Bài toán hai đường thẳng song song, cắt nhau, trùng nhau
Cách giải Bài toán hai đường thẳng song song, cắt nhau, trùng nhau lớp 9 với phương pháp giải chi tiết và bài tập đa dạng giúp học sinh ôn tập, biết cách làm bài tập Bài toán hai đường thẳng song song, cắt nhau, trùng nhau.
Bài toán hai đường thẳng song song, cắt nhau, trùng nhau
(199k) Xem Khóa học Toán 9 KNTTXem Khóa học Toán 9 CDXem Khóa học Toán 9 CTST
Phương pháp giải
Cho hai đường thẳng (d1): y = a1x + b1 và (d2): y = a2x + b2.
+ (d1) cắt (d2) nếu a1 ≠ a2 .
+ (d1) // (d2) nếu a1 = a2 và b1 ≠ b2 .
+ (d1) ≡ (d2) nếu a1 = a2 và b1 = b2.
Lưu ý: Nếu a1.a2 = -1 thì (d1) vuông góc với d2.
Ví dụ minh họa
Ví dụ 1: Xét vị trí tương đối của các cặp đường thẳng sau đây:
a) y = 1/2x + 2 và y = -1/2x + 1 .
b) y = 2x + 3 và y = 2x – 3.
c) y = 2x + 1 và y = -1/2x
Hướng dẫn giải:
a) Đồ thị hàm số y = 1/2x + 2 có hệ số góc k1 = 1/2
Đồ thị hàm số y = -1/2x + 1 có hệ số góc k2 = -1/2 .
Vì k1 ≠ k2 nên hai đồ thị hàm số trên cắt nhau.
b) Đồ thị hàm số y = 2x + 3 có hệ số góc k1 = 2.
Đồ thị hàm số y = 2x – 3 có hệ số góc k2 = 2
Vì k1 = k2 nên đồ thị hai hàm số trên song song với nhau.
c) Đồ thị hàm số y = 2x + 1 có hệ số góc k1 = 2
Đồ thị hàm số y = -1/2x có hệ số góc k2 =
Vì k1 ≠ k2 nên hai đồ thị hàm số trên cắt nhau.
Hơn nữa k1.k2 = -1 nên hai đường thẳng trên vuông góc với nhau.
Ví dụ 2: Tìm m để hai đường thẳng y = (m + 1)x – 3 và y = (2m – 1)x + 4:
a) Song song b) Vuông góc.
Hướng dẫn giải:
a) y = (m + 1)x – 3 và y = (2m – 1)x + 4 song song
⇔ m + 1 = 2m – 1
⇔ m = 2.
Vậy m = 2.
b) y = (m + 1)x – 3 và y = (2m – 1)x + 4 vuông góc
⇔ (m + 1)(2m – 1) = -1
⇔ 2m2 + m – 1 = -1
⇔ 2m2 + m = 0
⇔ m(2m + 1) = 0
Vậy với m= 0 hoặc m = -1/2 thì hai đường thẳng trên vuông góc.
Ví dụ 3: a) Tìm đường thẳng song song với đường thẳng y = 2x + 1 và cắt trục tung tại điểm có tung độ bằng 4.
b) Tìm đường thẳng vuông góc với đường thẳng y = 1/3x + 4 và đi qua A(2; -1).
Hướng dẫn giải:
a) Gọi đường thẳng cần tìm là (d): y = ax + b.
(d) song song với đường thẳng y = 2x + 1 ⇒ a = 2.
(d) cắt trục tung tại điểm có tung độ bằng 4 ⇒ b = 4.
Vậy đường thẳng cần tìm là y = 2x + 4.
b) Gọi đường thẳng cần tìm là (d’): y = kx + m
(d) vuông góc với đường thẳng y = 1/3x + 4 ⇔ k. 1/3 = -1 ⇔ k = -3.
(d) đi qua A(2; -1) ⇔ -1 = 2k + m = 2.(-3) + m ⇔ m = 5.
Vậy đường thẳng cần tìm là y = -3x + 5.
Bài tập trắc nghiệm tự luyện
Bài 1: Đồ thị của hàm số y = 2x + 1 và y = 2x – 1 :
A. Song song B. Vuông góc C. Cắt nhau D. Trùng nhau.
Đáp án: A
Bài 2: Đường thẳng y = 2x + 1 vuông góc với đường thẳng nào dưới đây ?
A. y = 2x + 3 B. y = -2x + 3
C. y = 1/2x D. y= -1/2x
Đáp án: D
Bài 3: Đường thẳng y = (2m – 3)x + 1 và đường thẳng y = -x + 3 song song nhau thì giá trị của m là :
A. -1 B. 0 C. 1 D. 2
Đáp án: C
Bài 4: Hai đường thẳng y = (m – 2)x + 3 và y = mx – 1 vuông góc với nhau thì giá trị của m là :
A. m = 0 B. m = 1 C. m = 2 D. m = 3.
Đáp án: B
Bài 5: Hàm số có đồ thị vuông góc với đường thẳng y = 2x + 1 và đi qua điểm A(-1 ; 2) là :
A. y = 2x + 4 B. y = -2x.
C. y = -1/2x + 3/2 D. y = -1/2x - 3/2 .
Đáp án: C
Bài tập tự luận tự luyện
Bài 6: Tính góc tạo bởi hai đường thẳng y = -3x + 1 và y = 1/3x.
Hướng dẫn giải:
Đường thẳng (d1) : y = -3x + 1 có hệ số góc k1 = -3
Đường thẳng (d2) : y = 1/3x có hệ số góc k2 = 1/3 .
Ta có : k1. k2 = -1
⇒ (d1) ⊥ (d2).
Hay góc tạo bởi (d1) và (d2) là 90o.
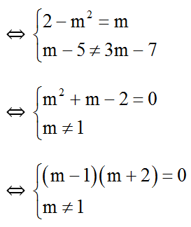
Bài 7: Cho hai đường thẳng (d1) y = (2 – m2)x + m – 5 và (d2) y = mx + 3m – 7.
a) Tìm m để d1 // d2.
b) Có giá trị nào của m để d1 và d2 trùng nhau không ?
Hướng dẫn giải:
a) d1 // d2
⇔ m = -2.
b) d1 và d2 trùng nhau
Bài 8: Cho đường thẳng (d) : y = -2x + 1. Xác định đường thẳng d’ đi qua M(-1 ; 2) và vuông góc với d.
Hướng dẫn giải:
Gọi đường thẳng cần tìm là y = kx + m
(d’) vuông góc với (d) ⇔ k.(-2) = -1 ⇔ k = 1/2 .
(d’) đi qua M(-1; 2) ⇔ 2 = k.(-1) + m hay m = 2 + k = 5/2 .
Vậy đường thẳng cần tìm là y = 1/2x + 5/2 .
Bài 9: Cho đường thẳng (d) : y = 2x + 1 và điểm M(1 ; 1). Xác định hình chiếu của M lên đường thẳng (d).
Hướng dẫn giải:
+ Tìm đường thẳng d’: y = kx + m qua M và vuông góc với d:
(d’) vuông góc với (d) ⇔ k.2 = -1 ⇔ k = -1/2 .
(d’) đi qua M(1; 1) ⇔ ⇔ m = 1/2 .
Vậy d’: y = -1/2x + 1/2 .
+ Hình chiếu H của M trên d chính là giao điểm của d và d’.
Hoành độ điểm H là nghiệm của phương trình:
2x +1 = -1/2x + 1/2 ⇔ x = -1/5 ⇒ y = 3/5 .
Vậy hình chiếu của M trên d là H (-1/5; 3/5).
Bài 10: Cho hai hàm số y = (m + 2)x + n – 1 và y = (4 – 2m)x + 5 – n. Xác định m và n để đồ thị hai hàm số trên vuông góc với nhau và cắt nhau tại điểm có hoành độ bằng 2.
Hướng dẫn giải:
+ y = (m + 2)x + n – 1 và y = (4 – 2m)x + 5 – n cắt nhau tại điểm có hoành độ bằng 2
⇔ (m + 2). 2 + n – 1 = (4 – 2m).2 + 5 – n
⇔ n = -3m + 5
+ y = (m + 2)x + n – 1 và y = (4 – 2m)x + 5 – n vuông góc
⇔ (m + 2).(4 – 2m) = -1
⇔ -2m2 + 8 = -1
⇔ m2 = 9/2
⇔
+ Với m =
+ Với m =
(199k) Xem Khóa học Toán 9 KNTTXem Khóa học Toán 9 CDXem Khóa học Toán 9 CTST
Xem thêm các dạng bài tập Toán lớp 9 có đáp án và lời giải chi tiết khác:
- Phương pháp Tìm tập xác định của hàm số
- Phương pháp Tìm tập giá trị của hàm số
- Xét tính đồng biến, nghịch biến của hàm số
- Tìm hoành độ giao điểm của đồ thị hàm số
- Cách xác định hàm số bậc nhất: tập xác định, đồng biến, nghịch biến
- Cách làm bài toán Đồ thị hàm số lớp 9 cực hay (có lời giải)
- Cách làm Bài toán đường thẳng đi qua điểm cố định cực hay
- Bài toán Đồ thị hàm số trị tuyệt đối cực hay
Mục lục các Chuyên đề Toán lớp 9:
- Chuyên đề Đại Số 9
- Chuyên đề: Căn bậc hai
- Chuyên đề: Hàm số bậc nhất
- Chuyên đề: Hệ hai phương trình bậc nhất hai ẩn
- Chuyên đề: Phương trình bậc hai một ẩn số
- Chuyên đề Hình Học 9
- Chuyên đề: Hệ thức lượng trong tam giác vuông
- Chuyên đề: Đường tròn
- Chuyên đề: Góc với đường tròn
- Chuyên đề: Hình Trụ - Hình Nón - Hình Cầu
Tủ sách VIETJACK luyện thi vào 10 cho 2k11 (2026):
Đã có app VietJack trên điện thoại, giải bài tập SGK, SBT Soạn văn, Văn mẫu, Thi online, Bài giảng....miễn phí. Tải ngay ứng dụng trên Android và iOS.
Theo dõi chúng tôi miễn phí trên mạng xã hội facebook và youtube:Nếu thấy hay, hãy động viên và chia sẻ nhé! Các bình luận không phù hợp với nội quy bình luận trang web sẽ bị cấm bình luận vĩnh viễn.
- Giải Tiếng Anh 9 Global Success
- Giải sgk Tiếng Anh 9 Smart World
- Giải sgk Tiếng Anh 9 Friends plus
- Lớp 9 Kết nối tri thức
- Soạn văn 9 (hay nhất) - KNTT
- Soạn văn 9 (ngắn nhất) - KNTT
- Giải sgk Toán 9 - KNTT
- Giải sgk Khoa học tự nhiên 9 - KNTT
- Giải sgk Lịch Sử 9 - KNTT
- Giải sgk Địa Lí 9 - KNTT
- Giải sgk Giáo dục công dân 9 - KNTT
- Giải sgk Tin học 9 - KNTT
- Giải sgk Công nghệ 9 - KNTT
- Giải sgk Hoạt động trải nghiệm 9 - KNTT
- Giải sgk Âm nhạc 9 - KNTT
- Giải sgk Mĩ thuật 9 - KNTT
- Lớp 9 Chân trời sáng tạo
- Soạn văn 9 (hay nhất) - CTST
- Soạn văn 9 (ngắn nhất) - CTST
- Giải sgk Toán 9 - CTST
- Giải sgk Khoa học tự nhiên 9 - CTST
- Giải sgk Lịch Sử 9 - CTST
- Giải sgk Địa Lí 9 - CTST
- Giải sgk Giáo dục công dân 9 - CTST
- Giải sgk Tin học 9 - CTST
- Giải sgk Công nghệ 9 - CTST
- Giải sgk Hoạt động trải nghiệm 9 - CTST
- Giải sgk Âm nhạc 9 - CTST
- Giải sgk Mĩ thuật 9 - CTST
- Lớp 9 Cánh diều
- Soạn văn 9 Cánh diều (hay nhất)
- Soạn văn 9 Cánh diều (ngắn nhất)
- Giải sgk Toán 9 - Cánh diều
- Giải sgk Khoa học tự nhiên 9 - Cánh diều
- Giải sgk Lịch Sử 9 - Cánh diều
- Giải sgk Địa Lí 9 - Cánh diều
- Giải sgk Giáo dục công dân 9 - Cánh diều
- Giải sgk Tin học 9 - Cánh diều
- Giải sgk Công nghệ 9 - Cánh diều
- Giải sgk Hoạt động trải nghiệm 9 - Cánh diều
- Giải sgk Âm nhạc 9 - Cánh diều
- Giải sgk Mĩ thuật 9 - Cánh diều


Giải bài tập SGK & SBT
Tài liệu giáo viên
Sách
Khóa học
Thi online
Hỏi đáp

