ a2 + b2 = (a+b)2 - 2ab = 16 - 2ab
⇒ a4 + b4 = (a2 + b2)2 - 2a2b2 = (16-2ab)2 - 2a2b2= 2a2b2 - 64ab + 256
Hay 2a2b2 - 64ab + 256 = 82
⇔ a2b2 - 64ab + 256 = 82
⇔ 2a2b2 - 32ab + 87 = 0
⇔ (ab – 3)(ab – 29) = 0
⇔ ab = 3 hoặc ab = 29.
+ ab = 3.
Từ (**) ⇒ a = 4 – b.
Thay vào ab = 3 ⇒ (4 – b)b = 3 ⇔ b2 – 4b + 3 = 0 ⇔ (b – 1)(b – 3) = 0 ⇔
Nếu a = 3; b = 1 ⇒ ⇒ x =
Nếu a = 1; b = 3 ⇒ ⇒ x =
Thử lại cả hai đều là nghiệm của phương trình.
+ Nếu ab = 29
Từ (**)⇒ a = 4 – b.
Thay vào ab = 29 ⇒ (4 – b)b= 29 ⇔ b2 – 4b + 29 = 0.
Phương trình vô nghiệm.
Vậy phương trình có hai nghiệm x = 63/5 và x = -17/5
Bài tập tự luyện
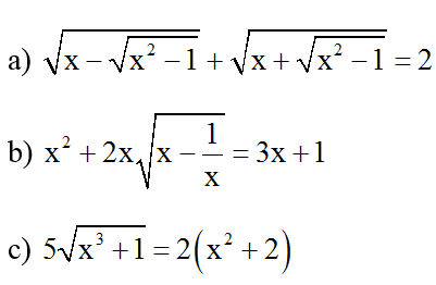
Bài 1. Giải các phương trình
a)
b)
Bài 2. Số nghiệm của các phương trình sau:
a)
b)
c)
Bài 3. Bạn Nam tiến hành giải phương trình ra hai nghiệm là và . Bạn kết luận “Phương trình có hai nghiệm”. Hãy kiểm tra xem bạn Nam giải phương trình chính xác hay không?
Bài 4. Tổng các nghiệm của hai phương trình là và .
Bài 5. Giải phương trình .
(199k) Xem Khóa học Toán 9 KNTTXem Khóa học Toán 9 CDXem Khóa học Toán 9 CTST
Xem thêm các dạng bài tập Toán lớp 9 có đáp án và lời giải chi tiết khác:
Mục lục các Chuyên đề Toán lớp 9:
- Chuyên đề Đại Số 9
- Chuyên đề: Căn bậc hai
- Chuyên đề: Hàm số bậc nhất
- Chuyên đề: Hệ hai phương trình bậc nhất hai ẩn
- Chuyên đề: Phương trình bậc hai một ẩn số
- Chuyên đề Hình Học 9
- Chuyên đề: Hệ thức lượng trong tam giác vuông
- Chuyên đề: Đường tròn
- Chuyên đề: Góc với đường tròn
- Chuyên đề: Hình Trụ - Hình Nón - Hình Cầu
Tủ sách VIETJACK luyện thi vào 10 cho 2k11 (2026):
Đã có app VietJack trên điện thoại, giải bài tập SGK, SBT Soạn văn, Văn mẫu, Thi online, Bài giảng....miễn phí. Tải ngay ứng dụng trên Android và iOS.
Theo dõi chúng tôi miễn phí trên mạng xã hội facebook và youtube:Nếu thấy hay, hãy động viên và chia sẻ nhé! Các bình luận không phù hợp với nội quy bình luận trang web sẽ bị cấm bình luận vĩnh viễn.
- Giải Tiếng Anh 9 Global Success
- Giải sgk Tiếng Anh 9 Smart World
- Giải sgk Tiếng Anh 9 Friends plus
- Lớp 9 Kết nối tri thức
- Soạn văn 9 (hay nhất) - KNTT
- Soạn văn 9 (ngắn nhất) - KNTT
- Giải sgk Toán 9 - KNTT
- Giải sgk Khoa học tự nhiên 9 - KNTT
- Giải sgk Lịch Sử 9 - KNTT
- Giải sgk Địa Lí 9 - KNTT
- Giải sgk Giáo dục công dân 9 - KNTT
- Giải sgk Tin học 9 - KNTT
- Giải sgk Công nghệ 9 - KNTT
- Giải sgk Hoạt động trải nghiệm 9 - KNTT
- Giải sgk Âm nhạc 9 - KNTT
- Giải sgk Mĩ thuật 9 - KNTT
- Lớp 9 Chân trời sáng tạo
- Soạn văn 9 (hay nhất) - CTST
- Soạn văn 9 (ngắn nhất) - CTST
- Giải sgk Toán 9 - CTST
- Giải sgk Khoa học tự nhiên 9 - CTST
- Giải sgk Lịch Sử 9 - CTST
- Giải sgk Địa Lí 9 - CTST
- Giải sgk Giáo dục công dân 9 - CTST
- Giải sgk Tin học 9 - CTST
- Giải sgk Công nghệ 9 - CTST
- Giải sgk Hoạt động trải nghiệm 9 - CTST
- Giải sgk Âm nhạc 9 - CTST
- Giải sgk Mĩ thuật 9 - CTST
- Lớp 9 Cánh diều
- Soạn văn 9 Cánh diều (hay nhất)
- Soạn văn 9 Cánh diều (ngắn nhất)
- Giải sgk Toán 9 - Cánh diều
- Giải sgk Khoa học tự nhiên 9 - Cánh diều
- Giải sgk Lịch Sử 9 - Cánh diều
- Giải sgk Địa Lí 9 - Cánh diều
- Giải sgk Giáo dục công dân 9 - Cánh diều
- Giải sgk Tin học 9 - Cánh diều
- Giải sgk Công nghệ 9 - Cánh diều
- Giải sgk Hoạt động trải nghiệm 9 - Cánh diều
- Giải sgk Âm nhạc 9 - Cánh diều
- Giải sgk Mĩ thuật 9 - Cánh diều


Giải bài tập SGK & SBT
Tài liệu giáo viên
Sách
Khóa học
Thi online
Hỏi đáp

