Bài toán so sánh, tìm giá trị lớn nhất, nhỏ nhất của biểu thức chứa căn thức
Cách giải Bài toán so sánh, tìm giá trị lớn nhất, nhỏ nhất của biểu thức chứa căn thức lớp 9 với phương pháp giải chi tiết và bài tập đa dạng giúp học sinh ôn tập, biết cách làm bài tập Bài toán so sánh, tìm giá trị lớn nhất, nhỏ nhất của biểu thức chứa căn thức.
Bài toán so sánh, tìm giá trị lớn nhất, nhỏ nhất của biểu thức chứa căn thức
(199k) Xem Khóa học Toán 9 KNTTXem Khóa học Toán 9 CDXem Khóa học Toán 9 CTST
Phương pháp giải
+ Với hai số thực a, b bất kì ta luôn có:
+ Với hai số dương a,b bất kì ta có: a < b ⇔ √a < √b .
+ A2 ≥ 0 với mọi biểu thức A.
Ví dụ minh họa
Ví dụ 1: So sánh:
Hướng dẫn giải:
a) Ta có: 3 < 4, suy ra √3 < √4 = 2
Vậy √3 + 1 < 2 + 1 hay √3 + 1 < 3.
b) Ta có: 8 < 9, suy ra √8 < √9 = 3
suy ra 3√8 < 3.3 = 9
suy ra -3√8 > -9
Vậy -3√8 > -9
c) Ta có: 17 > 16, suy ra √17 > √16 = 4
5 > 4, suy ra √5 > √4 = 2
Vậy √17 + √5 + 1 > 4 + 2 + 1 = 7
Mà √45 < √49 = 7
Do đó : √17 + √5 + 1 > √45
d) Ta có : √1 < √36 nên 1 > 1/√36
Do đó :
Ví dụ 2: Tìm giá trị nhỏ nhất của biểu thức :
a) x + √x + 1 với x ≥ 0.
b) x - 2√(x-1) với x ≥ 1.
Hướng dẫn giải:
a) Ta có với mọi x ≥ 0 thì √x ≥ 0
⇒ x + √x + 1 ≥ 0 + 0 + 1 = 1.
Dấu "=" khi x = 0.
Vậy Min (x + √x + 1) = 1 đạt được khi x = 0.
b)
Dấu "=" khi ⇔ x – 1 = 1 ⇔ x = 2.
Vậy Min (x - 2√(x-1)) = 0 đạt được khi x = 2.
Ví dụ 3: Chứng minh các biểu thức sau không phụ thuộc vào biến:
Hướng dẫn giải:
= 4
Bài tập trắc nghiệm tự luyện
Bài 1: Với hai số thực a < b, khẳng định nào dưới đây là đúng ?
Đáp án: B
Bài 2: Giá trị nhỏ nhất của biểu thức là :
A. 3 B. 4
C. 2 D. 5.
Đáp án: B
Bài 3: Giá trị lớn nhất của biểu thức là :
A. 3 B. 2
C. 2√2 D. 3√2
Đáp án: C
Bài 4: So sánh nào dưới đây là đúng ?
Đáp án: B
Bài 5: Với mọi số nguyên dương n, so sánh :
với 2 ta được :
A. A > 2 B. A < 2
C. A = 2 D. không so sánh được
Đáp án: B
Bài 6: So sánh và 6.
Hướng dẫn giải:
Ta có:
Do đó:
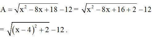
Bài 7: Tìm giá trị nhỏ nhất của các biểu thức sau :
Hướng dẫn giải:
a) Đkxđ : ∀ x ∈ R.
Ta có: (x-4)2 + 2 ≥ 2
Dấu “=” khi x - 4 = 0 ⇔ x = 4.
Vậy Min A = √2 - 12 xảy ra khi x = 4.
b) Đkxđ: ∀x, y ∈ R.
Ta có:
(y-2)2 ≥ 0
⇒ ≥ 2 + 0 + 2010 = 2012
Dấu “=” khi
Vậy Min B = 2012 đạt được khi x = 1; y = 2.
Bài 8: Chứng minh biểu thức :
với x ≠ ±8; x ≠ 0 không phụ thuộc vào giá trị của x.
Hướng dẫn giải:
Đặt , biểu thức trở thành:
= 2 - y + y = 2.
Vậy giá trị biểu thức không phụ thuộc vào biến.
Bài 9: Chứng minh rằng, nếu : thì :
Hướng dẫn giải:
Đặt ax3 = by3 = cz3 = t
Ta có:
Mặt khác:
Từ (1) và (2) suy ra đpcm.
Bài 10: Cho biểu thức Sn = (2-√3)n + (2+√3)n (với n nguyên dương).
a) Chứng minh S3n + 3Sn = Sn3.
b) Tính S3, S9 .
Hướng dẫn giải:
a) Ta có: Sn3 - 3Sn
= [(2-√3) + (2+√3)n]3 - 3. [(2-√3) + (2+√3)n]
= (2-√3)3n + (2+√3)3n + 3.(2-√3)n (2+√3)n. [(2-√3) + (2+√3)n] - 3.[(2-√3) + (2+√3)n]
= (2-√3)3n + (2+√3)3n + 3.[(2-√3)n +(2+√3)n]- 3.[(2-√3)n + (2+√3)n]
(Vì (2-√3)n (2+√3)n = [(2-√3) (2 +√3)]n = 1 ).
= (2-√3)3n + (2+√3)3n = S3n (đpcm).
2. Ta có: S1 = (2-√3)1 + (2+√3)1 = 4
S3 = S13 - 3S1 = 43 - 3.4 = 52
S9 = S33 - 3S3 = 523 - 3.52 = 140452
(199k) Xem Khóa học Toán 9 KNTTXem Khóa học Toán 9 CDXem Khóa học Toán 9 CTST
Xem thêm các dạng bài tập Toán lớp 9 có đáp án và lời giải chi tiết khác:
Mục lục các Chuyên đề Toán lớp 9:
- Chuyên đề Đại Số 9
- Chuyên đề: Căn bậc hai
- Chuyên đề: Hàm số bậc nhất
- Chuyên đề: Hệ hai phương trình bậc nhất hai ẩn
- Chuyên đề: Phương trình bậc hai một ẩn số
- Chuyên đề Hình Học 9
- Chuyên đề: Hệ thức lượng trong tam giác vuông
- Chuyên đề: Đường tròn
- Chuyên đề: Góc với đường tròn
- Chuyên đề: Hình Trụ - Hình Nón - Hình Cầu
Tủ sách VIETJACK luyện thi vào 10 cho 2k11 (2026):
Đã có app VietJack trên điện thoại, giải bài tập SGK, SBT Soạn văn, Văn mẫu, Thi online, Bài giảng....miễn phí. Tải ngay ứng dụng trên Android và iOS.
Theo dõi chúng tôi miễn phí trên mạng xã hội facebook và youtube:Nếu thấy hay, hãy động viên và chia sẻ nhé! Các bình luận không phù hợp với nội quy bình luận trang web sẽ bị cấm bình luận vĩnh viễn.
- Giải Tiếng Anh 9 Global Success
- Giải sgk Tiếng Anh 9 Smart World
- Giải sgk Tiếng Anh 9 Friends plus
- Lớp 9 Kết nối tri thức
- Soạn văn 9 (hay nhất) - KNTT
- Soạn văn 9 (ngắn nhất) - KNTT
- Giải sgk Toán 9 - KNTT
- Giải sgk Khoa học tự nhiên 9 - KNTT
- Giải sgk Lịch Sử 9 - KNTT
- Giải sgk Địa Lí 9 - KNTT
- Giải sgk Giáo dục công dân 9 - KNTT
- Giải sgk Tin học 9 - KNTT
- Giải sgk Công nghệ 9 - KNTT
- Giải sgk Hoạt động trải nghiệm 9 - KNTT
- Giải sgk Âm nhạc 9 - KNTT
- Giải sgk Mĩ thuật 9 - KNTT
- Lớp 9 Chân trời sáng tạo
- Soạn văn 9 (hay nhất) - CTST
- Soạn văn 9 (ngắn nhất) - CTST
- Giải sgk Toán 9 - CTST
- Giải sgk Khoa học tự nhiên 9 - CTST
- Giải sgk Lịch Sử 9 - CTST
- Giải sgk Địa Lí 9 - CTST
- Giải sgk Giáo dục công dân 9 - CTST
- Giải sgk Tin học 9 - CTST
- Giải sgk Công nghệ 9 - CTST
- Giải sgk Hoạt động trải nghiệm 9 - CTST
- Giải sgk Âm nhạc 9 - CTST
- Giải sgk Mĩ thuật 9 - CTST
- Lớp 9 Cánh diều
- Soạn văn 9 Cánh diều (hay nhất)
- Soạn văn 9 Cánh diều (ngắn nhất)
- Giải sgk Toán 9 - Cánh diều
- Giải sgk Khoa học tự nhiên 9 - Cánh diều
- Giải sgk Lịch Sử 9 - Cánh diều
- Giải sgk Địa Lí 9 - Cánh diều
- Giải sgk Giáo dục công dân 9 - Cánh diều
- Giải sgk Tin học 9 - Cánh diều
- Giải sgk Công nghệ 9 - Cánh diều
- Giải sgk Hoạt động trải nghiệm 9 - Cánh diều
- Giải sgk Âm nhạc 9 - Cánh diều
- Giải sgk Mĩ thuật 9 - Cánh diều


Giải bài tập SGK & SBT
Tài liệu giáo viên
Sách
Khóa học
Thi online
Hỏi đáp

