Bài tập trắc nghiệm Giải hệ phương trình bằng phương pháp thế
Bài tập trắc nghiệm Giải hệ phương trình bằng phương pháp thế
(199k) Học Toán 9 KNTTHọc Toán 9 CDHọc Toán 9 CTST
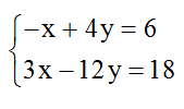
Câu 1: Cho hệ phương trình sau . Khẳng định nào sau đây là đúng?
A. Hệ phương trình vô nghiệm.
B. Hệ phương trình vô số nghiệm.
C. Hệ phương trình có nghiệm duy nhất.
D. Hệ phương trình có nghiệm nguyên.
Câu 2: Cho hệ phương trình . Nghiệm của hệ phương trình là:
Câu 3: Tìm câu trả lời sai trong các câu trả lời sau đây:
A. Hai hệ phương trình bậc nhất hai ẩn vô nghiệm thì tương đương với nhau.
B. Hai hệ phương trình bậc nhất hai ẩn có vô số nghiệm thì tương đương với nhau.
Xem thêm:
Câu 4: Nghiệm (x; y)=(2; 1) là nghiệm của hệ của phương trình nào?
Câu 5: Hệ có nghiệm là:
A. (x;y) = (11/19;-6/19)
B. (x;y) = (2;1)
C. (x;y) = (1;1)
D. (x;y) = (11/19;12/19)
Hướng dẫn giải và đáp án
Câu 1: A
Câu 2: B
Câu 3: B
Câu 4: A
Câu 5: A
(199k) Học Toán 9 KNTTHọc Toán 9 CDHọc Toán 9 CTST
Tham khảo thêm Chuyên đề các dạng bài tập Toán lớp 9 chọn lọc, hay khác:
- Bài tập trắc nghiệm Giải hệ phương trình bằng phương pháp thế
- Bài tập trắc nghiệm Giải hệ phương trình bằng phương pháp cộng đại số
- Giải toán bằng cách lập hệ phương trình
Mục lục các Chuyên đề Toán lớp 9:
- Chuyên đề Đại Số 9
- Chuyên đề: Căn bậc hai
- Chuyên đề: Hàm số bậc nhất
- Chuyên đề: Hệ hai phương trình bậc nhất hai ẩn
- Chuyên đề: Phương trình bậc hai một ẩn số
- Chuyên đề Hình Học 9
- Chuyên đề: Hệ thức lượng trong tam giác vuông
- Chuyên đề: Đường tròn
- Chuyên đề: Góc với đường tròn
- Chuyên đề: Hình Trụ - Hình Nón - Hình Cầu
Tủ sách VIETJACK luyện thi vào 10 cho 2k11 (2026):
Đã có app VietJack trên điện thoại, giải bài tập SGK, SBT Soạn văn, Văn mẫu, Thi online, Bài giảng....miễn phí. Tải ngay ứng dụng trên Android và iOS.
Theo dõi chúng tôi miễn phí trên mạng xã hội facebook và youtube:Nếu thấy hay, hãy động viên và chia sẻ nhé! Các bình luận không phù hợp với nội quy bình luận trang web sẽ bị cấm bình luận vĩnh viễn.
- Giải Tiếng Anh 9 Global Success
- Giải sgk Tiếng Anh 9 Smart World
- Giải sgk Tiếng Anh 9 Friends plus
- Lớp 9 Kết nối tri thức
- Soạn văn 9 (hay nhất) - KNTT
- Soạn văn 9 (ngắn nhất) - KNTT
- Giải sgk Toán 9 - KNTT
- Giải sgk Khoa học tự nhiên 9 - KNTT
- Giải sgk Lịch Sử 9 - KNTT
- Giải sgk Địa Lí 9 - KNTT
- Giải sgk Giáo dục công dân 9 - KNTT
- Giải sgk Tin học 9 - KNTT
- Giải sgk Công nghệ 9 - KNTT
- Giải sgk Hoạt động trải nghiệm 9 - KNTT
- Giải sgk Âm nhạc 9 - KNTT
- Giải sgk Mĩ thuật 9 - KNTT
- Lớp 9 Chân trời sáng tạo
- Soạn văn 9 (hay nhất) - CTST
- Soạn văn 9 (ngắn nhất) - CTST
- Giải sgk Toán 9 - CTST
- Giải sgk Khoa học tự nhiên 9 - CTST
- Giải sgk Lịch Sử 9 - CTST
- Giải sgk Địa Lí 9 - CTST
- Giải sgk Giáo dục công dân 9 - CTST
- Giải sgk Tin học 9 - CTST
- Giải sgk Công nghệ 9 - CTST
- Giải sgk Hoạt động trải nghiệm 9 - CTST
- Giải sgk Âm nhạc 9 - CTST
- Giải sgk Mĩ thuật 9 - CTST
- Lớp 9 Cánh diều
- Soạn văn 9 Cánh diều (hay nhất)
- Soạn văn 9 Cánh diều (ngắn nhất)
- Giải sgk Toán 9 - Cánh diều
- Giải sgk Khoa học tự nhiên 9 - Cánh diều
- Giải sgk Lịch Sử 9 - Cánh diều
- Giải sgk Địa Lí 9 - Cánh diều
- Giải sgk Giáo dục công dân 9 - Cánh diều
- Giải sgk Tin học 9 - Cánh diều
- Giải sgk Công nghệ 9 - Cánh diều
- Giải sgk Hoạt động trải nghiệm 9 - Cánh diều
- Giải sgk Âm nhạc 9 - Cánh diều
- Giải sgk Mĩ thuật 9 - Cánh diều


Giải bài tập SGK & SBT
Tài liệu giáo viên
Sách
Khóa học
Thi online
Hỏi đáp

