Tìm giá trị của x để biểu thức có giá trị thỏa mãn đẳng thức, bất đẳng thức
- Phương pháp giải Tìm giá trị của x để biểu thức có giá trị thỏa mãn đẳng thức, bất đẳng thức
- Ví dụ minh họa Tìm giá trị của x để biểu thức có giá trị thỏa mãn đẳng thức, bất đẳng thức
- Bài tập trắc nghiệm tự luyện Tìm giá trị của x để biểu thức có giá trị thỏa mãn đẳng thức, bất đẳng thức
- Bài tập tự luyện Tìm giá trị của x để biểu thức có giá trị thỏa mãn đẳng thức, bất đẳng thức
Tìm giá trị của x để biểu thức có giá trị thỏa mãn đẳng thức, bất đẳng thức
(199k) Xem Khóa học Toán 9 KNTTXem Khóa học Toán 9 CDXem Khóa học Toán 9 CTST
Phương pháp giải
a) Tìm điều kiện của x để biểu thức A < m (hoặc A > m ; A ≥ m; A ≤ m)
+ Tìm đkxđ
+ Rút gọn biểu thức (nếu cần)
+ Biến đổi điều kiện A < m để tìm ra x.
Lưu ý: Khi nhân (chia) cả 2 vế của BPT với một biểu thức dương thì chiều của BPT không đổi.
b) Tìm điều kiện của x để hàm số đạt GTLN, GTNN.
+ Tìm đkxđ
+ Rút gọn biểu thức (nếu cần).
+ Áp dụng các bất đẳng thức dể đánh giá biểu thức ≤ k (tìm GTLN) hoặc ≥ k (tìm GTNN) (k là hằng số)
+ Tìm x để dấu = xảy ra.
Lưu ý: Bất đẳng thức Cô-si: a2 + b2 ≥ 2ab
A2 ≥ 0 với mọi A.
Ví dụ minh họa
Ví dụ 1: Tìm giá trị của x để biểu thức có giá trị bằng 2.
Hướng dẫn giải:
Đkxđ: x ≥ 0.
Ta có:
3√x = 2√x + 4 ⇔ √x = 4 ⇔ x = 16.
Vậy x = 16.
Ví dụ 2: Cho biểu thức Tìm x để 1/P ≤ -5/2.
Hướng dẫn giải:
Đkxđ: x ≥ 0; x ≠ 4 .
Ta có:
Vậy 0 < x < 1/4 .
Ví dụ 3: Cho biểu thức Tìm x sao cho P đạt giá trị nhỏ nhất.
Hướng dẫn giải:
Ta có:
Với ∀x ∈ R: √x ≥ 0 ⇒ √x + 3 ≥ 3
Dấu “=” xảy ra khi x = 0.
Vậy MinP = -2/3 khi x = 0.
Bài tập trắc nghiệm tự luyện
Bài 1: Biểu thức có giá trị bằng 2 khi:
A. x = 4. B. x = 2
C. x = 8 D. x = 16.
Đáp án: D
Bài 2: Giá trị nào của x làm cho biểu thức có giá trị bằng -1.
A. x = 36 B. x = 4
C. x = 0 D. Đáp án khác.
Đáp án: D
Bài 3: Giá trị nào của x dưới đây làm cho biểu thức .
A. x < 9 B. x > 9.
C. Không có giá trị nào của x D. Mọi x ∈ R.
Đáp án: D
Bài 4: Có bao nhiêu giá trị nguyên của x thỏa mãn
A. 3 B. 9
C. 4 D. 10
Đáp án: D
Bài 5: Giá trị nhỏ nhất của biểu thức là:
A. 4 B. 6
C. 8 D. 10
Đáp án: B
Bài 6: Tìm giá trị của x để biểu thức
Hướng dẫn giải:
Đkxđ: x ≥ 0.
Ta có:
⇔ 4 -2√x < 0 ⇔ √x > 2 ⇔ x > 4 (t/m đkxđ).
Bài 7: Cho . Tìm x để biểu thức
Hướng dẫn giải:
Đkxđ : x ≥ 0.
Ta có :
⇔ x + 8√x - 3 ≥ 0 (Vì x + 1 > 0)
⇔ (√x + 4)2 ≥ 19
⇔ √x + 4 ≥ √19 (Vì √x + 4 > 0)
⇔ √x *ge; √19 - 4
⇔ x ≥ 35 - 8√19
Vậy x ≥ 35 - 8√19
Bài 8: Tìm x để
Hướng dẫn giải:
Đkxđ: x > 0; x ≠ 9 .
⇔ √x - 3 > 0
⇔ √x > 3
⇔ x > 9.
Vậy x > 9.
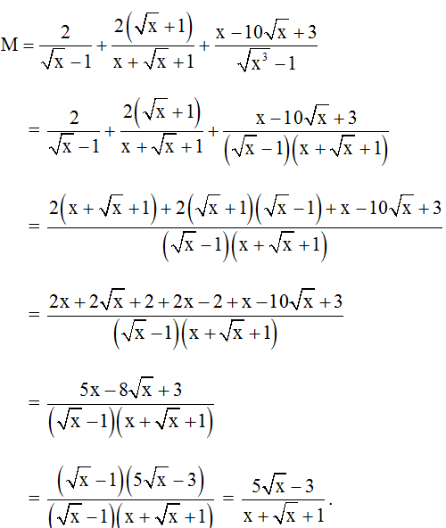
Bài 9: Cho biểu thức:
Tìm x để biểu thức có giá trị lớn nhất.
Hướng dẫn giải:
Đkxđ: x ≥ 0; x 1.
Ta có : (√x - 2)2 ≥ 0 hay x - 4√x + 4 ≥ 0
⇒ x + √x + 1 - 5√x + 3 ≥ 0
⇒ x + √x + 1 ≥ 5√x - 3
Dấu “=” khi √x = 2 ⇔ x = 4.
Vậy MaxM = 1 đạt được khi x = 4.
Bài 10: Cho
Tìm x để |A| ≤ 1/4 .
Hướng dẫn giải:
Đkxđ : x ≥ 0; x ≠ 1/4 .
⇔ 1 - √x ≤ 0
⇔ √x ≥ 1
⇔ x ≥ 1 (t.m đkxđ)
Vậy với x ≥ 1 thì |A| ≤ 1/4 .
Bài tập tự luyện
Bài 1. Cho biểu thức . Tìm x thỏa mãn .
Bài 2. Tìm x biết rằng .
Bài 3. Cho biểu thức với x > 0. Tìm x để P > + 2.
Bài 4. Cho hai biểu thức và . Biết rằng là P = A : ( 1 – B). Tìm x thỏa mãn P ≤ 1.
Bài 5. Cho biểu thức P =
a) Tìm giá trị của x để ;
b) Tìm giá trị của x nguyên để P nguyên;
c) Tìm x để P < 1 - ;
d) Tìm x để giá trị của P nhỏ nhất.
(199k) Xem Khóa học Toán 9 KNTTXem Khóa học Toán 9 CDXem Khóa học Toán 9 CTST
Xem thêm các dạng bài tập Toán lớp 9 có đáp án và lời giải chi tiết khác:
Mục lục các Chuyên đề Toán lớp 9:
- Chuyên đề Đại Số 9
- Chuyên đề: Căn bậc hai
- Chuyên đề: Hàm số bậc nhất
- Chuyên đề: Hệ hai phương trình bậc nhất hai ẩn
- Chuyên đề: Phương trình bậc hai một ẩn số
- Chuyên đề Hình Học 9
- Chuyên đề: Hệ thức lượng trong tam giác vuông
- Chuyên đề: Đường tròn
- Chuyên đề: Góc với đường tròn
- Chuyên đề: Hình Trụ - Hình Nón - Hình Cầu
Tủ sách VIETJACK luyện thi vào 10 cho 2k11 (2026):
Đã có app VietJack trên điện thoại, giải bài tập SGK, SBT Soạn văn, Văn mẫu, Thi online, Bài giảng....miễn phí. Tải ngay ứng dụng trên Android và iOS.
Theo dõi chúng tôi miễn phí trên mạng xã hội facebook và youtube:Nếu thấy hay, hãy động viên và chia sẻ nhé! Các bình luận không phù hợp với nội quy bình luận trang web sẽ bị cấm bình luận vĩnh viễn.
- Giải Tiếng Anh 9 Global Success
- Giải sgk Tiếng Anh 9 Smart World
- Giải sgk Tiếng Anh 9 Friends plus
- Lớp 9 Kết nối tri thức
- Soạn văn 9 (hay nhất) - KNTT
- Soạn văn 9 (ngắn nhất) - KNTT
- Giải sgk Toán 9 - KNTT
- Giải sgk Khoa học tự nhiên 9 - KNTT
- Giải sgk Lịch Sử 9 - KNTT
- Giải sgk Địa Lí 9 - KNTT
- Giải sgk Giáo dục công dân 9 - KNTT
- Giải sgk Tin học 9 - KNTT
- Giải sgk Công nghệ 9 - KNTT
- Giải sgk Hoạt động trải nghiệm 9 - KNTT
- Giải sgk Âm nhạc 9 - KNTT
- Giải sgk Mĩ thuật 9 - KNTT
- Lớp 9 Chân trời sáng tạo
- Soạn văn 9 (hay nhất) - CTST
- Soạn văn 9 (ngắn nhất) - CTST
- Giải sgk Toán 9 - CTST
- Giải sgk Khoa học tự nhiên 9 - CTST
- Giải sgk Lịch Sử 9 - CTST
- Giải sgk Địa Lí 9 - CTST
- Giải sgk Giáo dục công dân 9 - CTST
- Giải sgk Tin học 9 - CTST
- Giải sgk Công nghệ 9 - CTST
- Giải sgk Hoạt động trải nghiệm 9 - CTST
- Giải sgk Âm nhạc 9 - CTST
- Giải sgk Mĩ thuật 9 - CTST
- Lớp 9 Cánh diều
- Soạn văn 9 Cánh diều (hay nhất)
- Soạn văn 9 Cánh diều (ngắn nhất)
- Giải sgk Toán 9 - Cánh diều
- Giải sgk Khoa học tự nhiên 9 - Cánh diều
- Giải sgk Lịch Sử 9 - Cánh diều
- Giải sgk Địa Lí 9 - Cánh diều
- Giải sgk Giáo dục công dân 9 - Cánh diều
- Giải sgk Tin học 9 - Cánh diều
- Giải sgk Công nghệ 9 - Cánh diều
- Giải sgk Hoạt động trải nghiệm 9 - Cánh diều
- Giải sgk Âm nhạc 9 - Cánh diều
- Giải sgk Mĩ thuật 9 - Cánh diều


Giải bài tập SGK & SBT
Tài liệu giáo viên
Sách
Khóa học
Thi online
Hỏi đáp

